Introduction
우리나라는 최근 급격한 산업발달과 경제성장이 이루어짐에 따라 다양환 환경문제에 직면하고 있다. 특히 과거에 금속 또는 석탄 광산으로 사용된 후 현재는 사용하지 않은 휴 ․ 폐광산에 의한 환경오염은 매우 심각한 수준이다 (Seo et al., 2005; Oh et al., 2011). 최근 국내 광산 지역 110개에 대해 토양과 수질에 대한 중금속 농도를 조사한 결과 약 95%인 105개의 광산에서 수질에 대한 중금속 기준을 초과한 것으로 나타났다 (Kim et al., 2016). 따라서 이에 따른 대책이 필요한 상황이며 보다 효율적인 관리방안 및 시스템 구축이 필요하다.
중금속 오염지역에 대한 정화 및 관리는 인체 건강뿐만 아니라 생태계의 건전성을 유지하는데 매우 중요하다. 특히, 토양 질 (Soil quality) 평가와 관리 시스템은 농산물의 안전성 및 생산성을 평가하는데 필요한 요소이다. 토양 질 평가는 토양의 물리 ․ 화학 ․ 생물학적 특성을 고려하여 토양의 종합적인 기능을 평가하는 방법으로 평가의 주요 인자는 토성, 토양 수분, 토양 유기물 함량 등 다양한 토양 특성을 이용 한다 (Kim et al., 2014). 하지만 현재 토양 질 평가방법에 대해 구체화된 평가 방법이 설정되어 있지 않아 이에 대한 종합적이 평가 방법 또한 필요한 실정이다.
토양 미생물은 토양의 비옥도를 증진시키며 토양 내 유기물의 활동과 영양분의 순환에 중요한 역할을 한다 (Kizikaya et al., 2004). 하지만 토양 내 높은 농도의 중금속은 미생물의 생리학적 기능과 활성을 떨어뜨리고 결과적으로 토양의 기능에 악영향을 미친다 (Leita et al., 1995; Renella et al., 2007; Jiang et al., 2010). 따라서 미생물 활동으로 인한 토양의 특성 변화와 토양 호흡량 등은 토양의 오염도를 평가하는 중요한 지표의 하나로서 사용할 수 있다 (Nwachukwu and Pulford, 2011).
토양 호흡은 토양 내 미생물 활성의 지표로 토양온도, 토양수분, 토양 내 질소와 유기물 함량 등의 인자에 영향을 받는 것으로 알려져 있다 (Lee et al., 2010). 토양 호흡 측정 방법으로는 측정원리에 따라 알칼리 흡습법, 밀폐상법, 밀폐상 역학법, 통기법과 같은 측정 방법이 있으며 국내 생태계에 적용된 측정 방법으로는 밀폐상 역학법이 가장 많이 사용되었다 (Lee et al., 2010; Lee et al., 2013). 이러한 토양호흡 분석 방법을 이용하여 유해 중금속의 농도에 따른 토양 미생물의 영향에 대한 연구는 진행되고 있으나 이를 이용한 중금속 오염 지표에 대한 연구는 미비한 실정이다 (Simona et al., 2004; Gulser and Erdogan, 2008).
따라서 본 연구는 중금속 오염 지역을 대상으로 중금속 오염 농도에 따른 토양의 미생물 호흡을 측정하여 토양 내 중금속 농도와 미생물 호흡량과의 상관관계를 통해 중금속 오염 토양의 평가 지표로서 미생물 호흡의 사용 가능성을 평가 하였다.
