Introduction
Materials and Methods
시험장소 및 기상
공시작물 및 두둑 보전 처리
조사분석
강우가식성 및 토양침식성인자
통계분석
Results
시험지의 강우 및 토양 특성
강우특성과 작물 생육
강우특성에 따른 토양특성 변화
Discussion
새만금간척지 밭재배의 습해 위험성
새만금간척지 밭재배 시 두둑의 보전
Conclusions
Introduction
지속적인 농지면적 감소와 정부의 간척지 이용 종합계획 발표 (MAFRA, 2019) 등으로 간척지 논을 벼 재배 외의 밭작물 재배에 이용하는 농지범용화에 대한 연구가 활발히 진행되어왔으며, 간척지에서 사료작물 등의 타 작물 재배 연구가 증가하고 있다 (KREI, 2014; Bae et al., 2018). 이와 함께 간척지에서의 밭작물 생산량 및 자급률 향상을 위한 노력도 진행되고 있으나 (Bae et al., 2015; Ryu et al., 2016; Lee et al., 2020) 해안이나 강 하구 등 평탄한 저지대에 주로 위치하는 간척지 특성상 높은 지하수위와 배수불량에 의한 통기 부족으로 습해 발생 위험성이 높다 (Sohn et al., 2009b). 따라서 간척지에서 밭작물의 안정적인 생산을 위해서는 배수를 개선할 수 있는 기술의 개발이 매우 중요하다.
배수 개선 방법 중 배수로 설치는 강우 시 유거수 제거가 가능하지만 평탄지인 간척지에서 배수로 설치만으로는 한계가 있으며, 두둑을 높여 근권에서 고랑으로 빠르게 배수시키는 방법이 병행된다 (Sohn et al., 2009b; Yun et al., 2009). 새만금간척지는 다른 간척지에 비해 점토 함량은 적으며, 모래 함량이 많아 투수성은 상대적으로 크나 매우 고운 모래의 함량이 많아 토양침식성이 크고 안식각이 높으며 점착력이 낮아 두둑 높이를 유지하는데 어려움이 있다 (Park et al., 2007; Lee et al., 2013). Sohn et al. (2010)은 새만금간척지에 조성된 둑이나 이랑이 붕괴되는 현상이 많이 관찰되고 있으며, 작물재배에 있어 이랑의 안정유지관리가 중요하다고 하였다.
이처럼 두둑 형성을 통한 고랑의 배수로는 강우발생시 토양침식에 의한 배수 효율 저하가 발생할 수 있으며, 토양침식을 방지하는 기술로는 지표 피복, 식생재배, 승수로, 초생대 설치 등이 있다 (NIAST, 2020). 하지만 이러한 토양침식 방지기술들은 경사가 있는 농경지에서 침식된 토양이 인근 수계로 유입되는 것을 방지하는 것이 목적이며, 농경지 내에서 두둑과 배수로 관리 및 배수 효율 유지 기술의 연구는 부족한 실정이다.
본 연구에서는 간척지에서 사료용 옥수수 재배시 두둑의 침식방지를 통해 배수 효율을 높이는 방법으로 두둑 상단에 식물체 잔재 피복과 배수로 식생 기술을 적용하여 토양보전 효과와 그에 따른 배수 효율 유지 효과를 검정하고자 수행되었다.
Materials and Methods
시험장소 및 기상
본 시험은 논으로 이용되던 간척지 시험포장의 밭작물 재배시 습해 예방을 위한 두둑 보전 효과를 확인하기 위해 전라북도 김제시 광활면에 위치한 새만금간척지 내 국립식량과학원 시험포장 (35°49'N, 126°41'E)에서 2019년부터 2020년까지 2년에 걸쳐서 수행되었다. 시험장소 인근 기상관측지점인 부안의 최근 10년 평균기온은 13.2°C, 연평균강우량은 1,213.5 mm이고, 6 - 9월에 연강우량의 50% 이상 (2015, 2016년도 제외)이 집중되었다 (KMA, 2021).
공시작물 및 두둑 보전 처리
시험 작물로는 사료용 옥수수 중 국내 육성 보급종인 광평옥을 공시하여 면적 180 m2의 시험구에 재식거리 70 × 25 cm로 구당 (3 × 5 m) 4줄을 파종하였다. 이는 재식밀도 55,000 본 ha-1에 해당한다. 토양보전을 위한 처리는 관행구를 포함하여 식물체 잔재 피복, 배수로 식생, 식물체 잔재 피복 × 배수로 식생 등 4가지 처리구를 배치하였다. 배수를 위한 고랑 깊이는 20 cm로 하였으며, 재배관리는 농촌진흥청 옥수수 표준재배법 (RDA, 2003)에 준하였다. 사료용 옥수수 생육 특성은 농촌진흥청 농업과학기술 연구조사분석기준 (RDA, 2012)에 준하여 간장과 착수고, 생체중에 대해 시험구당 20개체씩 3반복 수확하여 분석하였다.
