Introduction
Materials and Methods
공시토양 채취와 이화학적 특성 분석
기존 코어법에서의 용적밀도와 3상 구성비 분석방법
Results and Discussion
용적밀도와 3상 구성비 간의 상관관계
현장 간이 체적 분석법의 민감도 분석
Conclusion
Introduction
토양의 용적밀도 (bulk density)와 3상 구성비 (three-phase composition)는 토양의 다짐, 배수, 통기성 및 수분과 영양소의 보유력과 이동 등에 직접적인 영향을 미치며, 이는 작물의 뿌리 성장, 양분 흡수 및 작물 수량에 큰 영향을 준다 (Eavis, 1972; Bengough et al., 2000; Kim et al., 2010; Zhang et al., 2018). 따라서 이들 물리적 특성은 토양의 건강성 평가와 지속가능한 토양 관리에 필수적으로 고려되는 물리적 지표이다. 예를 들어, 농경지에서 낮은 용적밀도가 필요한 경우 표토에 유기물을 피복하거나 혼입하는 방법이 활용되며 (Williams et al., 2017; Mubaraka et al., 2022), 경운 및 수확을 위한 기계작업 등으로 인해 심토에서 발생하는 다짐 문제를 해결하기 위해 심경이나 심토 파쇄와 같은 관리방안이 적용된다 (Wang et al., 2022; Hur et al., 2023).
토양의 용적밀도 분석은 전통적으로 코어법 (core method)과 굴착법 (clod method)이 활용되고 있다. 코어법은 일정 부피의 시료를 채취한 후 실험실에서 건조한 후 중량을 측정하여 계산하는 방식으로, 간편하지만 토양 채취과정에서 토양구조 파괴, 압밀, 입단 파쇄 등이 우려된다. 굴착법은 토양밀도가 높고, 자갈이나 뿌리 등으로 인해 코어 채취가 어려운 경우 토양 덩어리를 그대로 채취해 밀봉 후 부피와 수분 함량을 분석하는 방법이다 (McKenzie et al., 2002; Al-Shammary et al., 2018).
토양 3상 구성비 분석은 용적밀도와 동일하게 코어법이 활용되고 있다 (RDA, 2012). 우선 코어법을 통하여 용적밀도와 중량수분함량을 측정하고, 용적밀도와 입자밀도 (particle density)를 이용하여 고상율을 계산하고, 중량수분함량과 용적밀도를 이용하여 액상율을 계산한다. 이후 100%에서 고상율과 액상율을 합한 값을 빼주어 기상율을 계산하는 방식이다.
이들 방법은 비교적 간단하지만, 3상 구성비를 측정 시 시료 운반과 장시간 건조 과정이 필요해 시간과 비용이 소요되고, 환경 조건에 따라 오차가 발생할 수 있다. 따라서 토양의 용적밀도와 3상 구성비를 현장에서 측정할 수 있는 간편한 방법이 개발될 경우, 토양물리성과 관련된 다짐, 과잉 관수, 배수 불량, 가뭄 스트레스 등의 상태를 현장에서 신속히 진단하고 대책을 수립할 수 있는 유용한 수단으로 활용될 수 있다.
본 연구의 목적은 현장에서 토양의 용적밀도와 3상 구성비를 신속하고 간편하게 분석할 수 있는 방법을 개발하는 것이다. 제안된 방법은 코어 시료의 기체 치환 부피를 측정하여 토양의 용적밀도와 3상 구성비를 추정하는 현장 간이 체적 분석법 (simple field volumetric method, FV)으로 이를 통해 측정된 결과를 기존 중량 기반 코어분석법 (oven-dry gravimetric method, OG)과 비교함으로써 정확성과 활용 가능성을 검토하였다.
