Effect of phyllite application as a soil amendment on soil chemical properties and crop growth
© 2026 The Korean Society of Soil Science and Fertilizer
ABSTRACT
Clay minerals can be used as soil amendment to improve the physicochemical properties and increase the surface area and nutrient retention capacity of agricultural soil, thereby enhancing crop productivity. Clay minerals vary in surface area, particle size, and inorganic content depending on their type. This study was conducted to investigate the correlation of changes in soil chemical properties, crop growth, and nutrient uptake with the amount of clay mineral phyllite applied. For this, a greenhouse pot experiment, using lettuce and Kimchi cabbage as the target crops, was performed. The treatment groups were P0 (control, not treated with phyllite) and P10, P20, P30, and P40 (treated with 10, 20, 30, and 40 Mg ha-1 of phyllite). All the groups were treated with N-P2O5-K2O corresponding to the standard fertilizer amount for each crop. Post-harvest soil analyses indicated that soil pH in the P10, P20, P30, and P40 treatments increased by 1.8%, 8.0%, 10.5%, and 14.1% respectively, relative to the untreated control. Exchangeable Ca increased by 11.4%, 11.4%, 24.5%, and 43.1%, respectively, and cation exchange capacity (CEC) showed corresponding increases of 6.2%, 1.0%, 2.2%, and 16.4% under the same treatments. Fresh weight of lettuce and Kimchi cabbage was 25.6 - 85.3 g plant-1 and 112.6 - 162.7 g plant-1, respectively, and leaf length was 13.8 - 20.3 cm plant-1, and 24.4 - 31.8 cm plant-1, respectively. Crop growth consistently increased with increasing phyllite application, and the 20 Mg ha-1 treatment produced a statistically significant response. Regardless of the crop, nutrient uptake increased as the amount of phyllite treatment increased, and T-N, T-P, and K2O uptake increased in the ranges of 0.56 - 125%, 13.4 - 182%, and 18.4 - 333%, respectively, compared to P0. Hence, phyllite, a clay mineral, is an effective organic material for agricultural land that can increase crop nutrient absorption and improve the physicochemical properties of soil.

Fresh weight and post-harvest images of lettuce and Kimchi cabbage.
Introduction
Materials and Methods
공시재료
재배관리 및 처리조건
토양 및 식물체 분석
통계 분석
Results and Discussion
토양 화학적 특성 변화
작물의 생육 효과
무기성분 함량 및 양분 흡수량
Conclusions
Introduction
국내 농경지 토양은 대부분 모재가 화강암과 화강편마암에 해당하며, 산성암이 풍화되어 생성된 토양으로써 점토 함량이 낮은 사질 토양이 주로 분포하고 있다. 낮은 점토함량으로 인하여 토양의 비표면적이 작고, 염기 및 교환성 양이온의 함량이 낮은 특성을 보이기 때문에 토양 환경을 개선하여 작물 생산성을 증가시키기 위한 토양개량에 대한 관심이 높다 (Kim et al., 2010; Lee et al., 2012a). 토양개량제로는 석회질 비료, 규산질 비료, 바이오차, 무기성 광물 등이 이용될 수 있으며, 토양 pH 개선 및 중금속 안정화 등의 목적으로 석회질 비료나 바이오차를 활용한 토양개량이 많이 이루어지고 있는 실정이다 (Kwon et al., 2022; Han et al., 2024; Uchimiya et al., 2010).
토양개량제 중 무기성 광물은 높은 비표면적과 전하밀도를 가지는 판상구조로 인해 토양의 함수율 및 투수율을 조절하여 이에 따라 토양 내 양분 및 수분 보유력 증진 효과를 기대할 수 있다 (Kim et al., 2021; Zhang et al., 2006). 이러한 무기성 광물 기반 토양개량제는 1차 조암광물의 풍화산물인 zeolite, smectite, vermiculite, kaolinite, illite 등의 점토광물이 주로 이용된다 (Kim et al., 1999). 현재 점토광물의 농업적 활용에 대해서는 illite와 zeolite를 활용한 연구가 많이 수행되었으며, 비료 및 상토의 원료화에 대한 연구도 다수 보고된 바 있다 (Lee et al., 2012b; Roshanravan et al., 2015; Rudmin et al., 2010). Szatanik-Kloc et al. (2019)의 zeolite 처리에 따른 귀리의 생산성 연구 결과에서도, 점토광물 단독 처리만으로도 작물의 생산성이 증가하였으며, 이를 통해 점토광물이 토양개량 및 양분 공급을 위한 잠재적 자원으로 활용될 수 있을 것으로 보여진다.
천매암 (phyllite)은 모재가 슬레이트 (slate)인 판상형의 엽리상 변성암이며, 전 세계적으로 널리 분포한다 (Garzón et al., 2016). 천매암은 운모 (mica)와 녹니석 (chlorite)과 같은 층상 규산염의 점토광물이 주성분이며, 퇴적 과정을 통해 형성하면서 다양한 양분을 축적하고 양이온 함량이 높기 때문에 농경지 토양개량제로 활용 시 작물 생육 증진에 효과를 기대할 수 있을 것으로 판단된다 (Garzón et al., 2020; Galina et al., 2025). 최근에 이산화탄소 제거 기술 (carbon dioxide removal, CDR) 중 하나인 광물의 풍화촉진 (enhanced weathering, EW)에 대한 관심이 증가하고 있으며, 농경지에 광물을 시용을 하는 것은 토양개량뿐만 아니라 탄소 격리 측면에서도 환경적 가치가 높을 것으로 평가되고 있다 (Skov et al., 2024; Almaraz et al., 2025; Beerling et al., 2025). 본 연구는 천매암의 시용량에 따른 농경지 토양개량 및 비료학적 효과를 확인하기 위해 작물 생산성 및 토양의 화학성 변화를 조사하였다.
