Introduction
Materials and Methods
바이오차
포트 시험 및 작물 재배
토양의 화학적 특성 분석
토양의 생물학적 특성 분석
통계 분석
Results and Discussion
바이오차의 특성
바이오차 처리에 따른 토양의 화학적 특성변화
바이오차 처리에 따른 토양의 생물학적 특성변화
상추의 생중량
바이오차 투입 토양특성과 생중량의 상관관계
Conclusions
Introduction
급격한 기후변화에 따른 이상기후와 농업환경의 변화에 따라 미래농업의 목표는 안정적인 식량 생산과 더불어 기후변화를 완화시키는 방향으로 설정되었다. 2023년 IPCC (Intergovernmental Panel on Climate Change) 6차 보고서 (AR6)에서 온실가스 배출경로에 따라 2100년 지구의 평균기온이 산업혁명 이전 대비 1.4 - 4.4°C 상승할 수 있음을 예측한 SSP (shared socioeconomic pathways) 시나리오를 제시하였다 (Bilgil et al., 2024). 2024년 지구의 평균 지표온도는 산업화 이전에 비해 1.55°C 상승하였으며 (World Meteorological Organization, 2025), 세계는 SSP 2 - 4.5 시나리오에 근접한 경로를 따르는 추세라 예측되고 있다 (Bevacqua et al., 2025). 이에 따라 온실가스 저감은 필수적으로 이루어져야 하는 세계 공통 과제로 인식되고 있다. 우리나라도 2030년까지 온실가스 40% 감축을 목표로, 기후변화에 대응하기 위한 기술 개발이 이루어지고 있다. 대표적으로 탄소 포집 및 저장 기술 (carbon capture, Utilization, and Storage, CCUS), 직접공기포집 (direct air capture, DAC) 등이 있으며 (Erans et al., 2022; Hanson et al., 2024), 토양 내 탄소를 장기간 격리할 수 있는 바이오차 (biochar) 또한 유력한 온실가스 감축수단으로 주목받고 있다 (Bekchanova et al., 2024).
바이오차는 농업 폐기물, 하수 슬러지 및 기타 바이오매스를 산소가 제한적인 조건에서 열분해하여 생성되는 탄소 기반 고형물로, 생성 과정에서 휘발성 물질이 제거되고 안정된 방향족 탄소 구조가 형성되어, 쉽게 분해되지 않으며 탄소를 장기간 격리할 수 있다는 특징을 가진다 (Lehmann et al., 2006; Sanei et al., 2024). 그동안 바이오차 연구는 왕겨와 같은 농업 부산물, 하수 슬러지와 같은 산업 부산물, 목재와 같은 임업 부산물을 원료로 활용하는 방안에 주로 집중되어 왔으며, 최근에는 가축 분뇨가 질소, 인, 칼륨 등의 무기 영양소가 풍부하다는 점에 착안하여 이를 활용한 바이오차 개발 연구도 활발히 이루어지고 있다 (Chen et al., 2023).
바이오차를 농업에 적용하고자 하는 연구를 통해 바이오차가 토양 개량제이자 양분의 공급원으로서 기능할 수 있음이 보고되었다 (Schmidt et al., 2021). 바이오차는 특유의 다공성 구조와 높은 비표면적으로 중금속 및 유기 오염물질을 흡착하는 데 기여하며 (Qiu et al., 2021), 표면의 작용기에 따라 높은 양이온교환용량 (cation exchange capacity, CEC)을 나타낸다 (Adhikari et al., 2024). 또한 강력한 흡착력과 높은 비표면적으로 토양의 구조를 개선하며 수분 보유용량을 향상시킬 수 있다 (Baiamonte et al., 2019; Toková et al., 2020). 바이오차의 다공성 구조는 토양 미생물에 안전한 서식지를 제공하여 미생물의 활성도를 증가시켜 토양의 온실가스 배출을 줄이는 등 토양에 긍정적인 효과가 있다고 평가된다 (Quilliam et al., 2013; Kabir et al., 2023).
하지만 일부 연구에서는 바이오차 처리에 따른 염류 농도 증가, 특정 미생물군 억제, 무기 양분 불균형, PAHs (polycyclic aromatic hydrocarbons) 등의 부정적 영향도 보고되고 있다 (Ding et al., 2016; Lin et al., 2024; Baek et al., 2024). 이는 바이오차 생성 과정에서의 주재료, 탄화온도, 탄화시간 등 여러 요인에 따라 변화하는 바이오차의 특성을 감안하여 바이오차의 토양 환경에 대한 연구가 진행되어야 함을 시사한다. 이에 본 연구에서는 국내 농업, 임업, 축산업을 통해 다량 발생하는 왕겨 (rice husk), 목재 (wood chip), 우분 (cow manure)을 이용한 바이오차를 토양에 처리하여 농업적 활용 가능성 및 토양개량 효과를 평가하고자 연구를 수행하였다.