Materials and Methods
토양시료 채취 및 조사지역 선정 토양 시료 채취 장소는 공주 탄천광산 인근 갱구 주변 산림 토양과 충청남도 및 충청북도 지역 공단 인근 농경지를 선정하여 시료 채취를 하였다. 탄천광산의 경우 2006년 환경부에서 실시한 “폐광산 개황조사” 에서 광산 주변 인근 농경지의 중금속 농도가 As와 Pb이 각각 30.1 mg kg-1, 327.2 mg kg-1으로 As와 Pb 모두 토양 오염 우려기준인 As: 25 mg kg-1, Pb: 200 mg kg-1을 초과하는 수준으로 검출된 지역이었다. 산업단지 지역의 시료 채취 지역은 2010년부터 2013년까지 환경부와 농촌진흥청에서 실시한 중금속오염도 조사 지역 중 두 기관에서 중복하여 조사한 10개 산업단지를 선정하였다. 토양 시료는 토양시료 채취기 (Hand auger)를 사용하여 대상 지점의 유기물층 (O층)을 제거한 후 표토 (0~30 cm)를 채취하였으며 한 필지에서 5점 이상의 시료 채취 후 혼합하여 대표 시료로 사용하였다.
토양의 이화학적 특성 분석 이화학적 특성 분석을 위한 시료는 채취한 시료를 풍건한 후 2 mm 체로 체거름 하여 사용하였다. 토양 특성 중 토성 (Soil texture)분석은 Hydrometer법에 준하여 실험하였다. 토양의 pH와 전기전도도 (EC)는 1:5 H2O법을 이용하여 풍건토양 10 g에 증류수 50 mL을 가하여 1시간 진탕하고 Whatman No.2로 여과한 후 pH meter (MP220, METTLER TOLEDO)와 EC meter (Conductivity Meter S230, METTLER TOLEDO)를 이용하여 측정하였다. 양이온 치환 용량 (CEC)는 1M NH4OAc (pH7.0) 용액으로 침출 후 ICP-OES (Thermo, iCAP 7500 series, USA)를 이용하여 Ca, Mg, K, Na의 함량을 측정하였다. 유기물 함량은 Walkley & Black법에 준하여 1N K2Cr2O7을 가하여 반응시킨 후 UV/Vis Spectrophotometer (UV 240 Schimadzu, Japan)로 파장 610 nm에서 비색 정량하였다. 유효인산 함량은 Bray No.1 방법으로 660 nm에서 UV/Vis Spectrophotometer를 이용하여 비색 정량하였다.
토양의 생물학적 특성 분석 토양의 생물학적 특성인 토양호흡 (Soil respiration)은 토양호흡 측정 장치 Oxitop (Oxitop Control B6M, WTW, Germany)을 이용하여 측정하였다. 시료는 습토를 사용하여 수분함량과 유기물함량을 조사한 후 10 mm이내로 파쇄 하여 사용하였다. 파쇄 한 토양 150 g을 배양 용기에 넣은 후 30°C조건에서 1주일 간 배양하였다. 이후 Oxitop을 이용하여 토양 호흡 시 발생되는 용기 내 압력의 변화를 측정하였다. 측정한 수분함량 값을 Eq. 2에 대입 후 압력의 변화를 Eq. 1에 대입하여 토양 호흡량을 산출하였다.
SR = soil respiration [ in mg O2kgTS-1] (Eq. 1)
MR(O2) = molar mass of oxygen : 32000 mg mol-1
Vfr = free gas volume [in L]
R = general gas constant : 83,13L mbar mol-1 k-1
T = measuring temperature [in K]
mBt = mass of dry soil substance in the measuring preparation
△p = reduction in pressure of the measuring preparation [in bar]
(Eq. 2)
mBt = mass of dry soil substance [in kg]
mBf = mass of moist soil substance [in kg]
TS = dry soil substance content [in %]
100% = correction term
중금속 함량 분석 토양 시료 내 중금속 함량은 토양오염 공정분석 (Ministry of Environment, Republic of Korea, 2009)에 준하여 중금속 전 함량 분석법인 왕수분해 (Aqua regia)로 실시하였다. 분석항목은 As, Cd, Cu, Pb, Zn을 대상으로 실시하였으며, 분석기기는 ICP-OES (Thermo, iCAP 7500 series, USA)를 이용하여 측정하였다. 풍건한 토양시료는 0.15 mm로 체거름 한 후 사용하였으며 토양시료 3 g에 추출용액 (HCl 21 mL와 HNO3 7 mL)을 넣은 후 2시간 정치하였다. 정치된 시료는 흑연 가열 판 (Block Heating Sample Preparation System, Ctrl-M Science)을 이용하여 105°C에서 2시간동안 가열하여 분해하였다. 분해된 시료는 Whatman No 2. 여과지를 이용하여 여과한 후 0.5 N HNO3로 100 mL 정량을 하였고 이를 5배 희석한 뒤에 기기 분석을 실시하였다.