조사분석
시험기간 기상자료는 시험포장의 AWS (Automated weather station)의 30분 단위 자료를 활용하였다 (Fig. 1). 시험 전 토양은 핸드오거로 표토 20 cm를 채취하여 풍건 후 2.0 mm 체질을 하여 준비하였다. 시험 전 토양의 화학적 특성은 농촌진흥청 토양 및 식물체분석법 (NIAST, 2000)에 준하여 pH, EC, 유기물, 유효인산, 교환성양이온을 분석하였다. 시험 전 토양의 물리적 특성은 용적밀도, 입경분포, 토성, 토양구조, 한계침투속도를 평가하였다. 용적밀도, 입경분포, 토성, 토양구조는 미국 농무부 토양조사 매뉴얼 (Ditzler, 2017)에 준하여 분석하였다. 입경분포는 점토, 미사, 모래로 분획하여 산정하였으며, 특히 모래 중 극세사는 토양침식성인자의 산정을 위해 추가로 분획하여 측정하였다. 한계침투속도는 소형 세라믹판 침투속도계 (METER Group Inc., WA, USA)를 이용하여 측정하였다. 용적밀도는 시험 전과 수확 후로 나누어 측정하였다. 재배기간에 수시로 토양을 채취하여 토양수분함량과 토양 EC를 분석하였다. 해당 시기 기상률은 용적밀도와 토양수분함량을 이용하여 계산하였으며, 이때 용적밀도는 시험 전부터 수확 시 결과까지 시간에 따라 직선적으로 증가하는 것으로 가정하였다. 두둑 높이는 두둑 형성 직후, 재배중, 수확 후로 구분하여 동일 지점에서 시기별로 측정하였다.
강우가식성 및 토양침식성인자
강우가식성인자 (R factor)는 강우와 강우사이 시간이 6시간 이상, 그 강우량이 12.7 mm 이상일 때 1회 강우로 설정하였고, USLE 공식에 따라 다음과 같은 식을 이용하여 계산하였다 (Park et al., 2011).
여기서, e와 E는 각각 개별강우의 시간단위별 운동에너지와 개별 강우사상별 운동에너지로, 이를 위해 시간단위 강우강도 (I, cm hr-1), 강우사상별 강우지속시간 (t, hr)이 필요하며, E에 30분 최대 강우강도 (I30, cm hr-1)를 곱한 후 SI 단위 (MJ mm ha-1 hr-1)로 환산하기 위해 9.808을 곱하여 계산하였다 (Table 1).
Table 1.
Rainfall erosivity and event rainfall/time during the study period.
| Year | Event rainfall (mm) | Event time (hr) | R factor† (MJ mm ha-1 hr-1) |
| 1 yr | 454.5 | 170.0 | 505.8 |
| 2 yr | 1,083.0 | 288.5 | 2,653.5 |
토양침식성인자 (K factor)의 산출식은 다음과 같은 식을 이용하여 산출하였다 (Renard et al., 1997).
여기서, M은 토성과 관련된 값으로 (미사 (%) + 극세사 (%)) × (100 - 점토 (%))와 같이 산출된다. OM은 유기물 함량 (%), s는 표토의 토양구조부호 값 (1 - 4), p는 토양투수부호 값 (1 - 6)이다. 토양구조는 시험 전 토양 채취시 현장조사하였고 토양투수부호는 한계침투속도를 기반으로 배정하였다.
통계분석
배수 효율의 지표로 볼 수 있는 두둑높이 감소가 수확량에 영향을 미쳤는지를 알아보기 위해 두둑높이 감소량과 작물 생육에 대해 상관관계를 분석하였다. 두둑높이 감소량, 사료용 옥수수 수량 등 주요 조사항목에 대한 처리간 비교를 위해 공분산분석 (ANOVA)을 실시하였다. 유의성은 95% 수준에서 DMRT로 유의성을 분석하였다. 통계프로그램은 SAS Enterprise Guide 7.13 HF4 (SAS Institute Inc., USA)를 이용하였다.