Materials and Methods
바이오차
포트 시험에 활용한 바이오차는 왕겨 (rice husk, RH), 목재 (wood chip, WD), 우분 (cow manure, CM)을 선정하였다. 왕겨 바이오차는 400°C - 500°C의 온도에서 4시간 30분간 탄화시킨 제품을 ㈜유기산업에서, 목재 바이오차는 ㈜한국남동발전에서 1,100°C로 연소된 미연분을 650°C - 800°C에서 활성화하여 생성된 인증 받은 제품을 사용하였다. 우분 바이오차는 스테인리스 용기 (Ø 280 × 120 mm)에 넣어 전기 회화로 (Lindberg/Blue MTM 1100°C Lab Box Furnace, Thermo Fisher Scientific Inc., USA)로 500°C에서 열분해하여 실험에 사용하였다.
바이오차의 화학성 분석 방법은 다음과 같다. pH와 전기전도도 (electrical conductivity, EC)는 1:5 (w/v)의 비율로 0.01 M CaCl2를 가해 진탕기에 (JSOS-500, JSR, Tokyo, Japan) 1시간 진탕 후 pH는 pH meter (Orion StarTM A111, Thermo Fisher Scientific, Waltham, MA, USA)로 EC는 EC meter (SevenCompactTM Conductivity Meter S230, Mettler Toledo, Columbus, OH, USA)로 측정하였다. Ash는 100°C에서 24시간 건조한 시료를 전기 회화로 (Lindberg/Blue MTM 1100°C Lab Box Furnace, Thermo Fisher Scientific Inc., USA) 에서 1 - 2시간 태운 도가니를 desiccator 내에서 40분간 방냉 후 칭량한 다음 시료 일정량을 취하여 600°C 전기로에서 2시간 태운 후 desiccator 내에서 40분간 방냉 후 칭량하여 이 중량으로부터 도가니의 중량을 감한 것으로 Ash함량을 측정하였다. C, H의 함량은 원소 분석기 (CHN828, Leco Corporation, USA)를 이용하여 구했으며 산소 (%)의 경우 100%에서 Ash, 탄소, 수소, 질소 및 황의 함량을 감하여 구하였다. 양이온교환용량 (CEC)은 1.0 N NH4OAc (pH 7.0)용액으로 추출한 후, ICP-OES (iCAP PRO ICP-OES Duo, Thermo Fisher Scientific, MA, USA)를 이용하여 침출액 내 개별 양이온(K+, Ca2+, Mg2+, Na+) 농도를 측정하고 이를 합산하여 산출하였다.
포트 시험 및 작물 재배
포트 시험은 충남대학교 농업생명과학대학 부설농장의 비닐하우스 (36°22'10"N 127°21'18"E)에서 진행하였으며, 토양 시료는 충남대학교 농업생명과학대학 부설농장의 밭토양을 채취하여 풍건 시킨 후 포트 시험에 사용하였다. 공시 토양의 토성은 사질 식양토 (sandy clay loam)이였으며 화학적 특성은 pH 5.75 (1:5H2O), 전기전도도 (electrical conductivity, EC) 0.60 dS m-1, 유기물함량 1.44% 유효인산 131.1 mg kg-1이었다. 바이오차 처리구와 대조구를 포함하여 총 13개의 처리구를 Wagner pot (1/5,000 a)로 구성하였다. 바이오차 처리량은 100, 200, 400, 800 kg 10 a-1를 기준으로 포트면적 대비 산출하여 처리하였으며, 모든 처리구에 흙토람의 비료사용처방을 활용하여 밑거름 (N-P2O5-K2O = 8.8-15.9-12.0 kg 10 a-1)을 시비하였으며, 요소비료 (N), 용성인비 (P), 염화가리 (K)를 사용하였다. 작물은 청치마 상추 (Lactuca sativa L.)를 사용하였으며, 재배기간은 2024년 5월 21일부터 2024년 6월 25일까지 35일 간 재배하였다. 재배 후 농업과학기술 연구조사 분석기준 (RDA, 2012)에 준하여 작물 수량을 측정하였으며, 상추의 지상부만을 이용하여 생중량을 측정하여 비교 분석하였다.
