Introduction
Materials and Methods
조사 대상 지역
시료 채취 및 분석 방법
Results and Discussion
토지이용 형태에 따른 수질 현황
시기별 수질 현황
연도별 수질 현황
Conclusions
Introduction
지하의 지층이나 암석 사이의 빈틈을 채우고 있거나 흐르는 물을 지하수라고 하며, 지하수의 관리는 어렵고 (Ichiki and Yamada, 1999), 오염된 지하수의 수질 회복에는 많은 시간과 비용이 소요되므로 지하수 보전을 위해 체계적이고 지속적인 노력이 필요하다 (Yoon et al., 2012; Kim et al., 2024). 지하수는 토양체를 통과하여 고인 물이므로 그 종성이 지표수와는 다르다. 지하수는 각종 광물질이 함유되어 있어 지표수보다 경도가 높으며, 지하수 수질은 토양의 여과 기능과 지질학적 특성에 따라서도 다르게 된다. 이러한 지하수 자유수면의 높이는 지상의 수문 상태에 따라 좌우되며, 지표수로부터 유입되는 삼투수에 의한 오염에 노출되어 있으나, 수질 변화 폭이 지표수보다 적은 편이다 (Jung et al., 1997; Kim, 1998). 최근 농업 생산성 향상을 위한 비료나 퇴비의 사용량 증가 및 연작으로 인해 집적된 토양 염류의 용탈로 인한 농업용수의 오염도가 과거에 비하여 급격히 증가하고 있다 (Choi et al., 2023; Yeob et al., 2025). 일반적으로 지하수 중의 질산태질소 (NO3-N)는 자연 상태에서 3 mg L-1 이하로 존재하며 그 이상의 농도는 폐수, 생활하수 등으로부터 생기는 유기질소가 유입되어 발생한다 (Woo et al., 2001). 이는 질소 시비가 높은 논과 시설재배지 지하수의 NO3-N 함량의 증가에 영향을 줄 수 있다. 특히 비료와 퇴비 등에 포함된 암모니아태질소 (NH4-N)가 불포화 층을 통과하면서 질산화 미생물에 의해 질산태질소로 분해되어 지하수를 오염시킬 수 있다. 본 연구에서는 토지이용 형태별 NO3-N 함량 차이와 시간 경과에 따른 증감 여부를 조사했다. 염소이온 (Cl-)은 염수 침입, 규산염 광물의 수화반응, 생활하수, 제설제, 농약 등 각종 오염원에 의해 지하수에 유입되기도 한다 (Kim et al., 2009). 지하수의 염분농도가 증가하면 지하수면 상부의 불포화 토양에서도 염분 농도가 증가할 수 있으며 이는 작물에 피해를 일으킬 수 있다 (Jung et al., 2017). 본 연구는 2021년부터 2024년까지 경북지역의 농업용 지하수에 대해 지하수법에 따른 수질관리기준 항목 중 pH, NO3-N, Cl- 3가지 항목과 부영양화의 지표가 될 수 있는 EC, T-N, T-P, K, Ca, Mg, Na을 분석하여 경북지역 농업용 지하수의 수질 관리에 활용하고자 한다.
Materials and Methods
조사 대상 지역
경북지역 논, 밭, 시설재배지 관개용으로 사용하고 있는 농업용 지하수를 대상으로 수질을 조사하였다. 시료 채취 지점 (Table 1)은 총 20지점으로 논 5지점, 밭 5지점, 시설재배지 10지점을 선정하였으며, 2021년부터 2024년까지 농업환경변동 모니터링을 위한 농업용수 정기 수집 기간인 4월과 7월에 채수하여 분석하였다.