Materials and Methods
공시재료
천매암 처리에 따른 배추 및 상추의 생육 특성과 토양 화학적 특성 변화를 조사하기 위하여 포트실험을 수행하였다. 실험에 사용된 천매암은 토양개량용 천매암 생산업체인 부농에서 공급받았으며, 천매암의 화학적 특성은 Table 1에서 보는 바와 같다. 천매암의 pH는 8.12로 알칼리성을 나타내었으며, 칼슘 (Ca), 마그네슘 (Mg) 함량이 각각 16.6 cmolc kg-1 및 9.26 cmolc kg-1으로 농경지 토양에 비해 높은 함량을 보유하였다. 사용한 공시토양은 전라남도 순천시 서면에 위치한 순천대학교 부속농장 전작 재배지에서 채취하였으며, 실트질 양토 (silty loam)의 특성을 나타내었다. 토양화학적 특성을 조사한 결과, 유기물 (organic matter, OM)함량은 대상 작물인 배추 및 상추 재배에 적정한 수준이었으나 pH, 유효인산 및 칼슘 함량은 다소 낮은 경향을 보였다.
Table 1.
Chemical properties of phyllite and soil used in the experiment.
|
Parameters
|
Soil used
|
Phyllite
|
|
pH (H2O, 1:5)
|
5.76 ± 0.00
|
8.12 ± 0.07
|
|
Electrical conductivity (dS m-1)
|
0.38 ± 0.12
|
2.00 ± 0.01
|
|
OM (g kg-1)
|
28.2 ± 1.71
|
72.7 ± 4.02
|
|
Total N (g kg-1)
|
1.79 ± 0.04
|
1.78 ± 0.39
|
|
Available P2O5 (mg kg-1)
|
93.0 ± 1.16
|
35.6 ±1.27
|
|
Exchangeable cations (cmolc kg-1)
| | |
|
Ca2+ |
2.96 ± 0.07
|
16.6 ± 0.40
|
|
Mg2+ |
1.06 ± 0.03
|
9.26 ± 0.24
|
|
K+ |
0.81 ± 0.01
|
0.33 ± 0.00
|
|
Na+ |
0.05 ±0.00
|
0.92 ± 0.02
|
재배관리 및 처리조건
재배시험의 대상 작물로는 상추와 배추를 선정하였다. 공시작물인 상추는 2024년 9월 23일에 포트당 1주를 정식하였으며, 10월 31일 수확하여 총 39일간 재배하였다. 배추는 2024년 9월 23일에 정식하여 11월 7일 수확하였으며, 총 46일간 재배를 수행하였다. 포트실험은 와그너포트 (1 5,000a-1)에 배수를 위한 자갈 1 kg과 2 mm 체에 통과시켜 균질화한 토양 2 kg을 순서대로 충진하였다. 재배는 순천대학교 유리온실에서 수행되었으며, 20°C ± 3°C 온도조건에서 1 - 2일 간격으로 모든 처리구에 동일한 양의 물을 관수하였다. 처리조건은 천매암을 처리하지 않은 대조구 (P0)와 천매암을 10 Mg ha-1 (P10), 20 Mg ha-1 (P20), 30 Mg ha-1 (P30) 및 40 Mg ha-1 (P40)을 처리한 처리구로 구성하였다. 모든 처리구에는 농촌진흥청에서 고시한 작물별 비료사용처방 (NAS, 2019)에 준하여 시비하였으며, 질소 (N) - 인산 (P2O5) - 가리 (K2O)를 대상작물인 상추와 배추의 표준시비량에 해당하는 양인 20.0 - 5.9 - 12.8 kg 10a-1과 32.0 - 7.8 - 19.8 kg 10a-1을 각각 나누어 처리하였다. 처리구는 3반복으로 구성하였으며, 완전임의배치법 (randomized complete design)으로 실험을 수행하였다. 상추 및 배추의 생육 특성은 수확 후 지상부와 지하부의 생체중, 건물중, 엽장 및 엽수를 조사하였으며, 작물의 무기성분 및 양분 흡수량을 조사하였다. 또한 토양의 화학적 특성으로 pH, EC, TN, 및 OM 등을 조사하였다.
토양 및 식물체 분석
토양 및 식물체의 화학적 특성은 농촌진흥청의 토양 및 식물체 분석법 (NIAST, 2000)에 준하여 분석을 진행하였다. 토양의 pH 및 전기전도도 (electrical conductivity, EC)는 pH meter와 EC meter (S230, Mettler Toledo, Zurich, Swizerland)를 사용하였으며, 유효인산 (available P2O5)은 Lancaster법으로 토양용액을 추출 후 분광광도계 (Ubi-490, MicroDigital Co., Ltd., Seongnam, Korea)를 통해 측정하였다. 유기물과 총질소 (total nitrogen, TN)는 각각 Tyurin법과 Kjeldahl법을 통해 분석하였으며, 치환성 양이온은 1N NH4OAc 용액으로 침출하여 ICP-OES (ICPE-9000, Shimadzu, Kyoto, Japan)를 통해 분석하였다 (Kim et al., 2025).