토양의 화학적 특성 분석
토양 특성 분석은 채취한 토양을 서늘한 곳에서 풍건 시킨 후 2 mm로 체거름하여 분석에 사용하였으며, 분석 방법은 농촌진흥청에서 제공한 토양 및 식물체 분석법 (NIAST, 2000)을 참고하여 수행하였다. 분석 항목은 토양 산도(pH), 전기전도도 (electrical conductivity, EC), 유기물함량 (soil organic matter, SOM), 유효인산 (available P2O5, Av. P2O5), 양이온교환용량 (cation exchange capacity, CEC)을 진행하였다. pH와 전기전도도 (EC)는 1:5 (w/v)의 비율로 시료와 증류수를 진탕기 (JSOS-500, JSR, Tokyo, Japan)에 150 rpm 30분간 교반한 후 pH는 pH meter (Orion StarTM A111, Thermo Fisher Scientific, Waltham, MA, USA)로 EC는 EC meter (SevenCompactTM Conductivity Meter S230, Mettler Toledo, Columbus, OH, USA)로 측정하였다. 유기물함량과 유효 인산은 각각 Walkeley & Black 법, 몰리브덴 청법을 사용하였으며, UV/Vis Spectrophotometer (UV-1800, SHIMADZU, Tokyo, Japan)를 활용하여 각각 610 nm, 660 nm에서 비색 정량하였다. 토양 CEC 분석은 바이오차 CEC 분석방법과 동일하게 진행하였다.
토양의 생물학적 특성 분석
토양의 생물학적 특성 분석은 Weaver et al. (1994)의 방법을 참고하여 수행하였다. 토양 호흡량 (soil respiration) 분석은 습토 100 g을 300 mL bottle에 넣어 72시간 배양 후 적정을 통해 토양 호흡량을 산출하는 Eivazi and Tabatabai (1988)의 방법을 참고하여 수행하였다. 50 mL centrifuge tube에 토양 시료 0.5 g, toluene 0.1 mL, citric phosphate buffer (pH 4.9) 1.5 mL, distilled water 0.9 mL를 첨가한 후, 기질인 50 mM p-nitrophenyl-β-D-glucopyranoside (PNG) 0.6 mL를 첨가하였다. 그 후 incubator를 이용하여 30°C에서 1시간 배양하였다. 배양 완료 후 Whatman No. 2 filter paper를 통해 여과하여, 여과된 시료는 UV/Vis Spectrophotometer를 이용하여 400 nm에서 흡광도를 측정, β-glucosidase의 활성도를 정량 하였다. Phosphatase 활성도 분석은 Tabatabai and Bremner (1969)의 실험 방법을 참고하였다. 0.5 g의 습토에 toluene을 첨가하고, 0.5 M Tris buffer (pH 6.5) 1.8 mL와 distilled water (DW) 0.6 mL를 추가하였다. 그 후, 기질인 50 mM sodium-p-nitrophenyl phosphate (p-NPP) 0.6 mL를 넣고 30°C에서 1시간 동안 배양하였다. 배양 후, ethanol 8.0 mL를 넣어 반응을 정지시킨 후 여과하여, 여과액에 2 M Tris 2.0 mL를 넣은 후, UV/Vis Spectrophotometer를 사용하여 400 nm에서 비색 정량 하였다. Dehydrogenase (DHA) 활성도 측정은 Casida (1977)의 방법을 기반으로 진행되었다. 6.0 g의 습토와 0.2 g의 CaCO3를 혼합하고, 2,3,5-triphenyltetrazolium chloride (TTC) 1.0 mL와 distilled water 2.5 mL를 첨가한 후, 이를 밀봉하여 37°C에서 24시간 동안 배양하였다. 배양 후, methanol 10.0 mL를 추가하여 혼합하고, 탈지면으로 막은 funnel을 통해 탈지면의 붉은색이 없어질 때까지 methanol (10.0 ml)을 넣어 혼합물을 여과하였다. 여과된 용액은 methanol을 사용하여 100 mL까지 mass up하여 485 nm에서 UV/Vis Spectrophotometer를 이용하여 비색 정량 하였다. Urease (URE) 활성도 측정은 Kandeler and Gerber (1988)의 방법에 따라 수행되었다. 5.0 g의 토양 시료에 2.5 mL 79.9 mM Urea를 첨가하여 37°C에서 2시간 동안 배양하였다. 배양 후, 2.0 M KCl 30.0 mL와 distilled water (DW) 2.5 mL를 추가하여 30분간 교반하였다. 그 후, Whatman No. 2 filter paper를 사용하여 여과한 뒤, 여과액에 distilled water, 0.3 M NaOH 및 sodium salicylate solution을 혼합하여 조제한 시약 5.0 mL를 넣고 30분간 교반하여, UV/Vis Spectrophotometer를 사용하여 690 nm에서 비색 정량을 실시하였다.