시료 채취 및 분석 방법
지하수 시료 채취 시 관정 펌프를 이용하였고 불순물을 제거하기 위해 충분히 물을 빼낸 후 2 L 폴리에틸렌 용기에 채수하여 Ice Box에 운반, 분석 전까지 4°C 이하로 보관하였다. pH, EC, T-N, T-P, NO3-N, Cl- 총 6항목은 수질오염공정시험기준 (NIER, 2023)에 준하여 분석하였다. pH는 pH meter (Orion Star Azll pH meter, Thermo Scientific, Indonesia)를, EC는 EC meter (Orion 3 Star Conductivity Benchtop, Thermo Scientific, Singapore)를 이용하여 측정하였다. T-N과 T-P은 자외선 흡광광도법으로 분광광도계 (Cary 300 UV-Vis Agilent Technologis, Malaysia)로 측정하였다. NO3-N와 Cl-은 IC (940 professional IC, Metrohm, Switzerland)를 이용하여 측정하였다. Na, Mg, K, Ca는 농업용수 수질 분석 이론 및 실무 (NAS, 2006)에 준하여 ICP (Optima 8300, PerkinElmer, USA)를 이용하여 분석하였다. 시료 내 중금속 함량은 시료 100 mL 당 질산 5mL을 처리하여 가열 (농축), 여과하여 50 mL (2배농축)로 맞춘 시료를 ICP (Optima 8300, PerkinElmer, USA)를 이용하여 분석하였다. 통계처리는 SAS (statistical analysis system 통계 package (version 9.2)를 이용하여 각 관측값의 토지 용도별, 채수 시기별, 년도별 차이를 이원분산분석 (two-way ANOVA) t-test로 분석하였으며, 유의성 검정은 p < 0.05, p < 0.01 수준에서 실시하였다.
Table 1
Location of agricultural groundwater sampling site.
Results and Discussion
토지이용 형태에 따른 수질 현황
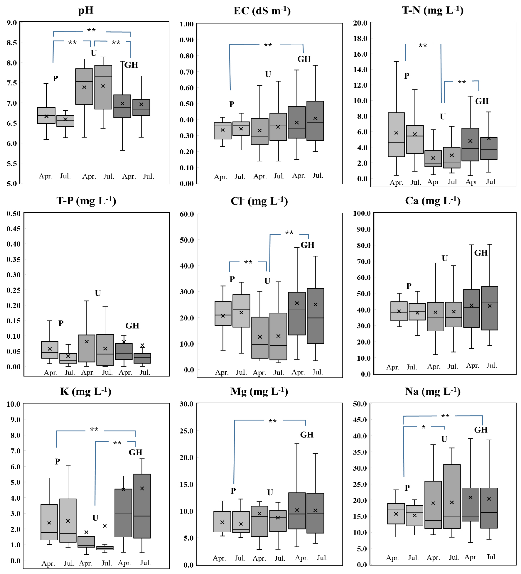
토지의 이용 형태에 따른 경북지역 농업용 지하수의 수질을 분석한 결과 (Table 2, Fig. 1), 지하수의 평균 pH는 논 6.6, 밭 7.4, 시설재배지 7.0로 밭 > 시설재배지 > 논의 순으로 높았으며 농업용수 수질기준 (pH 6.0이상, 8.5 이하)에 적합하였다. EC는 논 0.34 dS m-1, 밭 0.34 dS m-1, 시설재배지 0.39 dS m-1로 조사되어 우리나라 지하수의 평균 EC 0.33 dS m-1 (Jung et al., 2024)와 비슷하였다. FAO (1977)는 작물에 대한 농업용수의 EC에 의한 영향을 평가하는 데 있어 0.70 dS m-1 이하면 작물의 생산에 큰 영향이 없다고 하였고, 3.00 dS m-1이상이면 부정적인 영향을 미친다고 하였다. 본 연구 동안 조사된 농업용 지하수의 EC는 FAO에서의 기준 (0.7 dS m-1) 이하의 농도로서 작물 재배에는 영향이 없는 수준이었다. 우리나라 지하수의 연평균 NO3-N는 6.5 mg L-1 (Jung et al., 2024)로 경북지역의 경우 논 5.0 mg L-1, 밭 1.5 mg L-1, 시설재배지 4.2 mg L-1로 전국 평균보다 낮았다. T-N은 밭 2.8 mg L-1, 시설재배지 5.0 mg L-1, 논 5.8 mg L-1로 밭에서 가장 낮은 수치를 보였다. 농작물의 생산성 향상을 위한 비료의 사용이 지하수의 질산성 질소의 오염원으로 중요한 부분이라는 점을 부인할 수는 없다. 그러나, 정확한 질산성 질소의 오염경로는 매우 복합적인 것이므로 오염원과 부하량이 명확하게 알려진 바는 없다. 이는 작물의 생산활동과 가축사육, 생활 오수와 산업폐수 등에 의한 인위적인 원인과 지질 광물학적 원인 등에 의한 자원적인 원인이 복합되기 때문이다. 