Introduction
우리나라 가축분뇨 발생량은 2012년 기준 46,489천 톤으로 이중 37,656천 톤 (81.0%)이 퇴비화, 3,580천 톤 (7.7%)이 액비화, 4,210천 톤 (9.1%)이 정화 방식으로 처리는 것으로 보고되고 있으며, 또한 축종별 가축분뇨 발생량은 한육우 15,315천 톤 (32.9%), 젖소 5,681천 톤 (12.2%), 돼지 17,748천 톤 (38.2%), 닭 6,559천 톤 (14.1%)로 돼지의 사육과정에서 발생하는 가축분뇨의 비중이 높게 나타나고 있다 (MAFRA, 2013). 특히, 우리나라 돼지 사육 농가의 약 74%는 슬러리 돈사구조를 채택하고 있어 돼지의 분, 뇨, 그리고 사육사의 세척수가 혼합되어 수분함량 약 95%이상의 슬러리 (Slurry) 상태로 배출되는 특성이 있다 (KPPA, 2014). 양돈슬러리는 높은 수분함량으로 인하여 퇴비화 처리 시 많은 양의 수분조절제 (톱밥 등) 사용을 요구하고 있어 경제성 문제가 지적되고 있으며, 양돈슬러리의 경제적인 자원화 방안으로 액비화에 대한 관심이 높다. 이에 부응하여 가축분뇨의 액비화 비중은 2006년 1,300천 톤에서 2012년 3,580천 톤으로 크게 증가하였으며, 2013년 농식품부는 “중장기 가축분뇨 자원화 대책” (MAFRA, 2013)에서 가축분뇨 액비의 품질 및 부숙도 관리 강화를 통해 액비화를 촉진하고자 하는 정책을 계획 ․ 추진하고 있는 상황이다.
양돈 슬러리의 액비화 과정은 크게 혐기성 액비화와 호기성 액비화로 구분할 수 있으며, 혐기성 액비화는 산소가 없는 상태에서 혐기성 미생물에 의해 유기물이 분해되는 과정으로 다양한 유기산과 메탄가스가 생성되며, 암모니아 (NH3)와 황화수소 (H2S) 등 다양한 악취물질이 발생한다. 반면 호기성 액비화는 호기성 미생물을 이용하여 이분해성의 유기물을 물리 ․ 화학 ․ 생물학적으로 안정한 부식성의 물질로 전환시키는 과정으로 암모니아나 황화수소와 같은 악취물질을 질산성 질소와 황산화물로 전환시킨다. 따라서 양돈슬러리의 액비화는 토양환경에서의 안전성과 악취 발생 저감 효과 등을 고려하여 연속 또는 간헐적인 폭기 처리에 의한 호기성 액비화 방법이 주로 채택되고 있다 (Yoon et al., 2009).
국내 양돈슬러리 액비화에 관한 연구는 1990년대 후반부터 시작되었으며, 초기에는 혐기성과 호기성 액비화 과정에서의 이화학적 특성변화 (Jung et al., 1998)에 관한 연구가 보고되었다. 근래에는 양돈 슬러리 액비화가 널리 보급되면서 호밀에 대한 양돈슬러리 직접 시용 효과 (Shin et al., 1998), 벼 재배에서 돈분뇨 액비와 화학비료간의 시비효과 특성 (Kwon et al., 2010), 토마토 재배에서 돈분액비의 관비이용 (Park et al., 2010) 등에 관한 연구가 진행되었다. 또한 가축분뇨 액비시용에 따른 환경 영향에 대한 관심이 증가하면서 국내유통 돈분뇨 액비의 화학적 특성 (Lee et al. 2011), 가축분뇨 액비시용에 따른 수계 양분부하 영향 (Kim et al., 2012; Kim et al., 2013) 등에 관한 연구가 보고되고 있다. 국외의 경우 가축분뇨 액비 시용에 따른 질소, 인 등 식물양분의 이용 효율 (McCormick et al., 2003; Chantigny et al., 2004; Chantigny et al., 2008)에 관한 연구와 환경적 측면에서 가축분뇨 액비 시용 시 수계 및 대기로의 양분 유출 (Tabbara, 2003; Daverede et al., 2004) 및 온실가스 배출 (Whalen, 2000; Chantigny et al., 2007) 등에 관한 연구가 주로 보고되고 있으며, 가축분뇨 액비 제조 및 공정에 관한 연구는 매우 미미한 상황이다.