Results
시험지의 강우 및 토양 특성
본 연구기간 동안의 월강우량과 강우사상별 평균강우강도를 Fig. 1에 나타내었다. 경작기간인 6 - 9월 동안 내린 총강우량은 1차년도 (2019년)와 2차년도 (2020년)에 각각 545.5 mm와 1,218.0 mm를 기록하였다. 월강우량은 1차년도 7월과 9월에 각각 170.0 mm와 178.5 mm로 높게 나타났고, 2차년도에는 6 - 9월까지 186.0 - 425.0 mm로 시험기간 전반에 걸쳐 많은 강우량을 나타내었다. 강우특성에 따라 강우가식성인자 산정이 가능한 강우사상의 횟수는 1차년도 12회와 2차년도 19회였으며, 강우침식성인자의 합계는 1차년도 505.8 MJ mm ha-1 hr-1, 2차년도 2,653.5 MJ mm ha-1 hr-1로 2차년도에 강우에 의한 토양침식 위험성이 더 컸다 (Table 1).
대상토양은 새만금간척지 5공구의 평균적인 토양화학성과 비교하여 pH와 EC는 높은 반면, 유기물 함량과 교환성 Mg은 각각 1.79 g kg-1, 1.21 cmolc kg-1으로 낮았다. 밭토양 관리기준과 비교하면 pH는 기준 범위보다 높았으나 유기물 함량과 유효인산, 교환성 Ca 및 K은 기준보다 낮았다 (Table 2). 물리적 특성으로 용적밀도는 시험 전 1.20 Mg m-3, 수확 후 1.43 Mg m-3 였고, 토성은 사질양토였다. 한계침투속도는 7.64 mm hr-1로 이는 수문학적 토양군 중 A군, 투수부호는 3수준에 해당하였다. 토양침식성인자는 0.587 Mg hr MJ-1 mm-1로 평가되었다 (Table 3).
Table 2.
Soil chemical properties of studied area.
Table 3.
Soil physical properties and soil erodibility before experiment.
|
Db† (g cm-1) | Sand‡ (%) |
Silt (%) |
Clay (%) | Soil texture |
Ksat§ (mm hr-1) |
K factor¶ (Mg hr-1 MJ-1 mm) | |||||
| VCS | CS | MS | FS | VFS | |||||||
|
Study site | 1.20 | 3.9 | 3.1 | 5.2 | 14.3 | 43.3 | 25.3 | 4.9 |
Very fine sandy loam | 3.77 (3)∮ | 0.587 |
강우특성과 작물 생육
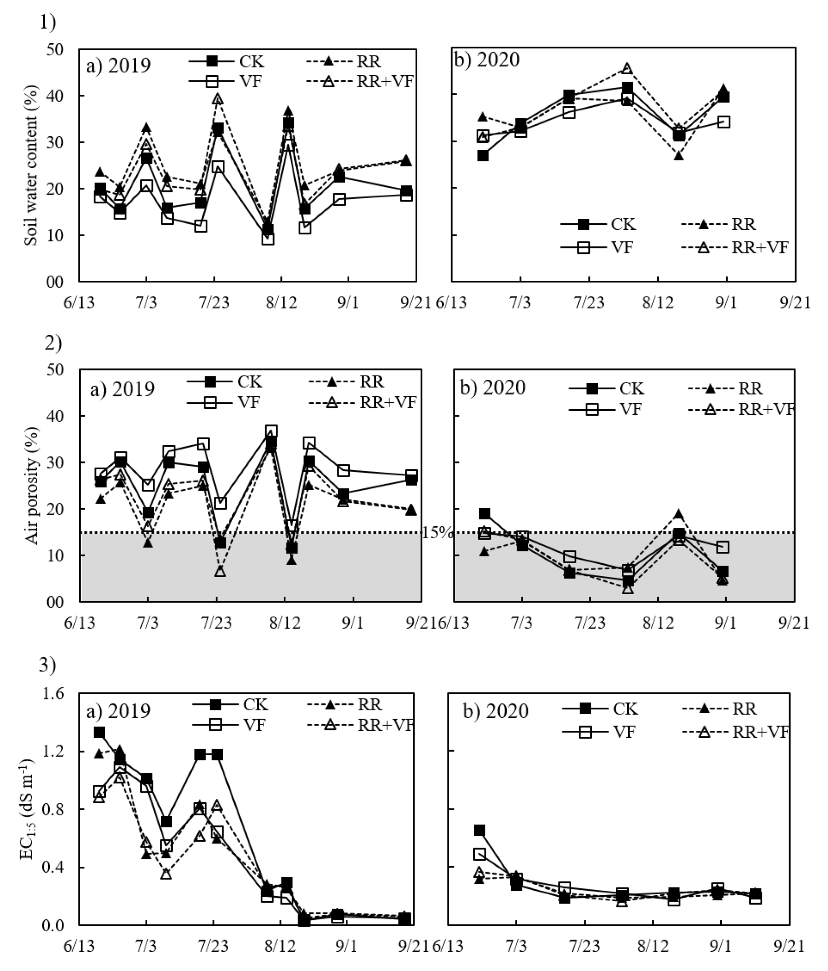
강우량과 강우가식성인자가 낮았던 1차년도에는 두둑높이 감소가 평균 6.6 cm였으며, 2차년도에는 두둑높이 감소가 평균 8.5 cm로 컸다 (Table 4). 두둑높이의 감소가 작았던 1차년도에는 간장, 착수고, 착수고율 그리고 생체중의 평균이 각각 206.3 cm, 107.6 cm, 52.2% 그리고 3,020 kg 10a-1였으며, 두둑높이 감소가 컸던 2차년도에는 각각 227.6 cm, 103.4 cm, 45.5% 그리고 2,479 kg 10a-1로 간장을 제외하고 1차년도의 작물 생육이 더 좋았다 (Table 5). 배수에 영향을 주는 두둑높이 감소와 작물 생육의 상관관계를 보면, 1차년도 1차 두둑높이 감소량과 생체중 (P < 0.05), 2차년도 총 두둑높이 감소량과 생체중 (P < 0.01)이 부의 상관관계를 보였다 (Fig. 2). 하지만, 보전처리에 따른 두둑높이 감소는 유의하게 나타나지 않았다.