통계 분석
분석 결과는 3회 반복 수행하여 평균과 표준편차 값으로 표시하였다. 각 바이오차의 처리수준에 따른 토양의 특성 변화와 작물 생산량을 비교 분석하기 위해 Statistical package for social science (SPSS) version 29.0 (SPSS Inc., Chicago, IL, USA)을 활용하여 일원배치 분산분석 (one-way ANOVA)과 사후분석 (Duncan’s multiple range test)을 수행하였다. 또한, 상관관계 분석은 spearman correlation 분석을 통해 토양 특성과 생산량과의 상관관계를 평가하였다.
Results and Discussion
바이오차의 특성
각 바이오차의 화학적 특성은 Table 1과 같다. 왕겨, 목재, 우분 바이오차의 pH는 각각 9.92, 8.80, 9.70으로 모두 알칼리성을 나타냈다. 이는 선행연구에서 보고된 바와 같이 열분해 과정에서 Carboxyl, Hydroxyl과 같은 산성 작용기들이 분리되어 알칼리성 무기물들이 상대적으로 축적되기 때문으로 판단된다 (Fidel et al., 2017; Weber and Quicker, 2018).
Table 1.
Characteristics of biochar used in this experiment.
EC는 우분 (76.8 dS m-1) > 목재 (5.21 dS m-1) > 왕겨 (2.67 dS m-1)순이었으며, 우분 바이오차의 EC는 왕겨 대비 약 28.8배, 목재 대비 약 14.7배 높았다. 이는 우분 바이오차에 수용성 염류와 무기이온이 상대적으로 많이 존재함을 시사한다. 이에 따라 고용량 투여 시 염류 집적의 가능성이 상대적으로 높을 것으로 사료된다.
탄소 (C) 함량은 목재 (71.4%)가 가장 높았고, 왕겨 (55.8%), 우분 (38.5%) 순으로 나타났다. H/C 몰비는 왕겨, 목재, 우분에서 각각 0.4, 0.3, 0.5였으며, O/C 몰비는 0.05, 0.05, 0.15로 확인되었다. 일반적으로 낮은 H/C 비는 방향족 구조의 발달과 열적 안정성을, 높은 O/C 비는 극성을 띠는 산소 함유 작용기의 풍부함을 의미한다 (Bakshi et al., 2020; Han et al., 2024). 목재 바이오차는 가장 낮은 H/C 비를 보여 상대적으로 안정적인 탄소 구조를 갖을 것으로 예상되며, 우분 바이오차는 가장 높은 O/C 비를 나타내어 표면에 hydroxyl, carboxylate, carbonyl과 같은 산소 함유 작용기가 많이 존재할 가능성이 크다.
CEC는 우분 (85.8 cmolc kg-1), 목재 (30.2 cmolc kg-1), 왕겨 (9.74 cmolc kg-1) 순으로 높게 나타났다. 이는 앞서 밝힌 바와 같이 우분 바이오차가 높은 회분 함량 (50.0%)과 더불어 상대적으로 큰 O/C 비를 가져, 표면의 산소를 포함하는 작용기가 상대적으로 풍부하기 때문으로 판단된다 (Lee et al., 2010; Batista et al., 2018).
바이오차 처리에 따른 토양의 화학적 특성변화
전반적으로 모든 바이오차 처리에서 pH와 유기물 함량, CEC는 대조구에 대비 증가하는 경향을 보였으나, EC와 유효인산은 바이오차의 원료와 투입량에 따라 다른 변화를 나타냈다 (Table 2).
Table 2.
Soil chemical properties in the pot with different treatments after harvesting the vegetables.