Materials and Methods
공시토양 채취와 이화학적 특성 분석
동일한 용적의 토양이라 하더라도 토성, 산화물, 염류 및 유기물 함량에 따라 질량이 상이하므로 용적밀도는 다르다. 따라서 용적밀도와 3상 구성비 측정을 위한 분석법은 가능한 한 다양한 토지 이용과 토양 특성을 반영하여야 한다. 공시토양은 고랭지, 석회암 모재 토양, 간척지, 충적토, 화강암 및 화강편마암 모재 토양을 대상으로 총 38점 (초지 2지점, 논 6지점, 밭 22지점, 시설재배지 8지점)을 채취하였다.
해당 지점에서의 토양시료는 100 cm3 부피의 코어와 auger로 표토 (0 - 15 cm)를 채취하였다. 코어로 채취한 토양시료는 용적밀도와 3상 구성비 분석에 사용하였고, auger로 채취한 토양은 실내에서 풍건한 후 2 mm 체에 통과시켜 토양의 이화학적 특성 분석용 시료로 사용하였다. 토양 이화학적 특성은 Soil Survey Laboratory Methods Manual (NRCS, 2014)과 토양화학 분석법 (NIAST, 2010)에 준하여 분석하였다. 분석항목은 입경 (sand, silt, clay), pH, 전기전도도 (electrical conductivity, EC), 토양 유기물 (soil organic matter, SOM), 유효인산 (Av. P2O5), 교환성 양이온 (Exch. Ca, Mg, K, Na)이었다 (Table 1).
Table 1
Physicochemical properties and soil series of the experimental soils used in this experiment.
기존 코어법에서의 용적밀도와 3상 구성비 분석방법
코어로 채취한 토양시료를 실험실로 운반하여 습윤 토양 (wet soil, WS)을 포함한 코어의 무게 (core weight + wet soil weight)를 측정한 후 105°C로 18시간 이상 오븐에서 건조하였다. 이후 건조 토양을 포함한 코어의 무게 (dry sample weight = core weight + dry soil weight)를 측정하고 건조토양 (dry soil, DS)의 무게 (dry soil weight = dry sample weight – core weight)를 산출하였다. 코어의 부피 (100 cm3)를 이용하여 용적밀도를 계산하고, 이를 3상 구성비를 계산하였다 (Eqs. 1 - 4). 이때, 입자밀도 (particle density)는 2.6 g cm-3, 물의 밀도 (water density)는 1.0 g cm-3를 이용하였다.
현장 간이 체적 분석법에서의 토양 용적밀도와 3상 구성비 분석방법
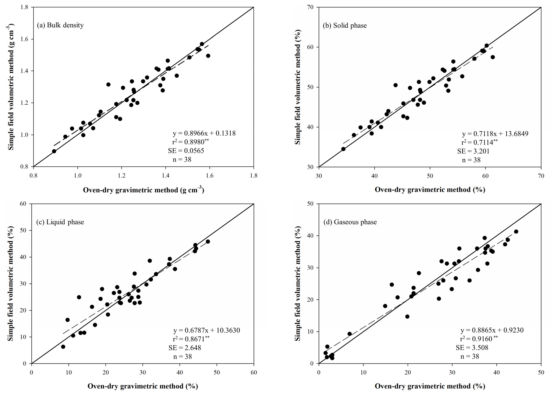
본 연구에서 개발한 현장 간이 체적 분석법의 과정을 Fig. 1에 나타내었으며 다음과 같다. (a) 교반봉 (stirring rod)을 표토에 삽입하여 바위 등 이물질의 존재유무를 판단하였다. 만약 교반봉이 코어의 깊이만큼 삽입되지 않을 경우 다른 지점으로 옮겼다. (b) 토양 표면의 유기물을 제거한 후 표면을 고르게 하여, (c) 코어를 토양 표면에 놓고, (d) 코어 샘플러와 망치를 사용하여 코어를 토양에 수직으로 삽입하였다. (e) 흙칼 (soil knife)로 코어를 토양에서 조심스럽게 들어 올리고, (f) 코어의 윗면과 아랫면을 평평하게 하였다. (g) 스패츌러 (spatula)를 이용하여 코어의 토양을 무게 접시 (weighing dish)로 옮긴 후, (h) 토양을 잘게 부수어 습윤 토양의 무게 (Wws)를 측정하였다. (i) 메스실린더에 물 100 mL를 가하고, (j) 토양이 손실되지 않도록 메스실린더에 조심해서 옮겼다. (k) 교반봉으로 메스실린더 내부를 저어 기포를 충분히 제거한 후 (l) 메스실린더의 눈금을 읽어 발생한 부피의 증가분으로 습윤 토양의 부피 (Vws)를 측정하였다. 