가축분뇨 액비화 반응기는 물리화학적 측면에서 열린계 (Open system)로서 수분과 유기물 분해로 인해 발생하는 이산화탄소 (CO2), 암모니아 등의 물질 (Mass)과 미생물 반응에 의한 호흡열, 증발수분의 잠열 등의 에너지가 계 (System)의 경계를 이동한다. 따라서 액비화 과정에서의 화학적 특성 변화를 면밀히 분석하기 위해서는 반응기 내의 화학적 성상 변화의 측정만으로는 한계가 있으며, 증발 수분 등을 고려한 물질수지 측면에서의 검토가 요구된다. 그러나 아직까지 가축분뇨 액비화 과정에서의 물질 (Mass) 변화에 관한 검토는 이루어진 바가 없다. 따라서 본 연구에서는 양돈슬러리의 호기성 액비화 과정에서 화학적 특성 변화를 파악하기 위하여 물질수지 분석을 통해 호기성 액비화에서 유기물 분해 및 암모니아의 휘발 특성을 정량적으로 평가하였다.
Materials and Methods
시험재료 본 연구에 사용한 시험재료는 경기도 음성에 위치하는 육성돈사의 슬러리 저장조에서 채취하였으며, 채취한 양돈슬러리는 500 µm 체 (Sieve)로 거른 뒤 시험에 공시하였다. 양돈슬러리의 화학적 특성은 Table 1과 같다.

†Chemical oxygen demand.
‡Biological oxygen demand.
§Total organic carbon.
¶Number in Parentheses means the standard deviation (n = 3).
액비화 반응기 양돈슬러리의 액비화 (Liquid composting)를 위하여 Fig. 1과 같이 아크릴을 이용하여 반응기 용적 23 L (유효용적 20 L)의 회분식 (Batch) 액비화 반응기를 제작하였다. 액비화 반응기는 액비화 과정에서 발생하는 과도한 스컴 (Scum)의 외부 유출을 방지하기 위하여 밀폐형으로 제작하였으며, 별도의 스컴 완충조 (Scum buffer tank)를 구비하고 호기성 액비화 반응기에서 발생하는 스컴을 회수하여 정량펌프 (LP-60A, Ko Sung valve co, Busan, Korea)를 이용하여 다시 액비화 반응기로 회수가 가능하도록 고안하였다. 액비화 반응기의 폭기는 공기 압축기 (Air compressor)를 이용한 압축공기를 사용하였으며, 공기 유량계 (RMA-21-SSV, Dwyer, Michigan, USA)를 이용하여 송풍유량의 제어가 가능하도록 고안하였으며, 액비화조의 폭기 공기는 스컴 완충조를 통해 외부로 배출되도록 제작하였다. 또한 액비화 반응기에는 pH, DO, ORP, 온도 센서를 설치하여 액비화 반응기 운전기간 중 모니터링이 가능하도록 구성하였다.
반응기 운전 액비화 반응기의 운전은 양돈슬러리 원수 20 L를 액비화 반응기에 충진시키고, 송풍량을 0.03 m3-air ․ min-1 ․ m-3 기준에서 장기 폭기 (Aeration) 방식으로 30일 동안 운전하였다 (MAFRA et al., 2009). 액비화 반응기의 운전 모니터링을 위하여 반응기 운전 기간 중 1, 2, 3, 7, 11, 14, 18, 21, 25, 30일에 각각 500 mL의 시료를 채취하였으며, 액비화조 운전기간 중 장기 폭기로 인한 증발량을 파악하기 위하여 액비화 반응기와 스컴 완충조의 무게를 측정하였다. 또한 대조실험을 위하여 20 L 크기의 원통형 아크릴 저장조를 두었으며, 하루 1회 손으로 저어서 교반 (Agitation)을 실시하였다.