|
Applied amounts (kg 10 a-1) |
pH (1 : 5, H2O) |
EC1 (dS m-1) |
SOM2 (%) |
Av. P2O53 (mg kg-1) |
CEC4 (cmolc kg-1) | |
| Control | 5.51 ± 0.05 | 0.51 ± 0.03 | 1.21 ± 0.00 | 115.9 ± 3.35 | 8.77 ± 0.56 | |
| Rice husk | 100 | 5.62 ± 0.14 a | 0.70 ± 0.12 a | 1.32 ± 0.10 a | 165.6 ± 57.6 a | 9.41 ± 0.61 a |
| 200 | 5.82 ± 0.15 a | 0.65 ± 0.10 ab | 1.42 ± 0.06 a | 150.9 ± 54.9 a | 9.49 ± 0.42 a | |
| 400 | 5.92 ± 0.35 a | 0.57 ± 0.05 bc | 1.38 ± 0.10 a | 137.3 ± 49.6 a | 9.30 ± 0.46 a | |
| 800 | 5.93 ± 0.28 a | 0.52 ± 0.07 c | 1.40 ± 0.06 a | 139.1 ± 47.4 a | 8.98 ± 0.54 a | |
| Wood chip | 100 | 5.69 ± 0.17 b | 0.50 ± 0.07 a | 1.41 ± 0.04 a | 159.6 ± 60.0 a | 9.02 ± 1.44 a |
| 200 | 5.69 ± 0.11 b | 0.55 ± 0.05 a | 1.46 ± 0.11 a | 162.7 ± 55.5 a | 8.88 ± 1.09 a | |
| 400 | 5.72 ± 0.23 b | 0.53 ± 0.09a | 1.51 ± 0.21 a | 161.5 ± 74.1 a | 8.98 ± 1.04 a | |
| 800 | 5.99 ± 0.14 a | 0.56 ± 0.11 a | 1.47 ± 0.12 a | 166.1 ± 55.9 a | 9.55 ± 0.94 a | |
| Cow manure | 100 | 5.73 ± 0.20 c | 0.61 ± 0.07 b | 1.47 ± 0.10 a | 160.9 ± 54.1 a | 8.88 ± 0.54 a |
| 200 | 5.65 ± 0.12 c | 0.70 ± 0.15 b | 1.44 ± 0.18 a | 172.5 ± 64.4 a | 8.91 ± 0.54 a | |
| 400 | 5.94 ± 0.12 b | 0.77 ± 0.20 b | 1.52 ± 0.11 a | 190.5 ± 39.1 a | 9.29 ± 1.08 a | |
| 800 | 6.44 ± 0.10 a | 1.05 ± 0.19 a | 1.45 ± 0.13 a | 224.5 ± 47.5 a | 9.75 ± 0.84 a |
왕겨 바이오차 처리구 (rice husk biochar, RH)에서는 처리량 증가에 따라 pH가 상승하는 경향을 보였다. 반면 EC는 유의하게 감소하여 (p < 0.05) RH 100에서 0.70 dS m-1이던 값이 RH 800에서 0.52 dS m-1로 약 25.7% 낮아졌다. 유효인산 또한 165.6 mg kg-1 (RH 100)에서 139.1 mg kg-1 (RH 800)로 감소하는 경향을 나타냈다. 유기물 함량과 CEC는 대조구에 비해 증가하는 경향을 보였으나 통계적으로 유의하지는 않았다 (p > 0.05). 이러한 경향은 타 바이오차 대비 EC가 낮고, 무게 대비 부피가 큰 왕겨 바이오차의 특성상 토양 공극률과 배수성을 개선하여 염류와 양분 용탈을 촉진하는 한 것으로 판단된다 (Phuong et al., 2020). 또한 RH 800과 같은 고처리에서 밀도가 낮은 왕겨 바이오차가 많은 부피를 차지하여 토양의 유효인산 상대적으로 희석시켜 측정값이 감소하는데 일부 기여했을 가능성이 있다.
목재 바이오차 (wood chip biochar, WD) 처리구에서는 pH, 유효인산, CEC는 대조구보다 높아지는 경향을 보였으나 유의성은 보이지 않았다. EC는 0.50 - 0.56 dS m-1 범위로 특정한 경향성을 보이지 않았다. 전반적으로 목재 바이오차는 토양의 화학성을 급격히 변화시키기 보다, 완만한 개선을 보이는 개량제라 판단된다.