정도관리 (Quality Assurance/Quality Control) 중금속 분석에 대한 정도관리 (QA/QC)를 위해 표준물질 (BAM- U112a, BAM, Germany)을 이용하였으며 각 원소별 회수율에 대한 검증을 실시하였다. 표준물질을 5회에 걸쳐서 각각 3반복의 실험을 한 후, 평균값을 산출하여 CRM (Certified Reference Material)값과 비교하였으며 흑연 가열 판을 이용하여 시료를 분석할 때에 CRM, Blank, 표준용액을 각각 배치하여 실험하였으며 이를 이용하여 정도관리를 실시하였다.
통계분석 각 시료채취 지점에 대한 시료 분석은 3반복을 실시하였으며 평균값과 표준편차 값을 제시하였다. 광산 인근 토양과 산업단지 인근 토양의 이화학적 특성, 중금속 함량, 및 토양 호흡을 비교하기 위해 box plot을 이용하여 제시하였으며 토양 내 각 중금속 원소의 함량과 토양 호흡량과의 상관관계 및 토양의 화학적 특성과 토양 호흡량과의 상관관계를 r2값을 산출하여 나타내었다. 모든 통계 분석은 SPSS를 이용하여 산출하였다.
Results and Discussion
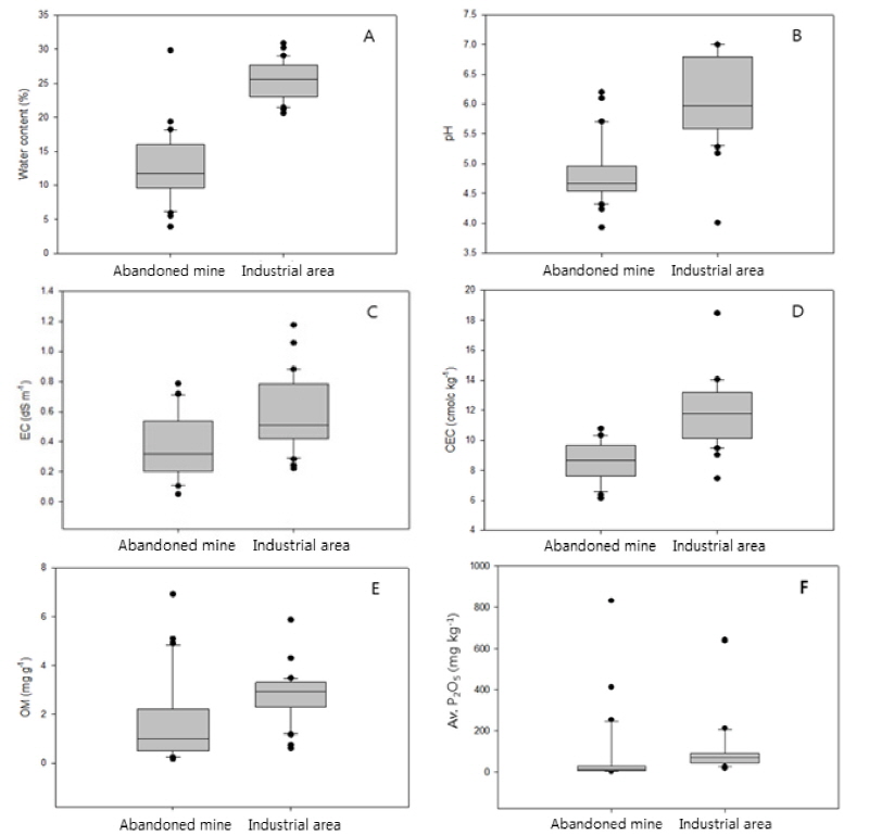
이화학적 특성 실험 토양의 토성의 경우 전체 토양 60점 중 Loam 36%, Sandy Loam 33%, Clay Loam 16%, Sandy Clay Loam 6%, Silty Clay 3%, Clay 3% 의 분포를 보였다. 광산인근 산림 토양과 산업단지 인근 농경지 토양의 이화학적 특성에 대한 box plot은 Fig. 1에 나타내었다. 