시험 분석 pH, 총고형물 (Total solid, TS), 휘발성 고형물 (Volatile solid, VS), 총질소 (Total nitrogen, TS), 암모니아성 질소 (NH4+-N), 화학적 산소요구량 (Chemical Oxygen Demand, CODCr), 생물학적 산소요구량 (Biological Oxygen Demand, BOD5)는 표준분석법 (APAH, 1998)에 따라 3반복으로 수행하였다. 그리고 총유기탄소 (Total organic carbon, TOC)는 TOC 분석기 (TNM-L, SHIMADZU, Kyoto, Japan)를 사용하여 분석하였다. 또한 자유 암모니아 (NH3)의 농도는 Eq. 1 (Hansen et al., 1998)을 이용하여 산출하였다. 여기서
는 절대온도 (K)이다.
(Eq. 1)
반응속도 분석 양돈슬러리의 액비화 과정에서의 반응속도 분석을 위하여 BOD의 물질수지를 분석하였으며, BOD의 물질수지는 장기 폭기에 따른 수분 증발량과 시료채취에 따른 시료 유출량을 고려하여 Eq. 2와 같이 산출하였다. 여기서
는 반응기의 운전기간 (day),
는
일에서의
량 (g),
는
일에 측정한 측정
(mg ․ L-1),
는 반응기에 투입한 양돈슬러리의 부피 (L),
는
일에서의 수분증발량 (L),
는
일에서의 시료 채취량 (L)이다.
(Eq. 2)
양돈슬러리의 호기성 액비화 과정에서 나타나는 반응속도 분석은 액비화 기간 중 BOD 의 질량 감소에 대하여 1차 반응속도 모델 (Eq. 3)을 적용하였으며, SigmaPlot (Version 10.0, Systat Software Inc., San Jose, Califonia, USA)으로 해석하였다. 여기서
는
일에서의
량 (g),
는 반응기에 투입한
량 (g),
는 1차 반응속도상수,
는 반응기의 운전기간 (day)이다.
(Eq. 3)
Results and Discussion
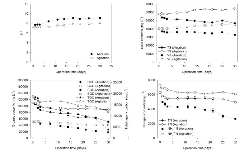
액비화 특성 변화 양돈슬러리의 액비화 과정에서 화학적 특성의 변화를 파악하기 위하여 폭기 (Aeration) 방식과 교반 (Agitation) 방식을 통한 액비화 과정을 비교 ․ 분석하였다. 액비화 과정에서 화학적 특성 변화는 Fig. 2와 같다. 폭기식 액비화 기간 중 pH는 7.0에서 9.13으로 증가한 반면, 교반식 액비화에서는 pH가 7.0에서 8.10으로 증가하여 폭기식 액비화에서 pH 증가가 더 큰 것으로 나타났다. 폭기식 액비화조의 TS와 VS 함량은 각각 53,630 mg ․ L-1에서 42,363 mg ․ L-1, 40,469 mg ․ L-1에서 32,943 mg ․ L-1로 감소한 반면, 교반식 액비화조의 TS와 VS 함량은 각각 58,261 mg ․ L-1에서 64,529 mg ․ L-1, 40,469 mg ․ L-1에서 44,978 mg ․ L-1로 증가하였다. 교반식 액비화조에서 TS, VS의 함량이 액비화 일수가 경과함에 따라 증가하는 것은 액비화 기간 중 수분증발에 의한 고형물의 농축 현상에서 기인하는 것으로 판단된다. 액비화 기간 (30일) 중 폭기식 액비화조의 수분 증발량은 약 3.65 L로 측정되었으며, 교반식 액비화조의 수분 증발량은 약 2.1 L로 나타났다. 액비화 기간 중 폭기식 액비화조에서의 수분증발이 더 많았음에도 불구하고 폭기식 액비화조에서의 고형물 (TS, VS) 함량은 감소하였으나, 교반식 액비화조에서는 고형물 (TS, VS) 함량이 증가하였다. 이러한 현상은 폭기식 액비화조에서의 빠른 유기물 (VS) 분해속도로 인해 수분 증발에 의한 농축 현상에도 불구하고 고형물의 농도가 감소하는 것으로 나타난 것이다. 또한 폭기식 액비화조의 BOD5는 50,907 mg ․ L-1에서 17,960 mg ․ L-1로 크게 감소하였으며, 교반식 액비화조의 BOD5는 50,907 mg ․ L-1에서 40,460 mg ․ L-1로 낮은 BOD5 감소를 나타내었다. TN과 NH4+-N 함량은 폭기식 액비화조에서 각각 7,315 mg ․ L-1에서 4,954 mg ․ L-1, 6,263 mg ․ L-1에서 2,683 mg ․ L-1로 감소하였으며, 교반식 액비화조에서는 각각 7,315 mg ․ L-1에서 6,150 mg ․ L-1, 6,263 mg ․ L-1에서 4,950 mg ․ L-1로 감소하여 폭기식 액비화조에서의 질소 성분의 감소가 큰 것으로 나타났다. Jeong et al. (1998)은 양돈슬러리의 액비화에서 폭기, 교반, 정치 등 액비화 방식을 비교한 결과, 폭기식 액비화에서의 BOD5의 감소폭이 가장 크게 나타났다는 보고와 일치한다.