식물체의 무기성분 함량은 지상부와 지하부를 나누어 70°C에서 건조 후 분쇄하였으며, 분쇄된 시료를 습식분해법 (H2SO4 + HClO4)으로 전처리하였다. 전처리된 시료는 Kjeldahl법과 Vanadate법 (Ubi-490, MicroDigital Co., Ltd., Seongnam, Korea)을 통해 총질소 (TN) 및 총인 (total phosphorus, TP)를 측정하였으며, ICP-OES (ICPE-9000, Shimadzu, Kyoto, Japan)를 이용하여 K2O를 분석하였다 (Park et al., 2021).
통계 분석
천매암의 수준별 처리에 따른 토양 화학성, 작물 생육 및 양분 흡수량에 대한 통계 분석은 SPSS 27 (IBM Corp., New York, USA)을 이용하였으며, 통계적 유의성 검정은 p < 0.05 수준에서 Duncan’s multiple range test (DMRT)를 수행하였다.
Results and Discussion
토양 화학적 특성 변화
천매암 처리에 따른 토양의 화학적 특성은 Table 2에서 보는 바와 같다. 토양의 pH는 상추와 배추에서 각각 4.78 - 5.13 및 4.75 - 5.42 범위를 나타내었으며, 천매암 처리량이 증가할수록 토양 pH가 증가하였다. 특히, 천매암 투입량이 20 Mg ha-1 증가할 때 수확 후 토양 pH에서 통계적으로 유의한 차이가 나타났다. 토양개량제에 관한 일부 연구에 따르면, 토양 pH의 증가는 일반적으로 토양개량제가 가지는 높은 pH의 영향에 기인하는 것으로 보고된 바 있으며, 본 연구에서도 천매암의 높은 pH에 의해 수확 후 토양 pH가 증가한 것으로 판단된다 (Yun et al., 2023; Lee et al., 2005; Zhang et al., 2023). 수확 후 상추 및 배추 재배 토양의 유기물 함량은 20.5 - 31.0 g kg-1 범위로 조사되었으며, 천매암 처리에 따른 유의한 차이를 보이지 않았다. Zhang et al. (2010)의 연구에 따르면 토양 내 점토가 부식물질을 흡착하여 부식-점토복합체를 형성함으로써 유리상태 부식보다 유기물 분해속도를 감소시켜 유기물이 증가할 수 있으나 점토광물 종류 및 유기물 수준에 따라 결과가 달라질 수 있다고 하였다. 천매암 처리로 인한 점토의 증가는 토양 유기물 변화에 많은 영향을 주지 않는 것으로 보여진다. 총 질소 함량은 작물 종류에 상관없이 1.67 - 1.86 g kg-1 범위로 조사되었으며, 천매암을 30 Mg ha-1 이상 처리하였을 때 토양 내 질소 함량이 감소하였다. Dimple et al. (2020)의 질소시비량에 따른 조의 생산성 및 흡수량에 관한 연구에서 작물의 질소 흡수량이 증가할수록 수확 후 토양 내 질소 함량이 감소할 수 있다고 보고하였다. 본 연구에서도 30 Mg ha-1 이상 처리구에서 작물의 질소 흡수량 증가에 따라 수확 후 토양의 질소 함량이 감소한 것으로 판단된다. 수확 후 토양의 칼슘, 마그네슘 및 양이온교환용량 (cation exchange capacity, CEC)은 각각 3.14 - 4.48 cmolc kg-1, 1.16 - 1.90 cmolc kg-1 및 9.9 - 11.5 cmolc kg-1 범위로 조사되었으며, 천매암 처리량이 증가할수록 양이온이 증가하는 경향을 보였다. Rodrigues et al. (2024)은 현무암 암석분말의 처리량 증가에 따라 교환성 Ca와 Mg이 증가하고, 이에 따라 CEC 또한 유의하게 증가한다고 보고하였다. 본 연구에서도 이와 유사하게 천매암의 높은 교환성 Ca 함량이 CEC 증가에 기여한 것으로 판단된다. 또한 Saidian et al. (2016) 은 CEC가 점토의 종류와 함량의 영향을 크게 받으며, 이는 점토광물에 의한 토양 입자 표면적 증가에 기인한다고 하였다. 본 연구에서도 천매암 처리로 인한 점토 함량 증가와 그에 따른 토양 표면적 증가로 CEC가 증가하였다고 판단된다.
Table 2.
Chemical properties of soil after cultivations.
