Introduction
통계청 농업총조사에 따르면 2015년 기준 농가 인구수는 2,569,387명으로 2005년 3,433,573명에 비해 약 25.2% 감소하였다. 같은 기간 60세 이상 고령 농가의 인구수 비율은 39.3%에서 50.3%로 약 11% 증가하였다. 주곡인 벼의 경우에도 농가 수는 2005년 935,318에서 2015년 635,364로 32.1% 감소하였으며 60세 이상 경영주 비율도 2015년 71.4%로 농업 전반의 인구 감소와 고령화 현상에 견주어 더욱 뚜렷한 변동 경향을 보였다 (KOSIS, 2017).
농가 인구 감소 및 고령화에 대응하여 안정적인 벼 생산체계를 이어가기 위해서는 경영효율화 측면에서 규모화 및 자동화가 필요하며 (Lee et al., 2016a), 비료 및 농약 살포, 물 관리, 수확 등 벼 농사 전반의 효과적인 규모화 및 자동화 관리를 위해 신속하고 과학적인 작황정보의 생산과 활용이 필요하다 (Park et al., 2005; Kim, 2016).
원격탐사는 전자기파를 감지하는 각종 기기 및 센서를 이용하여 지표면, 물, 대기 현상에 대해 비접촉·비파괴적인 방법으로 필요한 정보를 얻어내는 과학 기술로서 작황 추정에 널리 활용되고 있는 센싱 기술의 하나이다 (Hong et al., 2010).
원격탐사 기술을 활용해 벼 작황을 분석하기 위한 연구는 지상 분광반사계를 활용하여 벼 군락의 생육시기별 분광반사 특성을 조사하여 벼의 생장량을 추정하였으며 (Hong et al., 1998), Kim and Hong (2007)은 지상 광학센서를 이용하여 벼 옆 질소 함량을 추정한 바 있다. 또한 Hong et al. (2007)은 지상 관측 레이더 산란계를 이용하여 벼 군락의 후방산란 특성과 벼 생육의 상관관계를 보고하였으며, Kim et al. (2010)은 지상 관측 레이더 산란계 자동 측정시스템을 구축하여 벼 생육을 모니터링하고 생육단계를 추정한 바 있다. 위성기술 발달과 함께 위성영상 자료가 확대되면서 광학 및 레이더 위성영상을 활용한 벼 생육 모니터링 연구를 수행한 Hong and Rim (2000)은 Radarsat과 Landsat TM 위성의 영상자료를 획득하여 위성영상 값과 초장, 엽면적지수, 생체중, 건물중 등 생육인자와의 상관관계를 분석하여 위성 영상 자료가 벼 생육인자 변화 추세를 반영할 수 있음을 보고하였으며, Na et al. (2013a)은 Rapideye 위성영상 식생지수를 활용하여 벼 엽면적지수 (LAI)를 추정하는 모형을 구축한 바 있다. 국가 단위의 벼 수량 추정을 위해 Hong et al. (2012)은 250 m 해상도의 MODIS 위성영상 식생지수와 기상자료를 이용하여 벼 수량 추정을 위한 다중회귀 모형을 구축한 바 있으며, Na et al. (2013b)은 MODIS 위성영상 자료를 활용하여 벼의 순 일차생산량 (NPP: Net Primary Product)을 계산하여 벼 수량을 추정한 바 있다.
최근에는 RAPIDEYE, SPOT 등 위성영상의 공간해상도가 높고, 재방문 주기도 빠른 외국 상업 위성들이 증가하고 있으나, 영상 촬영 가격이 촬영 주기에 따라 1회당 약 5,000~8000천 원 정도로 고가라 촬영 시기와 지역에 맞는 일부 연구 대상지역을 제외하고 지속적인 영상 확보에 한계가 있다. 무료 공급되는 MODIS 위성영상의 경우 250 m의 공간 해상도로 인해 국가 단위의 벼 작황 추정에는 적합할 수 있으나 과학영농을 위한 들녘 단위 벼 작황 분석에는 낮은 공간해상도 때문에 한계가 있다.
최근 관련 기술이 급속히 발전하고 있는 무인비행체 (Unmanned Aerial Vehicle, UAV)는 기존 유인 항공기 및 상업용 위성에 비해 저렴한 가격으로 영상 취득이 가능하며 사용자가 원하는 시간과 공간에서 100~300 ha 내외의 들녘단위에 대해 5 cm 내외의 고해상도 항공 영상을 획득할 수 있는 장점을 갖고 있다 (Lee et al., 2016b).