유기물 및 질소 제거율 양돈슬러리의 액비화 과정에서 화학성 인자들의 제거율을 파악하기 위하여 액비화 반응기의 물질수지를 분석하였다. Table 2 와 3은 액비화 기간 중 폭기식 및 교반식 액비화 반응기에서 물질수지 분석을 통해 산출한 화학성 인자들의 물질량 변화를 나타내었다. 30일간의 폭기식 액비화조 운전에서 TS의 물질량 변화는 1,165 g에서 764 g으로 감소하여 TS 제거율은 34.5%로 나타났으며, VS의 물질량 변화는 809 g에서 539 g으로 감소하여 VS 제거율은 33.4%로 나타났다. 일반적인 액비화조의 설계인자인 BOD5의 경우, 1,018 g에서 294 g으로 감소하여 71.2%의 BOD5 제거율을 보였으며, 같은 기간 CODCr는 62.3%, TOC는 83.2%의 제거율을 나타냈다. 또한 TN의 경우 146 g에서 81 g으로 감소하여 44.6%의 제거율을 보였으며, NH4+-N은 125 g에서 44 g으로 감소하여 65.0%의 제거율을 나타내었다. 교반식 액비화조에서는 TS와 VS 제거율이 각각 0.9%, 0.5%로 나타났으며, CODCr, BOD5 및 TOC는 각각 27.5%, 28.9% 및 41.3%의 제거율을 보였다. 또한 TN과 NH4+-N은 각각 25.3%와 29.2%의 제거율을 나타내었다. Westerman et al. (2000)은 양돈슬러리의 호기성 정화처리 공정에서 BOD 88%, CODCr 75%, TN 61%, NH4+-N 94%을 제거하였다고 보고한 바 있다. 이러한 정화처리 공정에서의 유기물 및 질소 제거효율은 본 연구의 결과와 비교하여 더 높은 제거율을 나타내었다. 양돈슬러리의 정화처리와 액비화 공정은 기본적으로 호기성 미생물을 이용하는 생물반응조라는 점에서 동일한 운전원리를 가지고 있다. 그러나 정화처리 공정은 처리수의 방류를 목적으로 하고, 액비화 공정은 처리수의 액비 이용을 목적으로 한다는 점에서 큰 차이가 있다. 따라서 액비화 공정에서는 BOD5유입부하를 0.4~1.0 kg-BOD ․ m-3 ․ day-1로 설계하는 반면, 정화처리 공정에서는 최종 처리수의 방류수질을 맞추기 위하여 액비화 공정보다는 낮은 BOD5 유입부하 (0.5 kg-BOD ․ m-3 ․ day-1 이내)로 설계하고 있어 (MAFRA et al., 2009), 상대적으로 정화처리 공정에서의 유기물 및 질소의 제거효율이 높게 나타나는 경향이 있다. 국내에서 유기물 (CODCr, BOD 등)과 질소 (TN, NH4+-N)의 제거율은 양돈슬러리 정화처리 공정에서 방류수질기준의 충족도 측면에서 매우 중요한 운전 지표이나 액비화 공정에서는 최종 산물의 액비 이용 측면에서 유기물의 제거율보다는 액비의 품질기준과 부숙도가 더 중요한 운전 지표로 관리되고 있다. 그러나 액비의 품질기준은 액비 중에 포함하는 비료성분량과 유해물질의 양을 정하는 것이며, 액비의 부숙도는 색도와 악취물질에 기초하여 액비제품의 기계적 부숙도를 측정하는 것이며, 국내에서는 부숙액비의 생산과 관련하여 액비화 공정에서의 유기물 및 질소 제거율은 전혀 고려되고 있지 않다. 액비의 부숙도는 이분해성 유기물이 호기적으로 분해되고 생물학적 ․ 물리적 ․ 화학적으로 안정한 유기물인 부식 (Humus)으로 전환되는 정도로서 기본적으로 이분해성 유기물의 충분한 분해가 이루어져야 한다는 점에서 액비화 공정의 유기물 제거율과 관련성이 높다. 따라서 향후 액비의 품질관리를 위해서는 액비 제품이 아닌 액비 제조 과정에서의 유기물 및 질소 제거율과 관련한 액비화 연구가 추가로 요구된다. Fig. 3은 폭기식과 교반식 액비화 과정에서 나타나는 BOD5 분해와 관련한 미생물 화학 반응을 1차 반응속도식으로 해석한 것으로 폭기식의 경우 반응속도상수 (k)가 -0.039로 나타났으며, 교반식의 경우 반응속도상수 (k)가 -0.013으로 나타나 폭기식 액비화에서의 BOD5분해 속도가 약 3배 더 빠른 것으로 나타났다.