반면 우분 바이오차 (CM) 처리구는 다른 바이오차에 비해 토양 화학성 변화가 가장 큰 경향을 보였다. pH는 우분 바이오차 투입량이 증가할수록 상승하여 CM 800 처리에서 6.44까지 증가하였다. 또한 EC도 처리량 증가에 따라 유의하게 증가하였으며 (p < 0.05), 이는 자체 EC가 76.8 dS m-1에 달하는 우분 바이오차의 높은 염류 함량이 토양에 반영된 것으로 사료된다. 유효인산은 통계적으로 유의하진 않았으나 (p > 0.05), 160.9 mg kg-1에서 224.5 mg kg-1으로 증가하는 경향을 보였다. 이는 우분의 총인이 5.8 - 6.7 g kg-1 수준으로 풍부한 인을 함유하는 원료라는 점에서 (Barnett, 1994; Li et al., 2019), 우분 바이오차가 토양 내 인 공급원으로 작용했을 가능성을 시사한다 (Glaser and Lehr, 2019). 유기물 함량은 모든 우분 처리구에서 대조구보다 높게 나타났고, 특히 CM 400에서 최대 약 16.9% 증가하였다. CEC도 CM 처리량 증가에 따라 전반적으로 상승하는 경향을 보였으며, CM 800 처리에서 9.75 cmolc kg-1로 가장 높은 수치를 보였으나 처리 간 유의성은 관찰되지 않았다 (p > 0.05). 이는 우분 바이오차가 높은 회분 함량과 상대적으로 큰 O/C 비를 바탕으로 다양한 산소 함유 작용기에 따라 CEC 향상에 기여할 잠재력이 크다는 선행 연구의 결과와 일치한다 (Lee et al., 2010; Batista et al., 2018; Premalatha et al., 2023).
바이오차 처리에 따른 토양의 생물학적 특성변화
토양의 생물학적 특성 분석 결과는 Table 3에 제시하였다. 왕겨 바이오차 처리구에서는 모든 생물학적 특성에서 처리량에 따른 통계적 유의 차이는 나타나지 않았으나 (p > 0.05), dehydrogenase와 urease 활성은 투여량이 증가함에 따라 낮아지는 경향을 보였다. 전반적으로 왕겨 바이오차는 미생물 활성에 미치는 영향이 상대적으로 제한적인 것으로 판단된다.
Table 3.
Soil biological properties in the pot with different treatments after harvesting the vegetables.
|
Applied amounts (kg 10 a-1) |
Soil respiration (mg CO2 kg-1 soil day-1) |
DHA1 (μg TPF·g-1·h-1) |
PHA2 (nmol min -1g-1) |
β-glucosidase (nmol min-1 g-1) |
Urease (μg N g-1 2h-1) | |
| Control | 21.7 ± 3.76 | 11.6 ± 2.31 | 5.92 ± 1.98 | 0.52 ± 0.02 | 351.17 ± 35.5 | |
| Rice husk | 100 | 23.3 ± 2.51 a | 12.3 ± 2.82 a | 7.10 ± 3.03 a | 0.65 ± 0.11 a | 531.4 ± 167.0 a |
| 200 | 24.2 ± 5.70 a | 11.6 ± 5.31 a | 8.04 ± 3.27 a | 0.59 ± 0.14 a | 560.0 ± 179.3 a | |
| 400 | 25.6 ± 7.16 a | 11.2 ± 1.15 a | 7.18 ± 1.53 a | 0.61 ± 0.09 a | 500.5 ± 153.0 a | |
| 800 | 25.7 ± 6.49 a | 9.11 ± 4.53 a | 8.12 ± 1.16 a | 0.58 ± 0.09 a | 474.3 ± 110.3 a | |
| Wood chip | 100 | 19.8 ± 2.52 b | 9.03 ± 3.80 a | 7.70 ± 2.94 a | 0.56 ± 0.16 a | 551.3 ± 154.0 a |
| 200 | 26.0 ± 6.61 ab | 11.1 ± 3.57 a | 6.52 ± 2.05 ab | 0.59 ± 0.07 a | 544.8 ± 184.7 a | |
| 400 | 33.5 ± 13.0 a | 10.1 ± 3.50 a | 5.58 ± 0.93 ab | 0.64 ± 0.10 a | 573.4 ± 224.8 a | |
| 800 | 38.0 ± 11.4 a | 8.01 ± 3.06 a | 4.87 ± 0.90 b | 0.59 ± 0.09 a | 621.3 ± 195.4 a | |
| Cow manure | 100 | 24.9 ± 5.97 b | 12.6 ± 2.39 a | 5.22 ± 0.62 a | 0.60 ± 0.12 a | 582.2 ± 163.0 a |
| 200 | 28.5 ± 2.68 ab | 13.8 ± 3.73 a | 4.79 ± 1.78 a | 0.53 ± 0.10 ab | 614.8 ± 166.5 a | |
| 400 | 31.1 ± 4.05 a | 12.3 ± 4.44 a | 6.24 ± 3.15 a | 0.60 ± 0.08 a | 750.2 ± 270.1 a | |
| 800 | 30.6 ± 2.96 a | 9.03 ± 4.25 a | 4.71 ± 3.18 a | 0.44 ± 0.11 b | 659.8 ± 243.2 a |
목재 바이오차 (WD) 처리구에서는 WD 800에서 토양 호흡이 38.0 mg kg-1 day-1로 대조구 (21.7 mg kg-1 day-1)대비 유의하게 증가하였다 (p < 0.05). Dehydrogenase 활성은 200 kg 10a-1에서 최대치를 보인 뒤 고투여에서 감소하는 양상을 보였으며, phosphatase 활성은 WD 800에서 WD 100 및 대조구 대비 유의하게 낮았다 (p < 0.05). Urease 활성은 처리량 증가에 따라 점진적으로 증가하여 WD 800에서 최대치를 나타냈다.