더욱이 지하수 오염의 위험이 어떤 특정한 활동에 의한 것이라고 일반화시키기는 어려운데, 그 이유는 지하수의 깊이, 관정의 위치, 토양과 vadose 층의 특성 등 여러 가지 요인이 질산성 질소의 오염에 영향을 주기 때문이다 (Jung et al., 1997). T-P은 토지이용 형태에 상관없이 0.07 mg L-1 이하로 매우 낮은 농도로 조사됐는데, Jang et al. (2011)은 이를 무기성 인이 침투수와 함께 이동하면서 토양에 흡착되기 때문이라 해석했다. Cl-, Ca, K은 시설재 배지에서 가장 높았으며 이는 시설 내에서 작물을 집약적으로 재배 (Lee et al., 2012)하고 작물 생산량을 높이기 위해 비료를 과다하게 사용하는 우리나라 농업 특성에 기인한 것으로 판단된다 (Lee et al., 2023). Mg과 Na는 시설재배지 지하수에서 가장 높은 수치를 보였으나 밭과 비슷한 수준이었다 (Fig. 1). Cl-의 농도는 밭보다 논과 시설 지하수에서 높았으며, 채취 시기에 따른 차이가 없었고, 지하수법에서 규정하고 있는 지하수의 수질기준인 250 mg L-1 이하로 조사되었다. 토지 용도별 지하수의 EC는 논의 경우 N, Cl-, Ca, Mg, Na의 농도와 고도로 유의한 정의 상관을 가지며, 밭의 경우 Cl-, Ca, Mg, Na, 시설 재배지는 대부분의 염농도가 지하수의 EC에 영향을 미치는 것으로 나타났다 (Table 3).
Table 2
Chemical properties of agriculture groundwater in Gyeong-buk Province according to land use type.
| Land use | pH |
EC (dS m-1) |
NO3-N (mg L-1) |
T-N (mg L-1) |
T-P (mg L-1) |
Cl- (mg L-1) |
Ca (mg L-1) |
K (mg L-1) |
Mg (mg L-1) |
Na (mg L-1) | |
|
Paddy (n = 40) | Min | 6.1 | 0.21 | 0.1 | 0.4 | 0.00 | 6.3 | 23.8 | 0.8 | 5.1 | 8.5 |
| Max | 7.5 | 0.44 | 14.3 | 15.0 | 0.15 | 33.7 | 51.3 | 6.0 | 12.2 | 23.2 | |
| Mean | 6.6 | 0.34 | 5.0 | 5.8 | 0.05 | 21.3 | 38.4 | 2.5 | 7.7 | 15.5 | |
| SD1 | 0.3 | 0.06 | 4.11 | 4.0 | 0.04 | 7.8 | 7.1 | 1.5 | 2.1 | 4.0 | |
|
Upland (n = 40) | Min | 6.1 | 0.14 | 0.0 | 0.5 | 0.00 | 2.6 | 11.9 | 0.4 | 2.8 | 8.4 |
| Max | 8.1 | 0.64 | 9.3 | 10.0 | 0.27 | 33.8 | 72.2 | 9.9 | 26.8 | 37.2 | |
| Mean | 7.4 | 0.34 | 1.5 | 2.8 | 0.07 | 12.7 | 38.5 | 2.0 | 9.1 | 19.2 | |
| SD | 0.6 | 0.14 | 2.12 | 2.2 | 0.07 | 9.5 | 18.1 | 2.5 | 5.7 | 9.7 | |
|
Green house (n = 80) | Min | 5.8 | 0.15 | 0.0 | 0.4 | 0.00 | 3.4 | 15.8 | 0.5 | 3.3 | 6.8 |
| Max | 8.2 | 0.74 | 25.9 | 26.4 | 1.10 | 89.6 | 80.4 | 18.2 | 22.5 | 62.4 | |
| Mean | 7.0 | 0.39 | 4.2 | 5.0 | 0.07 | 25.3 | 42.4 | 4.6 | 10.1 | 20.7 | |
| SD | 0.5 | 0.15 | 4.70 | 4.6 | 0.17 | 18.8 | 16.9 | 4.8 | 4.5 | 13.1 |
Table 3
Correlation between chemical properties and EC of agricultural groundwater by land use type in Gyeong-buk Province.