Table 4.
The decrease of ridge height (DRH) cover with residue and/or plant of the period of study.
Table 5.
Stalk and ear height, ear ratio and fresh yield of corn in study site.
강우특성에 따른 토양특성 변화
강우량이 적었던 1차년도에 비해 식생 피복도가 낮은 경작 초기부터 강우량이 많았던 2차년도의 두둑높이 감소량이 특히 높았고 (Table 4), 토양수분함량이 30% 이상을 유지하는 경우가 많았다 (Fig. 3-1). 강우에 의한 침식을 통해 두둑높이가 감소하고 침식된 토양으로 배수가 지연되어, 강우 발생 후 토양 기상율이 낮게 유지되는 기간이 길어졌다. 옥수수 생체량이 적었던 2차년도 관행구 기상률의 경우 옥수수 파종 직후 (관행)와 강우가 적었던 8월 18일 (식물체 잔재 피복)을 제외하고 15% 이하를 나타내었다 (Fig. 3-2). 1차년도 토양 EC는 연구 초기에 0.88 - 1.34 dS m-1의 범위를 보였으나 경작 기간이 경과함에 따라 감소하는 경향을 보였다. 2차년도 역시 비슷한 경향을 보였으나 초기 토양 EC가 0.32 - 0.66 dS m-1으로 낮은 값을 보였고, 6월부터 집중된 강우에 의해 빠르게 감소하여 7월부터 연구 종료까지 유사한 값으로 유지되었다 (Fig. 3-3).
Discussion
새만금간척지 밭재배의 습해 위험성
본 연구에서는 간척지 습해 경감을 위한 방법으로 두둑을 만들고 고랑을 내어 잔여 수분이 근권 환경에 미칠 수 있는 영향을 최소화하고자 하였다. 토양보전처리시 두둑의 높이감소가 유의하게 줄어들지는 않았으나 두둑의 높이가 유지된 정도에 따라 생육은 우세하였다. 강우가 집중되는 경작기 동안의 시험지역의 지하수위는 0.2 - 1.8 m 이내로 높게 형성되는 것으로 알려져 있다 (Jung and You, 2007; Lee et al., 2020). 밭작물은 일반적으로 수분에 민감하여 습해에 의한 식물 생장 불량이 수확량 저하로 이어지는 원인 중 하나이다. 새만금간척지를 포함하여 배수가 불량한 국내 간척지 부지를 밭으로 이용시 여름철 강우에 의한 침수피해가 발생하고 있다 (Sohn et al., 2009a, 2009b). 또한 미국, 러시아에 걸쳐 침수 피해가 보고되었을 뿐만 아니라 중앙아시아와 호주 등 전 세계적으로 침수에 따른 작물 수확량 피해가 보고되었다 (Yaduvanshi et al., 2012; FAO, 2015).
밭토양을 포함하여 농경지토양에서 식물 생장을 위한 적절한 수분과 공기 함량이 필요한데, 식물 뿌리에서 원활한 산소공급을 위해서는 토양 내 산소가 10% 이상이어야 한다 (Morales-Olmedo et al., 2015). 일반적으로 토양 내 산소는 기상율을 통해 간접적으로 확인이 가능하며, 기상율이 15% 이하일 경우 식물 생장에 피해가 발생한다 (FAO, 1995). 본 연구 결과에서도 평균 기상율이 23.9% 였던 1차년도에 비해 10.6% 였던 2차년도의 옥수수 생육이 불량한 것으로 나타났다.