공주 광산의 평균 이화학적 특성은 수분함량: 12.56%, pH: 4.82, EC: 0.36 dS m-1, CEC: 8.58 cmolc kg-1, 유기물 (OM) 함량: 1.63 mg g-1, 유효인산 (Available P2O5): 68.5 mg kg-1 이였으며 산업단지의 이화학적 특성의 평균값은 수분함량: 25.28%, pH: 6.06, EC: 0.59 dS m-1, CEC: 11.70 cmolc kg-1, 유기물 (OM): 2.76 mg g-1, 유효인산 (Available P2O5): 110.5 mg kg-1 이었다. 토양 pH의 경우 산업단지 인근 농경지 토양이 광산 인근 지역의 토양에 비해 1.24 unit 정도 높았으며, EC의 경우 약 60% 정도 높게 조사되었다. 또한, 유기물과 유효인산 함량의 경우에도 산업단지가 광산 인근 지역 토양에 비해 각각 59%, 68% 정도 높게 조사되었다. 광산 인근 지역의 토양은 산림토양이며 산업 단지 인근 토양은 농경지 토양인 것을 고려하면 토양 EC, 유기물함량, 및 유효인산의 함량이 산림토양에 비해 농경지 토양이 높음을 알 수 있었으며 국내 일반농경지 이화학적 특성의 적정범위인 논: pH 5.5~6.5, EC 2.0 dS m-1 미만, 유기물 함량 2.5~3 mg g-1, 유효인산 80~120 mg kg-1수준이며, 밭: pH 6.0~6.5, EC 2.0 dS m-1 미만, 유기물 함량 2~3 mg g-1, 유효인산 300~500 mg kg-1을 고려할 경우 농경지 토양의 이화학적 특성은 적정 범위 수준인 것으로 조사되었다 (National Institute of Agricultural Science, 2016).
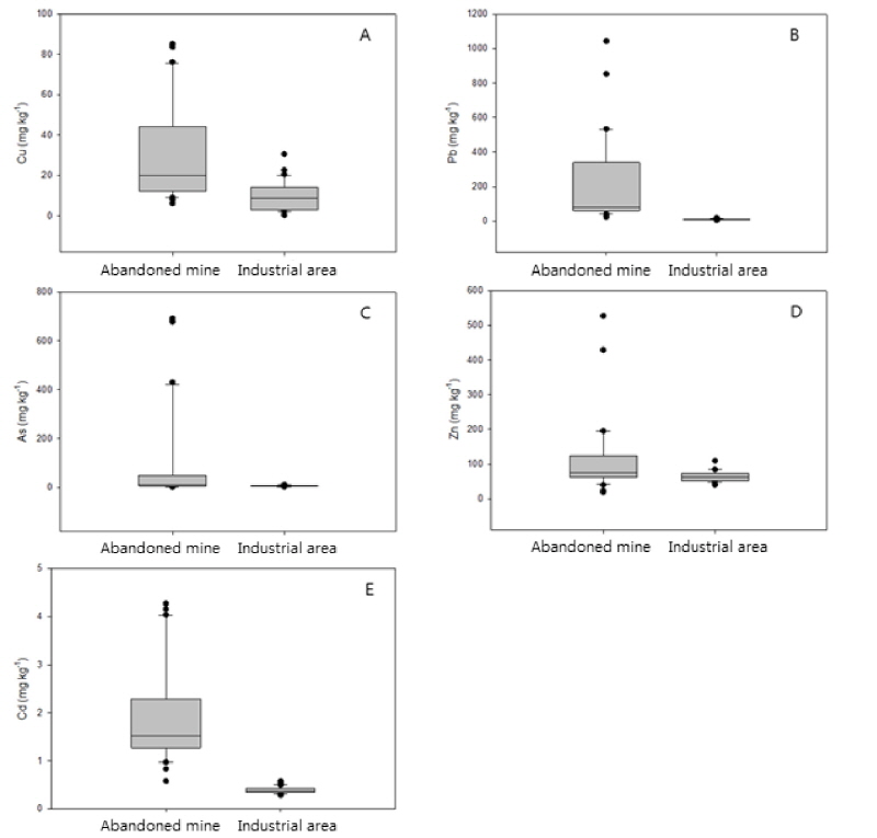