시기별 수질 현황
경북지역 농업용 지하수의 계절별 수질 현황은 Table 4와 같다. 4월과 7월의 평균 pH는 7.0로 같았다. EC는 4월 0.36 dS m-1, 7월 0.38 dS m-1으로 FAO 기준인 0.7 dS m-1보다 낮아 작물 생육에 나쁜 영향을 미치는 수준이 아닌 것으로 판단되었다. T-P는 계절에 상관없이 0.07 mg L-1으로 낮은 수치를 보였다. T-N, NO3-N, Cl-, Ca, K, Mg, Na 농도도 계절적 차이는 크지 않은 것으로 나타났다 (Fig. 1). 이는 Kim et al. (2008)이 2000년부터 2004년까지의 시설재배지 지하수의 NO3-N 농도가 4월보다 7월 또는 10월에 높았다는 결과와 강원지역 농업용 지하수의 NO3-N의 농도가 4월보다 7월에 높아진다고 Kim et al. (2024)이 보고한 결과와는 달라 경북지역의 농업용 지하수 수질이 양호하게 유지하는 것으로 평가된다. Yeob et al. (2025)은 우리나라 권역별 하천수 수질 변화를 분석한 결과 강원, 경상권의 수질이 양호하게 유지된다고 보고한 바 있다.
Table 4
Chemical properties of agriculture groundwater in Gyeong-buk Province in April and July.
| Period | pH |
EC (dS m-1) |
NO3-N (mg L-1) |
T-N (mg L-1) |
T-P (mg L-1) |
Cl- (mg L-1) |
Ca (mg L-1) |
K (mg L-1) |
Mg (mg L-1) |
Na (mg L-1) | |
|
April (n = 80) | Min | 5.8 | 0.14 | 0.0 | 0.4 | 0.00 | 3.3 | 11.9 | 0.4 | 2.8 | 6.8 |
| Max | 8.1 | 0.71 | 17.4 | 17.7 | 1.10 | 77.2 | 80.1 | 18.0 | 26.8 | 60.8 | |
| Mean | 7.0 | 0.36 | 3.5 | 4.5 | 0.07 | 21.1 | 40.6 | 3.3 | 9.4 | 19.2 | |
| SD1 | 0.6 | 0.13 | 3.7 | 3.8 | 0.13 | 14.4 | 14.7 | 6.8 | 4.7 | 11.0 | |
|
July (n = 80) | Min | 6.1 | 0.14 | 0.0 | 0.7 | 0.00 | 2.6 | 13.6 | 0.5 | 2.9 | 7.9 |
| Max | 8.2 | 0.74 | 25.9 | 26.4 | 0.74 | 89.6 | 80.4 | 18.2 | 26.1 | 62.4 | |
| Mean | 7.0 | 0.38 | 3.9 | 4.7 | 0.06 | 21.2 | 40.3 | 3.5 | 9.2 | 18.9 | |
| SD | 0.6 | 0.14 | 4.7 | 4.4 | 0.12 | 16.5 | 16.0 | 4.0 | 4.3 | 10.7 |

Fig. 1
Chemical properties of agriculture groundwater in Gyeong-buk Province in April and July by land-use type – paddy (P), upland (U), and green house (GH). The boxes represent interquartile ranges (IQRs), horizontal lines and × marks within the boxes indicate the median and average value, respectively, and the uppermost and lowermost whiskers indicate the 75th percentile plus 1.5 IQR and the 25th percentile minus 1.5 IQR, respectively. Bar means max and min value, excluding outliers. *, ** signicicance at the 5% and 1% levels, respectively, of period and land use type using t-test. There was no significant difference in values depending on sampling period.
연도별 수질 현황
연도별 수질 변화는 Table 5와 같다. 김천 조마면 장암리 시설 재배지에서 2023년 4월에 채취한 지하수의 pH가 5.8로 기준범위 이하의 수치를 보인 것을 제외하고 연도에 상관없이 모든 지점에서 양호한 수질을 유지하는 것으로 나타났다. 이 지점의 경우 4년간 조사 지역 중 가장 낮은 pH를 나타내는 지점이다. NO3-N와 Cl-도 기준치 내의 수치로 연도에 상관없이 농업용수로 적합한 것으로 평가되었다. 중금속 함량도 지하수 수질 관리 기준을 초과하지 않았다.