Xiang and Tian (2011)은 무인비행체 영상을 이용하여 작물의 초고를 추정한 바 있으며, Torres-Sanchez et al. (2014)은 무인비행체에 디지털 카메라를 부착하여 밀의 토지 피복량을 산정한 바 있다. Bendig et al. (2014)은 UAV 기반의 RGB (Red-Green-Blue) 영상을 작물모형에 적용하여 보리 작황변이를 모니터링하고 바이오매스를 추정한 바 있다. 국내에서도 Lee et al. (2015b)이 무인비행체를 활용하여 풋거름 재배단지를 촬영하고 풋거름의 질소량을 추정한 바 있으며, Lee et al. (2016b)은 1년간 무인비행체 영상 촬영 결과 분석을 통해 무인비행체 영상으로 잔디 및 콩에 대해 산정한 NDVI (Normalized Difference Vegetation Index) 식생지수가 지상센서로 측정한 결과와 높은 상관관계가 있음을 보고한 바 있다. Na et al. (2016a, 2016b, 2016c)은 무인비행체 영상을 활용하여 고랭지배추, 맥류 및 이탈리안라이그라스 생육 추정 연구를 수행한 바 있으나 작물 생육 모니터링을 위한 무인비행체 영상 활용 연구는 도입단계이며 무인비행체 영상을 활용한 벼 생육모니터링 연구는 부족한 상황이다.
따라서 본 연구는 벼 생육 모니터링을 위해 최적의 무인비행체 영상 식생지수 및 회귀식을 선정하고자 수행하였다.
Materials and Methods
연구대상 지역 및 생육조사 본 연구는 전북 완주군 이서면에 위치한 국립식량과학원 벼 시험포장 (35°50´2´´N, 127°2´37´´)에서 수행하였다 (Fig. 1). 충남 이남 평야지에서 많이 재배되는 중만생종 메벼인 새누리, 신동진과 중만생종 찰벼인 동진찰벼 및 중생종 밀양23호를 파종하여 2016년 5월 23일 5.2 × 3.6 m 플롯에 3반복으로 총 12개 플롯에 이앙 재배하였다. 품종별 출수기는 새누리, 신동진, 동진찰벼의 경우 8월 15일경이었으며, 밀양23호의 경우 8월 5일경이었다. 재식밀도는 30 × 15 cm이었으며 생육조사는 이앙 후 1~2주 간격으로 1 플롯당 1주씩 품종당 3주를 10회 채취하여 초장, 건물중, 엽면적 지수 (Leaf Area Index, LAI)를 측정하였다. 초장은 벼 생장량 지표로서 채취 후 실험실에서 뿌리 위부터 가장 긴 잎 끝까지의 길이를 측정하여 산정했다. 엽면적 지수는 벼 잎이 주어진 면적을 몇 번 덮을 수 있는지 나타내는 값으로 LI-3000 (LI-COR, USA)을 이용하여 엽면적을 측정하고 재식밀도로 나누어 값을 산정하였다. 벼 건물중은 70°C 드라이 오븐에서 건조하여 측정하였다.
무인비행체 영상 촬영 무인비행체를 활용한 항공영상 촬영은 2016년 3~10월까지 고정익 무인비행체 (Ebee, Sensefly, Swiss)를 활용하여 벼 이앙 전 월 1회, 이앙 후에는 1~2주 간격으로 총 16~17회 촬영하였다 (Table 1). 무인비행체 영상 해상도는 5 cm로 설정하였으며, 가시광선 영역인 녹색, 적색, 청색 영역의 카메라 (IXUS/ELPH, Cannon, Japan)와 녹색, 적색, 근적외 영역을 촬영할 수 있는 카메라 (S110, Cannon, Japan)를 번갈아 탑재하여 사용하였다 (Table 2, 3, Fig. 2).
무인비행체 촬영한 150~160 여장의 영상은 영상 전처리 프로그램 (Emotion, Sensefly, Swiss)을 활용해 비행체 고도, 방향 등 위치 정보와 결합한 후 영상 합성 프로그램 (Tera3D, Sensefly, Swiss)을 통해 한 판의 정합 (mosaic) 영상과 반사율 영상을 제작하였다 (Lee et al., 2016b).