이후 용적밀도 및 3상 구성비는 아래의 계산식 (Eqs. 5 - 8)을 통해 계산하였다. 이때, 고상 구성비 계산식 (Eq. 6)은 FV 방법에서 구한 습윤토양의 무게 (Wws, g)와 습윤토양의 부피 (Vws, mL)를 독립변수로하고, OG 방법으로 구한 고상 구성비 (solid phase, %)를 종속변수로하는 다중회귀를 통해 도출하였다 (Fig. 2). 이 경험식 모델의 결정계수 (R2)는 0.9056으로 높은 통계적 유의성이 있었다 (P < 0.01).

Fig. 2
Multiple-linear regression model for the solid phase composition determination of the simple field volumetric method (FV). Response variable (solid phase, %) was determined by the oven-dry gravimetric method (OG) and independent variables X1 (wet soil wight, g) and X2 (wet soil volume, mL) were derived from the FV. ** and SE denote significance at P < 0.01 and standard error, respectively.
현장 간이 체적 분석법의 민감도 분석
현장 간이 체적 분석법에 따라 분석한 용적밀도와 3상 구성비의 민감도 분석을 위하여 네 가지 통계기법을 사용하였다. 첫 번째는 가장 널리 사용되고 있는 선형회귀분석으로 두 방법 간 변수들 간 상관관계의 높은 결정계수 (r2) 유의성과 낮은 표준오차 (standard error, SE)값을 바탕으로 평가했다. 두 번째는 변이계수 (coefficient of variation, CV)로 시료를 반복 분석하여 얻은 표준편차를 평균값으로 나누어 백분율로 나타내었고 분석법의 재현성 (reproducibility)을 평가하는데 활용하였다 (Rosner, 2010). 변이계수가 낮을수록 재현성이 높다고 평가했다. 세 번째는 Bland-Altman plot으로 분석법 간의 일치도 (comparison method)를 평가하는데 활용하였다 (Bland and Altman, 1999). Bland-Altman plot은 x축에는 두 분석법의 평균값을, y축에는 두 분석법의 차이로 신뢰구간 분포도를 작성하였다. 이들 분포가 두 분석법 차이의 평균 (mean)과 표준편차 (standard deviation, SD)로 산출한 95% 신뢰구간 (LoA, limits of agreement: mean ± 1.96 SD) 범위 내 포함여부로 일치도를 평가했다. 마지막은 Cronbach’s alpha로 신뢰도 (reliability)를 평가하는데 활용하였고 일반적으로 Cronbach’s alpha가 0.7 이상이면 수용할 수 있는 수준 (acceptable)의 신뢰도라 할 수 있다 (George and Malley, 2019). 분석 데이터에 대한 통계분석은 SPSS statistics 26 (SPSS Inc., Chicago, IL, USA)를 이용하였다.