Table 5
Chemical properties of agriculture groundwater in Gyeong-buk Province from 2010 to 2024.
| Year | pH |
EC (dS m-1) |
NO3-N (mg L-1) |
T-N (mg L-1) |
T-P (mg L-1) |
Cl- (mg L-1) |
Ca (mg L-1) |
K (mg L-1) |
Mg (mg L-1) |
Na (mg L-1) | |
|
2021 (n = 40) | Min | 6.1 | 0.16 | 0.0 | 0.4 | 0.00 | 3.3 | 17.5 | 0.6 | 3.4 | 8.4 |
| Max | 8.1 | 0.74 | 25.9 | 26.4 | 1.10 | 78.3 | 79.8 | 18.2 | 26.8 | 43.7 | |
| Mean | 7.1 | 0.39 | 3.5 | 4.4 | 0.06 | 19.7 | 45.0 | 3.3 | 10.4 | 18.0 | |
| SD1 | 0.6 | 0.15 | 5.5 | 5.4 | 0.20 | 15.6 | 15.9 | 4.6 | 5.6 | 8.6 | |
|
2022 (n = 40) | Min | 6.1 | 0.15 | 0.0 | 0.5 | 0.00 | 2.6 | 15.1 | 0.4 | 3.0 | 8.4 |
| Max | 8.1 | 0.73 | 17.4 | 17.7 | 0.70 | 89.6 | 80.4 | 17.4 | 26.1 | 55.6 | |
| Mean | 6.9 | 0.38 | 4.2 | 5.1 | 0.05 | 22.9 | 41.8 | 3.0 | 9.6 | 19.7 | |
| SD | 0.6 | 0.14 | 4.6 | 4.5 | 0.11 | 17.9 | 16.1 | 4.2 | 4.8 | 10.7 | |
|
2023 (n = 40) | Min | 5.8 | 0.14 | 0.0 | 1.6 | 0.03 | 2.9 | 14.1 | 0.5 | 2.9 | 9.2 |
| Max | 8.1 | 0.70 | 14.3 | 13.5 | 0.24 | 84.0 | 72.2 | 17.2 | 15.2 | 62.4 | |
| Mean | 6.9 | 0.35 | 3.7 | 5.0 | 0.08 | 22.1 | 40.0 | 3.5 | 8.8 | 20.5 | |
| SD | 0.6 | 0.12 | 3.3 | 2.8 | 0.05 | 16.3 | 13.2 | 3.7 | 3.1 | 13.5 | |
|
2024 (n = 40) | Min | 3.4 | 0.14 | 0.1 | 0.5 | 0.01 | 3.2 | 11.9 | 0.6 | 2.8 | 6.8 |
| Max | 8.2 | 0.71 | 12.6 | 13.7 | 0.33 | 46.0 | 80.1 | 14.7 | 22.5 | 45.4 | |
| Mean | 7.1 | 0.34 | 3.2 | 3.8 | 0.06 | 18.9 | 35.8 | 2.8 | 8.1 | 18.0 | |
| SD | 0.5 | 0.13 | 3.3 | 3.3 | 0.07 | 11.6 | 15.4 | 2.9 | 3.9 | 10.0 |
Conclusions
경북지역 농업용 지하수 수질을 파악하여 영농의 기초자료로 활용하고자 논, 밭, 시설재배지 20지점에서 사용하는 지하수의 수질을 2021년부터 2024년까지 4년간 연 2회에 걸쳐 조사한 결과는 다음과 같다.
지하수 중의 EC, NO3-N, Cl-, T-N, T-P, Ca, K, Mg 및 Na의 농도는 지점 모두 농작물 생육에 지장이 없는 안전한 수준이었다. 지하수 pH는 밭 > 시설 > 논 순으로 높았으나 2023년 4월에 시설재배지 한 지점을 제외한 모든 지점에서 pH 6.0 - 8.5를 충족하여 용수 수질기준에 적합하였다. NO3-N는 논 > 시설 > 밭 순으로 높았지만, 지하수법에서 정하고 있는 농업용수의 수질기준 20 mg L-1 이하였고, 조사 시기별, 연도별 차이는 크지 않았다. 중금속은 모든 시료에서 검출되지 않거나 소량으로 검출되어 농업용수로 적합한 수준이었다. 본 연구는 연 2회 (4월, 7월) 정기 모니터링 자료에 기반하고 있어 지역 내 다양한 농업환경에 대한 영향을 충분히 반영하지 못했다는 한계를 가지고 있지만, 향후 조사 지점과 조사 시기를 늘리고, 점오염 및 비점오염원과 연계된 보다 정밀한 연구를 통하여 건전한 수질을 유지하기 위한 지속적인 모니터링이 필요한 상황이다.