벼 생육 추정을 위한 최적 식생지수 및 회귀식 선정 식생지수는 단위가 없는 복사 값으로 식생 활력도와 생육 현황을 나타내는 지표이다 (Cohen, 1991; Lyon et al., 1998; Richardson and Everitt, 1992). Jordan (1969)이 적색과 근적외 파장대 반사값의 비로 최초 식생지수인 RVI (Ratio vegetation index)를 제안한 이후 다양한 식생지수가 개발되어 사용되고 있다. 본 연구에서는 Hunt et al. (2013)이 원격탐사 기술을 활용해 식물 군락의 클로로필 (chlorophyll) 함량을 추정하기 위해 사용한 21개 식생지수 중에서 무인비행체에 장착된 카메라로 촬영 가능한 밴드 (Red, Green, Blue, NIR)로 산정가능한 식생지수를 우선 선정하였다. 이후 식생지수 산정식이 비율식으로 되어 있어 무인비행체 영상 촬영 시 입사되는 광량차이에 따라 인접한 낱장 영상들 간에 발생할 수 있는 반사값 차이를 최소화할 수 있다고 판단되는 (Lee et al., 2016b) 8개 지수를 Table 4와 같이 선정하였다. 벼 생장 단계는 출수기를 기준으로 영양 생장기와 생식 생장기로 나눌 수 있으며 생장기에 따라 식생지수와 벼 생육인자의 상관관계가 크게 달라진다는 기존 연구 결과 (Hong et al., 1998)를 참고하여 무인비행체 영상 식생지수와 벼 생육인자의 상관성 분석은 출수기를 기준으로 나누어 수행하였다. 무인비행체 영상 식생지수는 Leica사의 Erdas Imagine 및 ESRI사의 Arcgis Arcinfo 프로그램을 사용하여 산정하였다.
무인비행체 영상 식생지수를 활용해 벼 생육을 추정하기 위해 식생지수를 독립변수, 생육인자를 종속변수로 하여 회귀식을 구축하여야 한다. 따라서 본 연구에서는 원격탐사 기술을 활용해 작물 생육모니터링을 수행한 기존 연구에서 사용된 4 종류의 회귀 모형을 대상으로 벼 생육인자와 상관성이 높은 회귀 모형을 선정하였다 (Table 5).
Results and Discussions
벼 생육 및 식생지수 변화 벼 생육기 동안 초장, 건물중, 엽면적지수 변화는 Fig. 3과 같았다. 초장은 이앙 이후 지속적으로 증가하다 8월 중순부터 비슷한 값을 유지하였으며, 품종별로 동진찰벼와 밀양23호가 새누리 및 신동진에 비해 6월까지 유사한 값을 보였으나 7월부터 5~10 cm 정도 작은 값을 보였다. 건물중은 이앙 이후 지속적으로 증가하여 9월 이후 대체적으로 유사한 값을 보였다. 엽면적지수는 모든 품종에서 이앙 이후 증가하나 새누리, 신동진의 경우 8월 중순 최고치를 보이다 이후 감소하는 경향을 보였으며, 동진찰벼는 7월말, 밀양23호는 7월 중순 최고치를 보인 이후 감소하는 경향을 보였다. 엽면적지수의 최고치 순서는 신동진 > 새누리 > 동진찰벼 > 밀양23호 순이었다. 이처럼 벼 초장, 건물중, 엽면적지수의 변화가 품종간에는 최고값과 최고값 출현 시기에 약간의 차이가 있었으나 변경 경향은 대체적으로 유사하였다. 하지만 생육인자 간에는 변동 경향이 달랐던 것은 벼 잎의 경우 영양생장기에는 지속적으로 성장하다가 출수기 이후 지엽이 출현하면서 잎의 성장이 멈추고 고엽이 증가하면서 이삭으로 양분이 이동하여, 초장의 크기는 정체되고 엽면적지수는 감소하지만 건물중은 수확기까지 계속 증가하게 되기 때문으로 판단된다 (Chae et al., 2006).