습해 우려가 있는 배수불량 농경지에 배수처리를 한 후 습해가 경감되면 작물 수확량이 개선되는 것을 볼 수 있다 (Jung et al., 2011; Choi et al., 2017; Chun et al., 2017). 습해 경감을 위한 배수 방법으로는 지표배수와 지하배수 (파이프 암거, 두더지암거, 수직지하배수) 등이 있으며 (Manik et al., 2019), 간척지에 적용이 가능한 배수처리로는 명거배수와 암거배수 (굴착 및 무굴착) 등이 있다 (Do et al., 2020). 지하수위가 높은 간척지의 특성상 지표배수가 중요하지만, 완만한 경사로 인해 지표배수만으로는 한계가 있어 두둑을 높여 물을 작물 근권으로부터 고랑으로 빠르게 배수시킬 수 있는 고휴재배가 추천된다 (Sohn et al., 2009b; Yun et al., 2009).
본 연구에서는 두둑과 고랑을 유지하여 지표 배수를 원할히 하는 방법을 모색하고자 하였으나 식물체 잔재 피복, 배수로 식생 등은 두둑과 고랑의 유지에 효과가 적은 것으로 나타나 보다 적극적인 지표 배수 강화방안에 대한 연구가 필요할 것으로 사료된다.
새만금간척지 밭재배 시 두둑의 보전
경사지 지표에 피복을 할 경우 식물체 잔재 피복은 70%, 초생은 80% 등 효과가 있는 것으로 알려져 있어 (NIAST, 2020), 본 연구에서도 전통적인 피복방법인 식물체 잔재로 두둑을 피복하였으나 대조구에 비해 유의성있는 토양보전 효과가 나타나지 않았다.
새만금간척지 인근 기상관측지점인 부안은 기준증발산량 911.3 mm, 강수량 1,201.2 mm로 배수가 필요하였다 (Moon, 2018; KMA, 2021). 하지만 모래 함량이 많은 간척지 토양은 점토와 유기물 함량이 많은 토양에 비해 안식각이 높아 두둑 형성이 어렵고 (Park et al., 2007), 강우량이 많은 경우 두둑이 침식되거나 무너져 두둑에 의한 배수 효율이 떨어질 수 있다. 본 연구에서도 강우량이 많고, 강우강도가 높았던 2차년도의 두둑높이 감소가 더 크고 기상율도 낮게 유지되었다.
우리나라 평균 강우가식성인자는 3,812 - 4,276 MJ mm ha-1 yr-1 hr-1의 범위로 산정되었으며, 부안의 연간 강우가식성인자는 2,157 - 3,526 MJ mm ha-1 yr-1 hr-1로 동일 연구의 전국 평균보다 낮았다 (Jung et al., 1983, 2004; Park et al., 2011). 본 연구 기간동안 새만금간척지의 강우가식성인자는 연차별로 각각 505.8과 2,653.5 MJ mm ha-1 hr-1으로 강우량이 많았던 2차년도의 강우가식성인자는 부안의 연간 강우가식성인자에 근접한 값을 보여 특히 높았다. 토양침식에 저항하는 능력인 토양침식성인자는 전국 평균 0.027 Mg hr MJ-1 mm-1였으며 (Jung et al., 2004), 새만금간척지는 0.587 Mg hr MJ-1 mm-1로 전체 평균에 비해 높아 상대적으로 침식의 위험성은 높았다. 이는 미사 함량이 높고 유기물 함량이 낮은 토양에서 높게 나타나는 토양침식성인자의 특성이 반영된 것으로 두 인자를 고려한 새만금간척지의 토양 침식성은 강우에 의한 영향을 크게 받을 것으로 판단된다. 그러나 USLE은 연평균 토양유실량을 산정하기 위한 계산식으로 토양침식위험성을 모의하는 범용적지표이나 태풍이나 장마철 집중호우 등 특정한 강우사상의 토양유실량을 모의하는 것은 한계가 있어 일단위 강우특성을 고려할 필요가 있다 (Heo et al., 2005; Kang et al., 2021). 두둑 보전처리를 위해서는 지표피복과 배수로 식생 유지 등과 함께 토양의 입단안정성을 향상시킬 수 있는 토양개량제 처리 방법 등의 복합적인 연구가 요구된다 (Ryu et al., 2021).