Results and Discussion
용적밀도와 3상 구성비 간의 상관관계
Table 2는 본 연구에서 개발한 현장 간이 체적 분석법 (FV)과 기존 코어분석법 (OG)을 통해 분석한 용적밀도와 3상 구성비의 결과를 보여주고 있다. FV와 OG에 따른 평균과 표준편차 (괄호 안 값)를 살펴보면 용적밀도는 1.26(0.17) g cm-1, 1.26(0.18) g cm-1, 고상 구성비는 48.4(6.7)%, 48.4(7.1)%, 액상 구성비는 26.8(9.6)%, 26.2(10.0)%, 기상 구성비는 24.8(11.9)%, 25.5(13.1)%로 두 방법에서 유사한 값을 보였다. Fig. 3은 두 방법에 의해 측정된 용적밀도와 3상 구성비의 상관관계 또는 3상 구성비 사이의 상관관계를 보여주고 있다. 용적밀도와 고상 구성비는 Eq. 2와 Eq. 8에서 확인할 수 있듯이 정의 상관관계를 보여주었다 (r2 = 0.9997, P < 0.01).
Table 2
Soil bulk density and three-phase composition measured by the simple field volumetric method and the oven-dry gravimetric method.
용적밀도와 액상 구성비 간의 선형회귀분석 결과 (Fig. 3a), 두 분석법 모두 용적밀도가 증가함에 따라 액상 구성비가 증가하는 경향이었지만 FV 방법과 OG 방법의 결정계수는 각각 0.0014, 0.0249로 통계적 유의성은 없었다. 하지만 Fig. 3a에서 보는 바와 같이 모래 함량이 높고 토양 유기물 함량이 낮은 양질사토 (loamy sand)의 경우 보수력이 낮아 용적밀도가 높음에도 낮은 액상 구성비를 보이는 반면, 모래 함량이 낮거나 토양 유기물 함량이 높은 미사질양토 (silt loam)는 보수력이 높아 낮은 용적밀도에서도 높은 액상 구성비를 보이는 것으로 판단된다 (Wu et al., 2024).
용적밀도와 기상 구성비 간의 선형회귀분석 결과 (Fig. 3b), FV 방법과 OG 방법의 결정계수가 0.3516, 0.4338로 통계적으로 유의하였으며 두 분석법 모두 부 (負)의 상관관계를 보였다 (P < 0.01). 이는 용적밀도가 증가함에 따라 공극율이 감소하고 공극의 크기가 작아지면서 모관공극이 증가하여 보수력이 높아지고 통기성이 낮아짐에 따라 기상 구성비가 감소하기 때문인 것으로 보인다 (Yang et al., 2014).
액상 구성비와 기상 구성비 간의 선형회귀분석 결과 (Fig. 3c), FV 방법과 OG 방법의 결정계수가 0.6835, 0.7156으로 통계적으로 유의하였으며 두 분석법 모두 부의 상관관계를 보였다 (P < 0.01). 공극 내에 물과 공기가 같이 존재하고 수분이 증가하면 공기가 줄어들고 수분이 감소하면 공기는 증가하기 때문에 액상 구성비와 기상 구성비는 부의 상관관계를 보이게 된다 (Eq. 4, Eq. 7). Chen et al. (2022)은 기상 구성비는 대공극을 점유하고 액상 구성비는 공극간의 연결성 (connectivity)을 유지하려는 경향이 있어 공기와 물의 교환 속도는 물로 채워진 공극크기와 공기의 연결성에 영향을 받는 것으로 보고하였다. 따라서 용적밀도 외에도 토양구조, 입도분포가 액상 구성비와 기상 구성비의 균형에 영향을 미칠 것으로 보인다. 고상 구성비는 용적밀도와 직접적으로 관련되어 있기 때문에 (r2 ≈ 1), 고상 구성비와 액상 구성비 간의 상관관계의 경우 FV 방법과 OG 방법의 결정계수는 0.0014, 0.0236으로 통계적으로 유의하지 않았고 (P > 0.05), Fig. 3a와 동일한 경향성을 보였다. 고상 구성비와 기상 구성비의 간의 상관관계에서는 FV 방법과 OG 방법의 결정계수는 0.3506, 0.4321로 통계적으로 유의하여 Fig. 3b와 동일한 경향성을 보였다 (P < 0.01).