무인비행체로 항공영상을 촬영하고 식생지수를 산정하여 시계열적 변화를 도시한 것은 Fig. 4와 같았다. RVI 경우 3월말부터 10월초까지 0.5~12 범위를 보였는데, 논이 나지 상태일 경우 약 1.0 값을 보였다가 이앙 후 5월말부터 값이 증가하여 7월말 최고값을 보이고 이후 감소하는 경향을 보였다. 이러한 경향은 품종별로 큰 차이를 보이지 않고 대체로 유사하게 나타났다. NDVI의 경우에도 RVI와 같이 품종별로 큰 차이를 보이지 않고 벼 이앙 이후 증가하다 7월말 약 0.8의 최고값을 보이고 이후 완만하게 감소하는 경향을 보였다. NDVI는 나지 상태에서는 0에 가까운 값을 보이다 벼 이앙 초기 약 -0.2까지 값이 낮아지는 경향을 보였는데, 이는 이앙 이후 논에 담수된 물에 의해 근적외선 영역이 흡수되어 값이 낮아졌기 때문으로 판단된다 (Lee et al., 2015a). CVI의 경우 앞선 식생지수와 유사하게 벼 생육과 함께 식생지수가 0.7에서 6~8까지 증가하는 경향을 보였으나 7월 22일 조사된 값이 7월 8일 값에 비해 감소했다가 다시 증가하는 경향을 보여 이중의 피크를 보였다. 생육 초기에는 품종간 차이가 없었으나 7월 8일 값부터 밀양 23호의 값이
조금 더 큰 값을 보였다. gNDVI는 -0.2~0.8 범위에서 대체적으로 NDVI와 유사한 변화 경향을 보였으나, 7월 22일의 값이 NDVI의 경우 7월 8일과 유사하였으나, gNDVI의 경우 약간 감소하다 이후 다시 증가하는 경향을 보였다. CI-G의 경우 -0.4에서 7~9까지의 범위로 CVI와 유사한 변화 경향을 보였다. Hong et al. (1998)은 지상분광복사계를 이용하여 벼 생육기간 동안 지상에서 반사율을 측정한 결과 벼 잎으로 논이 모두 피복되는 7월 중순부터 출수기까지 Red-Green-Blue 영역의 반사율은 감소하고 NIR 영역의 반사율은 증가하다 출수기 이후에는 반대의 경향을 보인다고 하였는데, 본 연구에서는 7월 22일 무인비행체 영상의 경우 Green 영역 반사율이 7월 8일에 비해 큰 폭으로 증가하였으며, Red 영역의 반사율도 소폭 증가하는 경향을 보여 CVI와 CI-G, RVI의 값이 감소했던 것으로 판단된다 (Fig. 5). 그러나 NDVI와 gNDVI의 경우 산정식이 Red, Green 영역에 비해 5~10배 정도 높은 NIR 영역 반사율과 Red와 Green 영역 반사율의 합과 차에 대한 비율로 구성되어 있어 NIR 영역과 Red, Green 영역의 단순 비율에 기초한 CVI, CI-G, RVI에 비해 큰 변동 없이 식생 변화와 유사한 경향을 보인 것으로 판단된다. 물체 반사율은 물체의 고유한 특성을 반영하는 값이지만 영상 촬영 당시 광량, 태양 고도각, 기상 등 촬영 환경에 영향을 받을 수 있으며 동일 위성의 경우 동일 시간에 영상을 촬영하기 때문에 촬영환경 조건 변화가 크지 않으나 무인비행체의 경우 동일한 촬영 시간 및 조건을 유지하기 어려울 뿐만 아니라 위성의 광학 카메라와 같이 우수한 품질의 카메라를 사용할 수 없으므로 (Rasmussen et al., 2016; Lee et al., 2016b) 추후 무인비행체 영상의 반사율에 영향을 미치는 촬영 환경 조건과 이를 보정하기 위한 연구가 수행되어야 할 것으로 판단된다. NGRDI, GLI, VARI의 경우 앞서 5개의 식생지수와 달리 NIR 영역의 영상 값이 사용되지 않는 대신 일반적으로 많이 쓰이고 있는 Red-Green-Blue 영역의 카메라 영상만으로 계산되었다. NGRDI의 경우 -0.08에서 0.14~0.19의 범위를 보였는데 7월 22일 최고치를 보이다 이후 7월 27일과 8월 1일 감소한 이후 8월 8일부터 다시 증가하여 출수기 이후인 8월 22일부터 다시 감소하는 2중 피크를 보였다. 벼 생육 초기에는 식생지수 간에 큰 차이가 없었으나 7월 22일 이후 신동진 > 새누리 > 동진1호 > 밀양23호 순의 값을 보였다. GLI의 경우 0.02에서 0.25~0.32의 범위를 보였으며 7월 22일 최고치를 보이고 이후 감소하다 출수 이후인 7월 22일부터 다시 증가하다 감소하는 완만한 2중 피크를 보였다. 품종 간에는 7월 22일 이후 신동진 > 새누리 > 동진찰벼 > 밀양23호 순이었으며 품종간에 0.05에서 0.1 내외로 비교적 뚜렷한 차이를 보였으나 전체적인 증감 경향은 유사하였다. VARI의 경우 0.16에서 7월 22일 최고치 0.43~0.47의 범위를 보였는데 GLI와 유사하게 출수 이후 값이 소폭 증가하다 9월말 다시 완만하게 감소하는 경향을 보였다. Red-Green-Blue 영역 카메라로 산정한 식생지수도 2중 또는 다중 피크를 보이는 등 벼 생육인자 변화와 다른 경향을 보였는데 이는 앞서 언급한 촬영 환경, 카메라 품질 특성과 함께 Red, Green, Blue 영역의 데이터가 1~2배 정도 밖에 차이가 나지 않아 (Hong et al., 1998) 일부 영역의 작은 데이터 변동에도 식생지수 값의 변동이 영향을 받기 때문으로 판단된다.