|
Crop
|
Input amount
(Mg ha-1)
|
pH
(1:5)
|
EC
(dS m-1)
|
OM
(g kg-1)
|
T-N
(g kg-1)
|
Av. P2O5
(mg kg-1)
|
Exch. cations (cmolc kg-1)
|
|
Ca
|
K
|
Mg
|
CEC
|
|
Lettuce
|
0
|
4.78 c1 |
0.61 b
|
25.6 a
|
1.86 a
|
98.6 c
|
3.14 d
|
0.92 a
|
1.16 d
|
10.4 b
|
|
10
|
4.81 bc
|
0.76 a
|
31.0 a
|
1.86 a
|
124.5 a
|
3.50 c
|
1.08 a
|
1.31 c
|
10.3 b
|
|
20
|
4.95 b
|
0.70 ab
|
28.2 a
|
1.88 a
|
103.2 bc
|
3.50 c
|
0.86 a
|
1.30 c
|
10.4 b
|
|
30
|
5.12 a
|
0.33 d
|
26.0 a
|
1.67 c
|
103.9 bc
|
3.91 b
|
0.68 b
|
1.48 b
|
10.6 ab
|
|
40
|
5.13 a
|
0.56 c
|
20.5 a
|
1.76 b
|
116.3 ab
|
4.42 a
|
0.65 b
|
1.77 a
|
11.2 a
|
Kimchi
cabbage
|
0
|
4.75 c
|
0.50 c
|
27.8 a
|
1.86 a
|
86.9 c
|
3.13 e
|
0.40 c
|
1.28 d
|
9.9 c
|
|
10
|
4.84 c
|
0.72 b
|
28.3 a
|
1.86 a
|
110.0 a
|
3.37 c
|
0.84 a
|
1.35 c
|
10.5 b
|
|
20
|
5.13 b
|
0.73 b
|
26.7 a
|
1.87 a
|
95.8 bc
|
3.26 d
|
0.47 b
|
1.32 cd
|
10.0 bc
|
|
30
|
5.25 b
|
0.77 b
|
26.0 a
|
1.70 b
|
100.1 b
|
3.60 b
|
0.46 b
|
1.47 b
|
10.1 bc
|
|
40
|
5.42 a
|
0.97 a
|
23.6 b
|
1.76 b
|
90.8 bc
|
4.48 a
|
0.46 b
|
1.90 a
|
11.5 a
|
작물의 생육 효과
천매암 수준별 처리에 따른 작물 생육 특성은 Table 3과 같다. 상추의 지상부와 지하부의 생체중은 각각 25.6 - 85.3 g plant-1 및 2.61 - 5.85 g plant-1 범위로 조사되었으며, 천매암 처리량이 증가할수록 상추 생체중은 증가하는 경향을 보였다. 특히, P30에서 지상부와 지하부의 생체중은 P20에 비해 각각 129% 및 73% 증가하였다. 배추의 지상부 및 지하부의 생체중은 각각 112.6 - 162.7 g plant-1 및 2.57 - 3.48 g plant-1 범위로 조사되었다. 배추의 생체중 또한 상추와 유사하게 천매암 처리량이 증가할수록 생체중이 증가하였으며, 천매암을 20 Mg ha-1 이상 처리하였을 때, 37 - 44% 증가하였다. 배추 지하부의 생체중은 11 - 51% 범위로 증가하였으나, 통계적으로 유의한 차이는 나타나지 않았다. Park et al. (2009)은 천매암이 다공성 구조를 가지고 있어 수분보유력이 높기 때문에 작물 생육에 유리하다고 보고하였다. 또한 Kim et al. (2016)의 연구에서도 천매암 처리에 따라 작물의 중량 증가가 수분보유력 향상에 기인하는 것으로 나타났으며, 본 연구와 일치하였다. 상추의 엽장과 엽수는 각각 16.7 - 20.3 cm plant-1 및 11.5 - 16.5 ea plant-1 범위로 조사되었으며, 배추의 엽장과 엽수는 24.4 - 31.8 cm plant-1 및 25.5 - 32.0 ea plant-1 범위로 조사되었다. 상추와 배추 엽장과 엽수는 천매암 수준이 증가할수록 증가하는 경향을 보였으며, P30 처리구에서 엽장과 엽폭이 최대값을 나타내었다. Lee et al. (2015)은 상추 및 배추 재배에서 토양 수분 스트레스가 잎의 신장을 억제하고 잎의 팽압과 삼투압을 저하시켜 엽면적과 엽수가 감소한다고 보고하였다. 본 연구에서도 천매암의 높은 수분보유력이 작물의 수분 스트레스를 완화시켜 생체중, 엽장, 엽수 증가에 긍정적인 영향을 미친 것으로 판단된다.
Table 3.
Growth characteristics of lettuce under phyllite application levels.
|
Crop
|
Input amount
(Mg ha-1)
|
Fresh weight (g plant-1)
|
Dry weight (g plant-1)
|
Leaf length
|
Leaf number
|
|
Leaf
|
Root
|
Leaf
|
Root
|
(cm plant-1)
|
(ea plant-1)
|
|
Lettuce
|
0
|
25.6 b1 |
2.61 b
|
1.48 b
|
0.20 bc
|
13.8 c
|
12.7 bc
|
|
10
|
33.8 b
|
3.63 b
|
1.73 b
|
0.20 bc
|
16.7 b
|
11.5 c
|
|
20
|
33.4 b
|
3.37 b
|
1.88 b
|
0.17 c
|
16.8 b
|
12.0 c
|
|
30
|
76.5 a
|
5.85 a
|
4.32 a
|
0.36 a
|
20.3 a
|
15.0 ab
|
|
40
|
85.3 a
|
5.52 a
|
4.34 a
|
0.31 ab
|
19.0 a
|
16.5 a
|
Kimchi
cabbage
|
0
|
126.2 b
|
3.39 a
|
9.46 b
|
0.46 a
|
31.8 a
|
26.0 a
|
|
10
|
112.6 b
|
2.64 a
|
7.67 b
|
0.31 a
|
24.4 c
|
25.5 a
|
|
20
|
154.0 a
|
2.57 a
|
10.4 a
|
0.38 a
|
27.8 bc
|
28.0 a
|
|
30
|
154.8 a
|
3.36 a
|
11.8 a
|
0.43 a
|
31.8 a
|
32.0 a
|
|
40
|
162.7 a
|
3.48 a
|
12.8 a
|
0.40 a
|
29.5 ab
|
29.0 a
|
무기성분 함량 및 양분 흡수량
천매암의 처리량별 상추와 배추의 무기성분 함량은 Table 4에 나타내었다. 상추 지상부의 TN 함량은 P0 처리구에서 3.26%이었으며, 천매암 처리량이 증가할수록 TN 함량은 감소하였다. Gitari and Mudzielwana (2018)의 연구에 따르면 작물의 생체중 및 크기가 증가함에 따라 작물의 무기성분 함량이 감소하는 경향을 보인다고 하였으며, 본 연구의 배추 지상부 TN 결과 또한 이와 유사한 경향을 나타냈다. 상추 지상부 및 지하부의 TP 함량은 각각 0.03% 및 0.01 - 0.07% 범위로 조사되었으며, 배추 지상부와 지하부의 TP 함량은 각각 0.03% 및 0.14 - 0.38% 범위로 조사되었다. 상추와 배추 모두 처리 간 TP 함량에서 통계적으로 유의한 차이는 나타나지 않았다.