광산지역과 산업단지 인근 농경지의 중금속 함량 토양 분석시료의 결과에 대한 신뢰도를 얻기 위해 표준물질 (BAM-U112a)을 사용하여 회수율 검증을 실시한 결과 분석 대상 5종의 중금속에 대한 평균 회수율은 95.47~102.84% 범위로 조사되었다 (Table 1). 공주 광산 인근지역 30지점과 충청지역 산업단지 인근 농경지 30지점의 중금속 함량 분석 결과 광산 지역의 경우 Cu: 6.2~85.2 mg kg-1, Pb: 23.8~1,044.7 mg kg-1, As: 1.88~691.44 mg kg-1, Zn: 18.7~527.5 mg kg-1, Cd: 0.5~4.2 mg kg-1의 농도 범위를 나타냈으며 산업단지 인근 농경지의 경우 Cu: 0.3~30.6 mg kg-1, Pb: 4.4~19.8 mg kg-1, As: 2.23~11.76 mg kg-1, Zn 39.9~109.6 mg kg-1, Cd 0.3~0.5 mg kg-1 의 중금속 함량을 나타내었다 (Fig. 2). 공주 광산 인근 토양 내 중금속 함량은 산업단지 인근 농경지 토양 내 중금속 함량보다 높은 수준을 나타내었으며, 모든 원소에 대해 As: 16.3배, Cd: 5배 Cu: 3.2배, Pb: 20.5배 그리고 Zn: 1.8배 정도 높은 중금속 함량을 나타냈다. 국내 다른 휴 ․ 폐광산인 봉산 광산의 경우 인근지역의 토양 내 중금속 평균 함량이 As 3.8 mg kg-1, Cd 4.4 mg kg-1, Cu 25.7 mg kg-1, Pb 36 mg kg-1, Zn 116.6 mg kg-1 으로 조사되었으며, 대정 광산의 경우 As 5.3 mg kg-1, Cd 3.3 mg kg-1, Cu 31 mg kg-1, Pb 31.2 mg kg-1, Zn 55.7 mg kg-1으로 조사되었다(Kim et al., 2015). 전체적으로 공주 광산의 중금속 함량이 봉산 광산과 대정 광산의 중금속 함량 보다 높은 농도를 나타내었으며, 공주 광산의 경우, Cu를 제외한 나머지 원소들 모두 토양오염 우려기준을 초과하는 농도를 나타내었다.