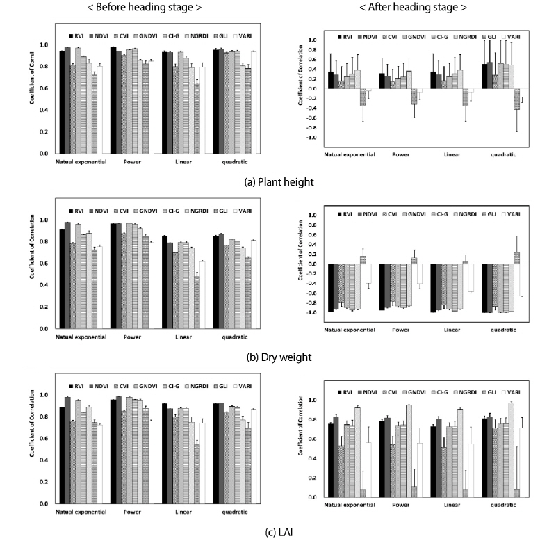
생육추정을 위한 최적 식생지수 및 회귀식 선정 생육인자의 시계열적 변화 특성이 품종별로 큰 차이 없이 대체적으로 유사하고 식생지수 또한 일부 지수에서 품종에 따른 값의 차이가 있었으나 증감 변동 경향은 모두 유사하였으므로 4개 품종에 대해 생육인자와 식생지수간의 회귀식별 상관성 분석 결과를 종합적으로 분석하고자 하였다. 이를 위해 각 식생지수와 생육인자의 회귀식 상관계수 (R) 평균과 표준오차를 Fig. 6과 같이 도시하였다. 초장의 경우 출수기 전이 출수기 이후에 비해 식생지수와의 상관성이 높게 나타났는데, 자연 지수식의 경우 NDVI의 상관계수가 0.98로 가장 높았으며 이어 gNDVI 0.97, RVI 0.94 순이었다. 거듭제곱식의 경우 RVI가 0.98로 가장 높았으며 CI-G 0.96, gNDVI 0.95의 순이었다. 선형식의 경우 상관계수가 0.93 이하였으며 이차식의 경우 NDVI와 RVI의 상관계수는 0.95 이상이었다. 출수기 이후에는 대체적으로 상관계수 0.5 이하의 낮은 상관을 보여 식생지수를 통한 초장의 추정이 어려운 것으로 나타났다. 이는 벼 초장의 경우 출수기 전에는 식생지수와 같이 증가하는 경향을 보이지만 출수기 이후에는 거의 일정한 값을 보임으로 감소하는 추세를 보이는 식생지수와 다른 변동 경향을 보였기 때문으로 판단된다 (Hong et al., 1998).
건물중은 출수기 전에는 자연 지수식과 거듭제곱에서 식생지수와의 상관성이 높았는데 자연 지수식의 경우 NDVI와 건물중의 상관계수가 0.98로 가장 높은 값을 보였으며 이어 gNDVI 0.96 순이었다. 거듭제곱식에서는 gNDVI와 NDVI의 상관계수가 0.97로 가장 높았으며 RVI 0.96, CI-G 0.96 순이었다. 선형식과 2차식의 상관계수는 0.9 미만이었다. 출수기 이후에는 대체적으로 식생지수와 건물중은 음의 상관관계를 보였다. 식생지수 중에는 RVI, NDVI, CI-G, NGRDI의 상관계수 값이 -0.9 이하로 강한 음의 상관관계를 보였다. 이처럼 건물중이 식생지수와 음의 상관성이 높았던 것은 건물중은 수확기까지 지속적으로 증가하는 반면 식생지수는 출수 후 감소하는 추세를 보이기 때문으로 판단된다.