†Chemical oxygen demand.
‡Biological oxygen demand.
§Total organic carbon.
¶(Mass of removal/mass of input) × 100.

†Chemical oxygen demand.
‡Biological oxygen demand.
§Total organic carbon.
¶(Mass of removal/mass of input) × 100.
암모니아 휘발 양돈슬러리의 액비화 과정에서는 많은 양의 암모니아 (NH3)가 대기 중으로 휘발하는 특성이 있다. 양돈슬러리는 발생단계부터 약 4,000 mg ․ L-1 이상의 암모니아성 질소를 고농도로 포함하고 있으며 액비화 과정에서 유기물의 분해와 함께 생성되기도 한다. 이러한 양돈슬러리 중의 암모니아의 휘발 특성은 양돈슬러리의 pH에 의해 결정된다 (Kichmann and Witter, 1989). 암모니아 휘발 (NH4+ → NH3 + H+)은 암모니아 이온의 산해리 과정으로서 표준상태에서의 암모니아 이온의 산해리 상수 (pKa)는 9.245로 보고 (Harris, 2010)되고 있어, pH가 증가하는 경우 암모니아 휘발이 크게 증가하는 특성이 있다. 본 연구에서 양돈슬러리의 액비화 기간 중 암모니아성 질소의 손실량과 액비화 기간 중 pH 변동에 따른 암모니아 분획의 비율을 Table 4와 Fig. 4에 나타내었다. 암모니아성 질소 손실량은 30일간의 폭기식 액비화 과정에서 액비화 초기 3일간 39 g으로 급격히 증가하였다가 액비화 11일까지 44 g으로 완만한 증가를 보였으며, 14일부터 30일까지는 47 g에서 81 g까지 다시 급격한 증가를 나타내었다. 교반식 액비화 과정에서의 암모니아성 질소 손실량은 30일간의 액비화 과정에서 36 g으로 나타나, 폭기식 액비화 과정과 비교하여 낮은 질소 손실량을 보였으나 액비화 과정 중 질소 손실의 증가는 폭기식 액비화 과정과 유사한 경향을 나타내었다. 이때, 폭기식 액비화 과정에서의 총암모니아 이온 중 자유 암모니아가 차지하는 분획 (FAN/TAN)은 액비화 초기 0.3%에서 18일까지 32.5%까지 급격히 증가하였으며, 이후 30일까지는 27.6~31.5%의 범위를 나타내었다. 교반식 액비화 과정에서는 초기 폭기식 액비화 과정과 동일한 FAN/TAN 비율을 보였으나, 교반식 액비화 30일까지 약 4.0%까지 완만한 증가를 보였다. 또한 폭기식 액비화 과정에서의 질소 손실량은 교반식 액비화 과정에서의 질소 손실량과 비교하여 약 2.3배 증가한 반면, 폭기식 액비화 과정에서의 FAN/TAN 비율은 교반식 액비화 과정에서의 FAN/TAN 비율과 비교하여 약 7.9배의 높게 나타났다. 따라서 교반식 액비화 과정에서는 낮은 FAN/TAN 비율에도 불구하고 폭기식 액비화 과정과 비교할 때, 상대적은 높은 질소 손실율을 나타내었다. 일반적으로 밀폐형의 혐기성 소화조에서는 매우 낮은 질소 손실이 보고 (Russel and Richards, 1917; Glathe and Seidel, 1937) 되고 있으며, 유기물의 호기적 분해 과정은 질소 손실을 크게 증가시킨다 (Jansson and Clark, 1952). 혐기상태에서 낮은 질소 손실은 느린 유기물의 분해 속도와 산생성 단계 (Acidogenesis) 에서의 pH 감소 효과로 기인한다 (Acharya, 1935; Tenny and Waksman, 1930). 그러나 개방된 저장조에서는 가축분뇨의 저장 중에 약 20~40%의 질소 손실이 일어난다고 보고 (Kirchmann, 1985)되고 있다. 따라서 본 연구에서 교반식 액비화조에서의 암모니아성 질소 손실율 약 29.2%는 Kirchmann (1985)의 보고와 유사한 범위를 보였다.