광산지역과 산업단지 인근 농경지의 토양호흡량 비교 공주 광산 인근에서 채취한 30지점의 시료와 충청지역 10개의 산업단지에서 채취한 30개의 토양 시료에 대해 토양호흡량 (SR)을 산출한 결과는 Fig. 3에 정리하였다. 공주 광산의 경우 토양 호흡량의 범위는 8.8~218 mg O2 kg-1 평균 57.3 mg O2 kg-1, 산업단지 인근 농경지 토양의 경우는 20.1~240.7 mg O2 kg-1 평균 96.5 mg O2 kg-1으로 공주 광산의 경우가 전체적으로 낮은 토양 호흡량 나타냈다. Fig. 3은 중금속 오염지역과 일반 농경지의 호흡량을 나타낸 그래프이며 토양의 화학적 특성과 토양 호흡량의 상관관계 분석은 Table 2에 나타내었다. 공주 광산의 경우 EC, 유기물 함량, CEC에 대해 토양 호흡량이 양의 상관관계를 나타내었으며 pH에 대해서는 음의 상관관계를 보였다. 산업단지 인근 농경지 토양의 경우는 공주 광산과 마찬가지로 EC, 유기물 함량, CEC에 대해 양의 상관관계를 나타내었다. Fig. 4~8은 각원소별 중금속 함량에 따른 토양 호흡량을 비교분석을 나타낸 그래프이다. 중금속 함량이 검출치 이상 나온 경우 중금속 농도에 반비례하게 호흡량이 나타났으며, 산업단지의 경우 중금속 함량이 낮아 대체적으로 토양 호흡에 영향을 주지 않은 것으로 사료된다. 이는 Kim et al. (2015)의 연구에서 중금속 원소 중 토양 생물유효태 Cd, Pb 함량과 토양호흡간의 상관관계 분석 결과 음의 상관관계를 나타내며 이는 본 연구 결과와 유사한 결과를 보인다. 이 결과를 바탕으로 선행연구에 의한 토양 내 유효중금속 함량에 따라 토양호흡이 민감하게 변화하여 오염도를 평가하는 인자로 활용될 수 있다고 사료 된다 (Nwachukwu and Pulford, 2011).
Conclusions
최근 휴 ․ 폐광산에서 유출되는 광산 폐기물 및 갱내수 유출로 인한 환경오염이 심각한 문제이다. 중금속 오염지역에 대한 토양 질 평가 및 관리 체계는 농산물의 안전성 측면에서 매우 중요하다. 따라서 토양 특성 자료의 생산과 수집, 지표 설정을 위한 연구가 필요하다고 사료되어 공주 광산 주변과 충남북 일반 농경지의 중금속 함량과 토양 호흡량을 측정하였다. 중금속 농도와 토양 호흡량을 비교해 본 결과 공주 광산은 Cu를 제외한 4원소 모두 우리나라 농경지 우려기준 Cu (150 mg kg-1), Pb (200 mg kg-1), As (25 mg kg-1), Zn (300 mg kg-1), Cd (4 mg kg-1)을 초과한 Pb 23~1044 mg kg-1, As 1~691 mg kg-1, Zn 18~527 mg kg-1, Cd 0.58~4 mg kg-1값이 검출되었으며 Cu 또한 우려기준의 50%가 넘는 Cu 6~85 mg kg-1 값이 나타났다. 토양 호흡량은 8.76~218.04 mg O2 kg-1,평균 57.27 mg O2 kg-1값이 나타났으며 중금속 농도에 반비례하게 측정되었다. 일반 농경지의 경우 중금속 농도는 Cu 0.29~30 mg kg-1, Pb 4~19 mg kg-1, As 2~11 mg kg-1, Zn 39~109 mg kg-1, Cd 0.29~0.57 mg kg-1 값으로 우려 기준치를 초과한 값은 검출되지 않았다. 호흡량은 20.13~240.69 mg O2 kg-1,평균 96.5 mg O2 kg-1 으로 중금속 오염지역보다 전체적으로 높은 호흡량을 나타냈으며 중금속 함량이 낮아 대체적으로 토양 호흡에 영향을 주지 않는 것으로 분석된다. 본 연구 결과, 중금속 함량이 높을수록 낮은 토양 호흡량이 나타났으므로 토양 미생물 활성 지표인 토양 호흡은 토양 내 중금속이 토양의 안전성에 미칠 수 있는 영향을 평가하는 지표가 될 수 있을 것으로 사료된다.