우분 바이오차 (CM) 처리구에서도 CM 800에서 토양 호흡이 30.6 mg kg-1 day-1로 대조구 대비 41.0% 유의하게 증가하였다 (p < 0.05). Dehydrogenase 활성은 CM 200에서 가장 높고 고투입에서 감소하는 양상을 보여 목재 처리구와 유사한 경향을 보였다. Phosphatase 활성은 통계적으로 유의하지는 않았으나 (p > 0.05), CM 800에서 대조구보다 낮은 값을 보여 고용량 처리 시 감소 경향이 관찰되었다. Urease 활성은 처리량 증가에 따라 전반적으로 증가하였으며, CM400 처리에서 최대값 (750.17 μg N g-1 dm-1 2 h-1)을 보였다.
선행 연구에서는 고용량 목재 바이오차 처리 시 pH 상승과 ‧ 표면에 의한 흡착 효과로 인해 dehydrogenase와 일부 효소 활성이 감소할 수 있음이 보고된 바 있으며 (Dvořáčková et al., 2022), 본 연구에서도 고투여 처리에서 유사한 경향이 확인되었다. 또한 목재, 우분 바이오차 고용량 처리에서 phosphatase 활성이 낮게 나타난 것은, 토양 유효인산이 유지 또는 증가함에 따라 인 결핍 신호가 약해져 인 가용화 효소의 발현이 상대적으로 줄어들었기 때문으로 해석할 수 있다 (Gatiboni et al., 2008; Cabugao et al., 2021).
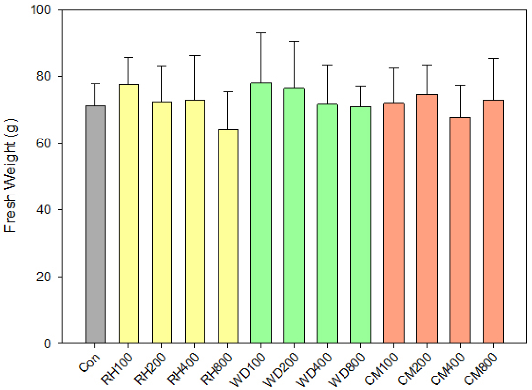
상추의 생중량
각 처리구에서의 상추 평균 생중량과 표준편차는 Fig. 1에 제시하였다. 모든 처리구에서 바이오차 처리량에 따른 생중량 차이는 통계적으로 유의하지 않았으나 (p > 0.05), 각 바이오차 별로 특정 처리 수준에서 대조구의 생중량 보다 증가하는 경향을 보였다.
왕겨 및 목재 바이오차 처리구에서는 투입량이 증가할수록 생중량이 감소하는 경향을 보였다. RH 100과 WD 100에서 생중량은 각각 77.67 g, 78.0 g으로, 대조구 대비 8.89%, 9.35% 높은 경향을 보였으나, 처리량이 증가함에 따라 점차 감소하여 RH 800과 WD 800에서는 각각 64.0 g, 71.0 g으로 낮아지는 경향을 보였다. 특히 왕겨 바이오차 처리구에서 고투입 시 생중량이 감소한 것은 유효인산의 감소와 연관이 있다고 사료된다. RH 800에서 유효인산은 137.3 mg kg-1까지 낮아져 농촌진흥청 권장범위인 150 - 250 mg kg-1보다 낮아졌기 때문으로 사료된다. 우분 바이오차 처리구의 경우 CM 200에서 생중량이 74.7 g으로 가장 높았고, 400 kg 10a-1에서 67.7 g으로 감소한 뒤 800 kg 10a-1에서 73.0 g으로 다시 증가하는 양상을 보였다. 우분 바이오차는 200 kg 10 a-1 처리량에서 생중량이 가장 높고, 고투입에서도 대조구와 유사한 수준을 유지하는 경향을 나타냈다.