†Total ammonium nitrogen (NH3-N+NH4+-N).
‡Free ammonia nitrogen (NH3-N).
§Ammonium nitrogen (NH4+-N).
본 연구에서는 암모니아성 질소의 휘발량을 측정하기 보다는 액비화 과정에서 손실되는 질소량을 대기로의 암모니아 휘발량으로 간주하였다. 그러나 암모니아성 질소는 호기적 처리 과정에서 질산화 (Nitrification)를 통해 질산 이온 (NO3- -N)으로 전환되며, 정확한 암모니아 휘발량을 분석하기 위해서는 액비화 과정에서의 질소 거동을 정밀히 분석할 필요가 있다. 그러나 일반적으로 폭기식 액비화 반응에서는 유기물의 산화 반응이 우선적으로 일어나 BOD의 충분한 분해가 일어난 이후 질산화 반응이 일어나는 특성이 있다. 본 연구에서 폭기식 액비화시 0.03 m3-air ․ min-1 ․ m-3기준의 송풍량은 양돈슬러리의 액비화시 유기물의 산화와 내생호흡에 소비되는 산소 요구량을 기준으로 산정한 것으로 암모니아성 질소의 질산화에 요구되는 산소량을 고려하고 있지 않다. 따라서 본 연구에서 액비화 기간 중 질산성 질소의 발생량은 미미할 것으로 판단되었다.
Conclusions
본 연구는 양돈슬러리의 액비화 과정에서 유기물의 분해 및 암모니아 휘발 특성을 파악하기 위하여 폭기식 및 교반식 액비화 반응기 30일간 운전하였으며, 물질수지 분석을 통해 유기물과 질소의 제거율을 정량적으로 분석하였다. 폭기식 액비화 반응기에서 pH는 액비화 초기 7.0에서 9.13으로 증가하였으며, TS 34.5%, VS 33.4%, BOD5 71.2%, CODCr 62.3%, TOC 83.2%의 제거율을 보였다. 또한 TN은 44.6%, NH4+-N은 65.0%의 제거율을 나타내었다. 교반식 액비화 반응기에서 pH는 7.0에서 8.10으로 증가하였으며, TS 0.9%, VS 0.5%, CODCr 27.5%, BOD5 28.9%, TOC 41.3%의 제거율을 보였고 TN과 NH4+-N은 각각 25.3%와 29.2%의 제거율을 나타내었다. BOD5 분해와 관련한 1차 반응속도 상수는 폭기식 액비화에서 -0.039 day-1 였으며, 교반식 액비화에서 -0.013 day-1을 나타냈다. 폭기식 액비화에서의 질소 손실량은 교반식 액비화와 비교하여 약 2.3배 증가한 반면, 폭기식 액비화에서의 FAN/TAN은 교반식 액비화와 비교하여 약 7.9배의 높게 나타났다. 따라서 교반식 액비화 과정에서는 낮은 FAN/TAN에도 불구하고 폭기식 액비화와 비교하여 상대적은 높은 질소 손실율을 나타내었다.