Table 4.
Nutrient contents of lettuce under phyllite application levels.
|
Crop
|
Input amount
(Mg ha-1)
|
T-N (%)
|
T-P (%)
|
K2O (%)
|
|
Leaf
|
Root
|
Leaf
|
Root
|
Leaf
|
Root
|
|
Lettuce
|
0
|
3.26 a1 |
2.40 a
|
0.03 a
|
0.06 a
|
1.93 b
|
2.57 a
|
|
10
|
2.75 ab
|
2.46 a
|
0.03 a
|
0.05 a
|
3.21 a
|
1.94 c
|
|
20
|
2.66 ab
|
2.48 a
|
0.03 a
|
0.07 a
|
3.24 a
|
1.99 c
|
|
30
|
2.57 b
|
2.41 a
|
0.03 a
|
0.07 a
|
3.20 a
|
2.30 b
|
|
40
|
2.61 b
|
2.19 a
|
0.03 a
|
0.01 a
|
3.17 a
|
1.99 c
|
Kimchi
cabbage
|
0
|
2.91 b
|
2.23 a
|
0.03 a
|
0.20 a
|
2.96 a
|
2.32 a
|
|
10
|
3.56 a
|
1.96 a
|
0.03 a
|
0.38 a
|
3.20 a
|
2.10 ab
|
|
20
|
2.70 b
|
1.84 a
|
0.03 a
|
0.22 a
|
3.24 a
|
1.97 b
|
|
30
|
2.99 b
|
1.99 a
|
0.03 a
|
0.24 a
|
3.06 a
|
2.10 ab
|
|
40
|
2.90 b
|
2.75 a
|
0.03 a
|
0.14 a
|
2.92 a
|
2.16 ab
|
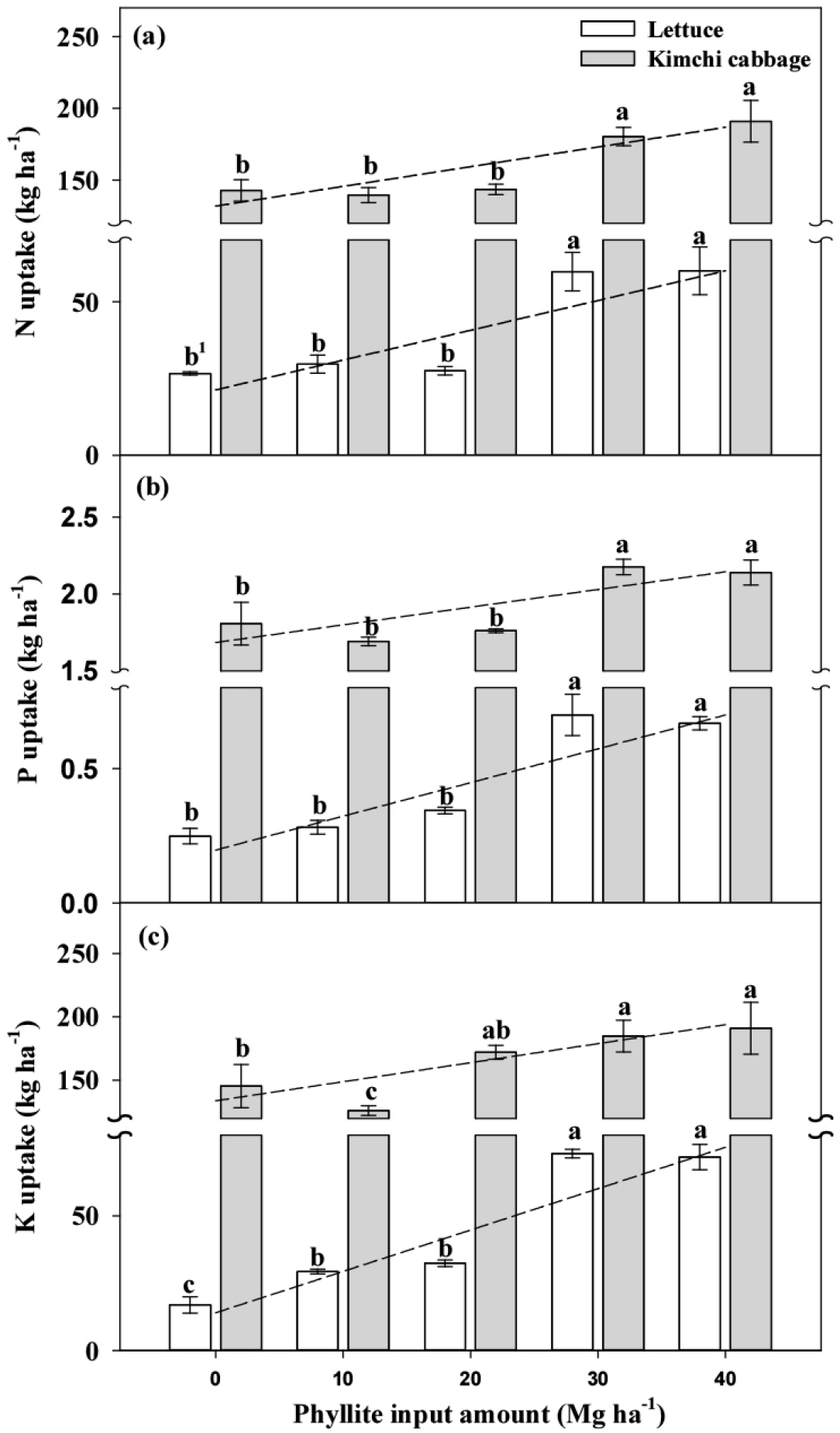
천매암 처리 수준별 상추 및 배추의 양분 흡수량은 Fig. 1에서 보는 바와 같다. 상추의 TN, TP 및 K2O 흡수량은 천매암을 처리하지 않은 P0 처리구에 비해 천매암 처리량에 상관없이 각각 3.25 - 125%, 13.4 - 182% 및 73.7 - 333% 증가하였으며, 배추의 경우, P20 처리구 이상에서 각각 0.56 - 33.8%, 18.4 - 20.4% 및 18.4 - 31.4% 범위로 흡수량이 증가하였다. 양분 흡수량은 상추 및 배추의 생체중 및 건물중과 유사한 경향을 보였으며, 천매암을 30 Mg ha-1 이상을 처리하였을 때 통계적으로 유의한 차이를 보였다 (Kim et al., 2016). Lee et al. (2017)은 점토광물 처리가 작물 생육에 미치는 영향을 평가한 연구에서 N과 P 흡수량이 점토광물에 의한 토양의 수분보유력 증가와 정의 상관관계를 나타낸다고 보고하였다. 본 연구에서도 천매암 처리를 통해 토양의 표면적이 증가하고 양분 및 수분보유력이 증가됨으로써, 작물의 양분 흡수량이 증가한 것으로 판단된다. 천매암은 토양 pH, 교환성 Ca와 Mg의 함량이 높은 특성을 가진다. Yang et al. (2024)의 연구에서는 교환성 양이온의 공급과 비율 조절이 작물의 초기 생육을 촉진하고, 이에 따라 식물체의 질소 함량과 흡수량이 증가한다고 보고하였다. 또한 Zubing et al. (2024)은 토양에 Mg를 처리할 경우 질소화합물의 합성이 활성화되어 질소 흡수량이 증가될 수 있음을 제시하였다. 이러한 선행 결과와 마찬가지로 본 연구에서도 천매암 처리로 인한 교환성 양이온 공급 증가가 상추와 배추의 초기 생육을 증가시켰으며, 토양 내 양분 및 수분 보유력 개선을 통해 양분 흡수량이 증가한 것으로 판단된다.