LAI의 경우 출수기 이전에는 자연 지수식에서 NDVI와 상관계수가 0.98의 높은 상관관계를 보였으며 이어 gNDVI 0.95 순이었다. 이는 거듭제곱식에서도 동일한 경향이었는데 NDVI에서 0.98로 자연 지수식과 유사한 결과를 보였으며 이어 gNDVI 0.97, RVI와 CI-G 0.96, NGRDI 0.95 순이었다. 선형식과 이차식의 경우 LAI와 엽면적의 상관계수는 0.92이하였다. 출수기 이후에는 NGRDI의 경우 0.9 이상의 상관계수를 보였으며, NDVI도 상관계수 0.8 이상의 값을 보였다. LAI의 경우 식생지수와 마찬가지로 출수기 이후 감소하는 추세를 보이고 있으므로 일부 식생지수와 정의 상관을 보이고 있는 것으로 판단된다. 일반적으로 디지털 카메라에서 많이 사용되는 R-G-B 밴드의 영상으로 식생지수를 산정한 결과와 벼 생육인자와 상관관계는 출수기 이후 건물중과 엽면적지수에 대해 높은 상관관계를 보여준 NGRDI를 제외하고는 낮은 상관관계를 보였다. 이는 R-G-B 영역의 영상 식생지수가 2~3 차례의 피크를 보임에 따라 출수기까지 지속적으로 증가하다 이후 유지 (초장), 감소 (엽면적지수), 증가 (건물중)하는 벼 생육인자 변화 경향과 다른 추세를 보였기 때문으로 판단된다. NGRDI의 경우 출수기 이후 지속적으로 감소하는 경향을 보이기는 했으나 출수기 전 식생지수 값의 변동이 컸기 때문에 벼 생육 추정을 위해 지속적인 모니터링과 적용성 검토가 필요할 것으로 판단된다.
무인비행체의 경우 촬영 당시 광량, 태양 고도각, 기상 등 촬영환경 조건 변화가 크며, 위성의 광학 카메라와 같이 우수한 품질의 카메라를 사용할 수 없으므로 작황 모니터링을 위해 무인비행체 영상의 반사율에 영향을 미치는 촬영 환경 구명과 영상 보정을 위한 후속 연구가 수행되어야 할 것으로 판단된다.
Conclusions
무인비행체 영상을 활용한 벼 생육 모니터링을 위하여 벼 생육을 추정할 수 있는 최적 식생지수 및 회귀식을 선정하고자 본 연구를 수행하였다. 벼 초장, 건물중, 엽면적지수 등 벼 생육인자와 무인비행체 영상에서 취득 가능한 Red-Green-Blue, Red- Green-NIR 밴드의 카메라를 무인비행체에 탑재하여 영상을 촬영하고 식생지수 및 회귀식을 조합하여 상관성을 분석해본 결과 출수기 전에는 식생지수 중 NDVI와 회귀식 중 자연 지수식의 조합이 벼 초장, 건물중, 엽면적지수와 상관계수가 0.97이상으로 높게 나타나 가장 적합한 것으로 판단된다. 출수기 후에는 식생지수와 벼 생육인자 간의 상관성이 출수기 전에 비해 낮아졌으나 건물중은 식생지수 중 RVI, NDVI, gNDVI, CI-G 등에서 회귀식 중 2차식 적용 시 상관계수 -0.98 이하의 높은 음의 상관성을 보였으며 엽면적지수도 식생지수 NDVI 및 NGRDI의 경우 0.8 이상의 상관계수 값을 보였다. 일반적으로 디지털 카메라에서 많이 사용되는 R-G-B 밴드 영상으로 식생지수를 산정한 결과와 벼 생육인자의 상관관계는 출수기 이후 건물중과 엽면적지수에 대해 높은 상관관계를 보여준 NGRDI를 제외하고는 낮은 상관관계를 보였다. 이는 R-G-B 영역의 영상 식생지수가 2~3 차례의 피크를 보임에 따라 출수기까지 지속적으로 증가하다 이후 유지 (초장), 감소 (엽면적지수), 증가 (건물중)하는 벼 생육인자의 변화 경향과는 다른 추세를 보였기 때문으로 판단된다.