바이오차 투입 토양특성과 생중량의 상관관계
Spearman 상관분석법을 이용하여 토양특성과 생중량 (Weight)과의 상관관계를 평가한 결과 양이온교환능 (CEC)을 제외한 모든 지표에서 양의 상관관계를 보였다(Table 4). pH의 경우 통계적 유의성은 없었으나 생중량과의 상관계수는 0.218로 나타났는데, 이는 pH의 상승이 양분의 가용성 개선에 기여했을 가능성이 있다 (Haynes, 1982; Kaiser et al., 2005). 유기물 (OM) 함량은 상관계수 0.255*이였으며, 유효인산 (Av.P)은 0.628**로 가장 높은 상관관계를 보였다. Table 2를 통해 알 수 있듯 바이오차 시비를 통하여 유기물 함량은 초기토양 1.41%에서 최대 1.52% (CM 400) 유효인산은 131.1 mg kg-1에서 최대 224.5 mg kg-1 (CM 800)으로 증가하는 경향을 나타냈다. 이러한 토양의 특성 개선이 상추의 생육상태의 개선과 더불어 생중량 증대에 기여하였을 가능성이 있다 (Knight et al., 2013; Gao et al., 2019).
Table 4.
Spearman correlation coefficients (ρ) between soil physicochemical/biological properties and lettuce fresh weight after biochar treatments.
| pH | EC | CEC | Av.P | SOM | S R | PHA | β-glu | DHA | Urease | Weight | |
| pH | 1.000 | .277* | -0.190 | .565** | .429** | .617** | 0.112 | 0.199 | -0.152 | .568** | 0.218 |
| EC | 1.000 | 0.135 | .335** | 0.084 | 0.185 | -0.138 | -0.055 | 0.083 | .257* | 0.014 | |
| CEC | 1.000 | -.618** | -0.229 | -.319** | -.627** | -.475** | -.243* | -.633** | -.558** | ||
| Av.P | 1.000 | .480** | .556** | .404** | .431** | 0.190 | .853** | .628** | |||
| SOM | 1.000 | .503** | 0.124 | 0.202 | 0.087 | .473** | .255* | ||||
| S R | 1.000 | 0.113 | 0.167 | -0.048 | .558** | .303* | |||||
| DHA | 1.000 | .399** | 0.097 | .460** | .483** | ||||||
| PHA | 1.000 | 0.159 | .477** | .263* | |||||||
| Urease | 1.000 | .248* | 0.162 | ||||||||
| β-glu | 1.000 | .530** | |||||||||
| Weight | 1.000 |
생중량과 생물학적 특성의 상관관계는 토양호흡 (SR) (ρ = 0.303*), β -glucosidase (ρ = 0.530**), DHA (ρ = 0.483**), Phosphatase (ρ = 0.263*), Urease (ρ = 0.162)로 대부분 생중량과 유의한 양의 상관관계가 있는 것으로 평가되었다. 바이오차를 투여함에 따라 다공성 매체인 바이오차에 미생물이 흡착하여 토양 내 양분 순환의 효율성을 증대한다는 선행연구가 있으며 이를 바탕으로 유기물 분해 (β-glucosidase), P 가용화 (phosphatase) N 순환 (urease) 등이 향상되어 상추의 생중량이 증가한 것으로 해석된다 (Sinsabaugh et al., 2008; Margalef et al., 2017; Macdonald et al., 2021; Song et al., 2025).
Conclusions
본 연구에서는 왕겨, 목재, 우분을 활용하여 제조한 바이오차의 투여량에 따른 상추의 생육 효과를 평가하였다. 상추 생육 측면에서 세 종류 바이오차 모두 적정 투여량 (RH 100; WD 100; CM 200)에서 생육 촉진 효과를 보였으나, 과도한 투여는 오히려 생중량 감소를 유발하는 경향이 관찰되었다. 이는 세 종류 바이오차 모두 과도한 투입 시 작물 생육에 부정적 영향을 줄 수 있음을 시사하며, 각 바이오차의 효과를 극대화하기 위해서는 적정 시비량 준수가 반드시 필요함을 보여준다. Spearman 상관 분석에서 CEC를 제외한 모든 토양 특성에서 상추의 생중량과 양의 상관관계를 보였으며, 이를 통해 바이오차의 처리는 유효인산과 유기물 함량 증가에 영향을 미치며 이를 바탕으로 상추의 생중량 증대에 긍정적 영향을 끼쳤을 가능성을 확인하였다. 결국, 왕겨 ‧ 목재 ‧ 우분 바이오차는 각각 토양의 특성을 개선하고 작물 생육을 향상시킬 잠재력이 있지만 그 효과와 적정량은 바이오차의 유형에 따라 상이하였다.