Fig. 1
Nutrient uptake for lettuce and kimchi cabbage. 1Different letters indicate significant differences among treatments at the 5% probability level.
Conclusions
본 연구에서는 점토광물인 천매암이 농경지에서 유기자원으로써 작물의 생육 증진 및 토양 화학성 개선에 미치는 영향을 조사하기 위해 처리량별 재배실험을 수행하였다. 실험 결과, 천매암 처리량이 증가할수록 상추 및 배추의 생육이 향상되는 경향을 보였으며, 특히 천매암을 20 Mg ha-1 이상 처리하였을 때 통계적으로 유의한 차이가 나타났다. 또한, 천매암 처리를 통해 토양의 pH, Ca 및 Mg 함량이 증가하여 토양 산도 완화 및 양이온 공급 측면에서 긍정적인 토양 개량 효과를 확인하였다. 이러한 결과는 천매암이 작물 생육에 필요한 양분을 직접 공급함과 동시에 토양의 화학적 환경을 개선하는데 기여함을 시사한다. 또한 기존 점토광물에 비해 천매암은 암석으로써 풍화를 통한 이산화탄소 제거기술로 광물의 풍화 (enhanced weathering)에 활용될 잠재력이 있으며, 농업분야에서 유기자원 및 탄소 저감 소재에 활용될 가능성도 기대된다. 따라서, 천매암의 장기적 토양 환경 변화 및 탄소 고정 효율 등을 정량적으로 평가하기 위한 후속 연구가 필요할 것으로 판단된다.
Conflict of Interest
The authors declare that they have no known competing financial interests or personal relationships that could have appeared to influence the work reported in this paper.
Author Contribution
Park JH: Data curation, Writing-original draft, Yun JJ: Data curation, Visualization, Shim JH: Writing-review & editing, Jeon SH: Writing-review & editing Supervision, Kang SW: Writing-review & editing, Cho JS: Conceptualization, Writing-review & editing.
Data Availability
Data will be provided on reasonable request.
Acknowledgements
This study was supported 2025 the RDA Fellowship Program of National Institute of Agricultural Sciences, and Research Program for Agriculture Science & Technology Development (Project No. PJ0176160), Rural Development Administration, Republic of Korea. Also, this work was carried out with the support of BOONONG., Corp., Republic of Korea.
References
Beerling DJ, Kantzas EP, Lomas MR, Taylor LL, Zhang S, Kanzaki Y, Val Martin M. 2025. Transforming US agriculture for carbon removal with enhanced weathering. Nature 638:425-434. https://doi.org/10.1038/s41586-024-08429-2
10.1038/s41586-024-08429-239910309PMC11821523Dimple KT, Nagamani C, Chandrika V, Kumar ARN, Sagar GK. 2020. Productivity, nutrient uptake and post-harvest soil nutrient status as influenced by times of sowing and nitrogen levels in proso millet. Andhra Pradesh J. Agric. Sci. 6:115-119.
Galina J, Oliverira PAD, Rosalen K, Busnello FJ, Baretta CRDM. 2025. Evaluation of phyllite and basalt associated with Azospirillum brasilense inoculation in oat cultivation. Rev. Ciênc. Agron. 56:e202493535. https://doi.org/10.5935/1806-6690.20250052
10.5935/1806-6690.20250052Garzón E, Pérez-Billarejo L, Sanchez-Soto PJ. 2020. Characterization, thermal and ceramic properties of phyllite clays from southeast Spain. J. Therm. Anal. Calorim. 142:1659-1670. https://doi.org/10.1007/s10973-020-10160-9
10.1007/s10973-020-10160-9Gitari MW, Mudzielwana R. 2018. Mineralogical and chemical characteristics of raw modified clays and their application in arsenic and fluoride removal. pp. n.p. In: IntechOpen (Ed.) Current Topics in Utilization of Clay in Industrial and Medical Applications. IntechOpen, London, UK. https://dx.doi.org/10.5772/intechopen.74474
10.5772/intechopen.74474Han KH, Yun SI, Choi DH, Lee SI. 2024. Net CO2 removal of rice husk biochar as soil amendment depending on energy reuse in the production stage. Korean J. Soil Sci. Fert. 57:130-139. https://doi.org/10.7745/KJSSF.2024.57.2.130
10.7745/KJSSF.2024.57.2.130Kim HJ, Kim HK, Kwon SM, Lee SE, Woo SH, Park M, Chung KY. 2010. Effect of the clay mineral illite on the growth of cherry tomato in the bed soil. Korean J. Soil Sci. Fert. 43:322-328
Kim HT, Kang SW, Seo DC, Moon SD, Cho JS. 2016. Effect of phyllite application on physical and chemical properties of soil, growth and inorganic nutrient uptake of crops. Korean J. Environ. Agric. 35:97-103. https://doi.org/10.5338/KJEA.2016.35.2.20
10.5338/KJEA.2016.35.2.20Kim JG, Lee SH, Lee CH, Lee NJ, Son YS, Lim SK. 1999. Field treatment of cow manure originated from the clay mineral feeding and the change of nitrogen in soils. Korean J. Environ. Agric. 18:366-371
Kim JI, Kim JS, Lee SJ, Cho KS, Kim JW. 2021. Interpretation of electrical resistivity tomogram with contents of clay minerals for the land creeping area. J. Eng. Geol. 31:187-197. https://doi.org/10.9720/kseg.2021.2.187
10.9720/kseg.2021.2.187Kim MS, Lee TG, Lee EJ, Jung HI, Lee SG. 2025. Effects of plowing depth on crops (watermelon, muskmelon, and squash) yield and soil chemical properties under plastic film house. Korean J. Soil Sci. Fert. 58:1-13. https://doi.org/10.7745/KJSSF.2025.58.1.001
10.7745/KJSSF.2025.58.1.001Kwon SI, Lee YH, Hwang HY, Kim SH. 2022. Long-term application effects of soil amendments on yield and soil properties in paddy. J. Korea Org. Recycl. Assoc. 30:5-11. https://doi.org/10.17137/korrae.2022.30.1.5
10.17137/korrae.2022.30.1.5Lee DG, Lee SE, Kim DH, Hong HK, Nam JH, Choi JS, Lee MS, Woo SH, Chung KY. 2012b. Effects of the applications of clay minerals on the early growth of red pepper in growing medium. Korean J. Hortic. Sci. Technol. 30:463-470. https://dx.doi.org/10.7235/hort.2012.12137
10.7235/hort.2012.12137Lee JY, Hong CH, Lee CH, Lee DK, Kim PJ. 2005. Dynamics of heavy metals in soil amended with oyster shell meal. Korean J. Environ. Agric. 24(4):358-363.
10.5338/KJEA.2005.24.4.358Lee SE, Kim DH, Hong HK, Kwon SM, Lee MS, Woo SH, Chung KY. 2012a. Effect of different levels of applications of illite on the growth of red pepper in soil. Korean J. Soil Sci. Fert. 45:339-343. https://dx.doi.org/10.7745/KJSSF.2012.45.3.339
10.7745/KJSSF.2012.45.3.339Lee SG, Lee HJ, Kim SK, Choi CS, Park ST, Jang YA, Do KR. 2015. Effects of vernalization, temperature, and soil drying periods on the growth and yield of Chinese cabbage. Korean J. Hortic. Sci. Technol. 33:820-828. https://dx.doi.org/10.7235/hort.2015.15076
10.7235/hort.2015.15076Lee YJ, Han KH, Lee SB, Sung JK, Song YS, Lee DB. 2017. Nutrient leaching and crop uptake in weighing lysimeter plant with soybean as affected by water management. Korean J. Environ. Agric. 36:147-153. https://doi.org/10.5338/KJEA.2017.36.3.30
10.5338/KJEA.2017.36.3.30NAS (National Institute of Agricultural Science). 2019. Fertilizer application recommendations for crop plants. RDA, Wanju, Korea.
NIAST (National Institute of Agricultural Science and Technology). 2000. Methods of soil and plant analysis. RDA, Suwon, Korea.
Park BK, Kim KM, Kim YI, Yum SY, Lee JW, Hyung SW, Hwang JH, Kim YM, Kong MH, Kim CB, Roh Y. 2009. Effect if cation and ionic strength on dispersion and coagulation of Hwangto and clay minerals. J. Miner. Soc. Korea 22:249-259. UCI: G704-001053.2009.22.3.004
Park JH, Kang SW, Yun JJ, Lee SG, Kim SH, Beak JS, Cho JS. 2021. Effects of co-application of biochars and composts on lettuce growth. Korean J. Soil Sci. Fert. 54:151-160. https://doi.org/10.7745/KJSSF.2021.54.2.151
10.7745/KJSSF.2021.54.2.151Rodrigues M, Bortolini PC, Neto CK, de Andrade EA, dos Passos AI, Pacjeco FP, de Melo Teixeira L. 2024. Unlocking higher yields in Urochloa brizantha: the role of basalt powder in enhancing soil nutrient availability. Discover Soil 1:4. https://doi.org/10.1007/s44378-024-00006-3
10.1007/s44378-024-00006-3Roshanravan B, Soltani SM, Rashid SA, Mahdavi F, Yusop MK. 2015. Enhancement of nitrogen release properties of urea-kaolinite fertilizer with chitosan binder. Chem. Speciation Bioavail. 27:44-51. https://doi.org/10.1080/09542299.2015.1023090
10.1080/09542299.2015.1023090Rudmin M, Banerjee S, Yakich T, Tabakaev R, Ibraeva K, Buyakov A, Soktoev B, Ruban A. 2010. Formulation of a slow-release fertilizer by mechanical activation of smectite/glauconite and urea mixtures. Appl. Clay Sci. 196:105775. https://doi.org/10.1016/j.clay.2020.105775
10.1016/j.clay.2020.105775Saidian M, Godinez, LJ, Prasad M. 2016. Effect of clay and organic matter on nitrogen adsorption specific surface area and cation exchange capacity in shales (mudrock). J Nat Gas Sci Eng 33:1095-1106. https://doi.org/10.1016/j.jngse.2016.05.064
10.1016/j.jngse.2016.05.064Skov K, Wardman J, Healey M, McBride A, Bierowiec T, Cooper J, Edeh I, George D, Kelland ME, Liu X. et al. 2024. Initial agronomic benefits of enhanced weathering using basalt: a study of spring oat in a temperate climate. Plos ONE 19:e0295031. https://doi.org/10.1371/journal.pone.0295031
10.1371/journal.pone.029503138536835PMC10971544Szatanik-Kloc A, Ambrozewicz-Nita A, Franus W, Józefaciuk G. 2019. Early effect of clinoptilolite on yield and quality of oat (Avena sativa L.). Int. Agrophys. 33:107-112. https://doi.org/10.31545/intagr/104411
10.31545/intagr/104411Uchimiya M, Lima IM, Klasson KT, Wartelle LH. 2010. Contaminant immobilization and nutrient release by biochar soil amendment: roles of natural organic matter. Chemosphere 80:935-940. https://doi.org/10.1016/j.chemosphere.2010.05.020
10.1016/j.chemosphere.2010.05.020Yang M, Zhou D, Hang H, Chen S, Liu H, Su J, Lv H, Jia H, Zhao G. 2024. Effects of balancing exchangeable cations Ca, Mg, and K on the growth of tomato seedlings (Solanum lycopersicum L.) based on increased soil cation exchange capacity. Agronomy 14:629. https://doi.org/10.3390/agronomy14030629
10.3390/agronomy14030629Yun JJ, Lee DW, Shim JH, Jeon SH, Lee YH, Kwon SI, Park JH, Kang SW, Cho JS, Kim SH. 2023. Evaluation of crop growth and soil chemical properties in cadmium contaminated soil using biochar derived from rendered animal carcass residues. Korean J. Soil Sci. Fert. 56:533-543. https://doi.org/10.7745/KJSSF.2023.56.4.533 KJSSF.2023.56.4.533
10.7745/KJSSF.2023.56.4.533Zhang S, Zhu Q, Vries W, Ros GH, Chen X, Muneer MA, Zhang F, Wu L. 2023. Effects of soil amendments on soil acidity and crop yields in acidic soils: A world-wide meta-analysis. J. Enivorn. Mange. 345:118531. https://doi.org/10.1016/j.jenvman.2023.118531
10.1016/j.jenvman.2023.118531Zhang YS, Sonn YK, Jung SJ, Lee GJ, Kim MS, Kim SK, Lee JY, Pyun IH. 2006. Clay mineral composition of the soils derived from residuum and colluvium. Korean J. Soil Sci. Fert. 39:245-252. UCI: G704-000532.2006.39.5.011
Zhang YS, Sonn YK, Park CW, Hyun BK, Moon YH, Song KC. 2010. Clay activity and physico-chemical properties of Korea soils with different clay minerals. Korean J. Soil Sci. Fert. 43:837-843. UCI: G704-000532.2010.43.6.019
Zubing H, Wang Z, Hao J, Wu Y, Liu H. 2024. The use of magnesium fertilizer can improve the nutrient uptake, yield, and quality of rice in liaoning province. Agronomy 14:639. https://doi.org/10.3390/agronomy14030639
10.3390/agronomy14030639