현장 간이 체적 분석법의 민감도 분석
현장 간이 체적 분석법과 기존 코어분석법 간의 호환성을 확인하기 위하여 동일한 분석항목 간에 선형회귀분석 결과 용적밀도, 고상 구성비, 액상 구성비 및 기상 구성비의 결정계수 (r2)는 0.8980, 0.8979, 0.8382 및 0.9158으로 통계적으로 유의한 정의 상관관계 (P < 0.01)를 보여 두 분석법 간에 직선적 관계가 형성됨을 확인하였다 (Fig. 4). 또한, 용적밀도, 고상 구성비, 액상 구성비 및 기상 구성비에 대한 표준오차 값은 0.0565, 2.173, 3.927 및 3.512로 표준오차 값에 대한 명확한 기준은 없으나 기상 구성비의 결정계수가 가장 높음에도 불구하고 고상 구성비의 표준오차 값 (2.173)이 기상 구성비의 표준오차 값 (3.512) 보다 상대적으로 낮아 고상 구성비, 기상 구성비, 액상 구성비 순으로 두 분석법 간의 호환성이 높은 것으로 판단된다.
현장 간이 체적 분석법과 기존 코어분석법의 재현성을 평가하기 위하여 용적밀도와 3상 구성비에 대한 변이계수를 계산하여 산출한 평균과 표준편차 (괄호 안 값)는 용적밀도가 4.7% (3.5)와 3.5% (2.8), 고상 구성비는 4.7 % (3.5)와 3.5% (2.8), 액상 구성비는 10.0% (7.3)와 6.0% (4.9), 그리고 기상 구성비는 17.3% (18.9)와 15.2% (21.2)로 현장 간이 체적 분석법의 변이계수가 기존 코어분석법 보다 높은 경향을 보였으나 용적밀도와 3상 구성비의 변이계수는 통계적으로 유의한 차이가 없었다 (Table 3). 특히 현장 간이 체적 분석법에 의한 기상 구성비의 변이계수에 대한 표준편차가 18.9%로 높게 나타났는데, 이에 대한 분포를 확인한 결과 논 토양 시료에 해당하였다 (Fig. 5). 이는 논 토양 시료를 벼 수확 직후에 채취하였기 때문에 공극의 대부분이 수분으로 포화되어 있었고, 담수기 동안 다짐으로 인해 미세공극이 증가되었으나 (Sacco et al., 2012), 실험과정에서 충분히 기포를 제거하지 못한 것에 기인된 것으로 판단된다. 아울러 토성에 따라 토양 수분 함량이 달라지는 (Vereecken et al., 1989; Jung and Ha, 2013) 등 다양한 요인으로 인한 실험적 오차와 더불어 논 토양의 기상 구성비가 다른 토지이용형태 (밭, 초지, 시설재배지)보다 낮기 때문에 기상 구성비의 편차가 크게 나타난 것으로 보인다. 논 토양을 제외한 현장 간이 체적 분석법에 따른 기상 구성비 변이계수의 평균 (표준편차)은 11.4% (5.4)로 재현성이 높았다. 논 토양을 채취할 경우 담수기 또는 담수 직후를 피하는 등 적절한 토양 채취시기를 고려할 필요가 있을 것으로 보인다. 현장 간이 체적 분석법은 현장에서 수행하기 위해 개발된 것으로 현장에서의 한계점을 고려하였을 때 적절한 재현성을 보이는 것으로 판단된다.
Table 3
Coefficient of variation (%) of the simple field volumetric method (FV) and the oven-dry gravimetric method (OG) for determination of soil bulk density and three-phase composition.
| Variables | FV | OG | t-value2 | P-value |
| Bulk density | 4.7 (3.5) | 3.5 (2.8)1 | 0.044 | 0.965 |
| Solid phase | 4.7 (3.5) | 3.5 (2.8) | 0.044 | 0.965 |
| Liquid phase | 10.0 (7.3) | 6.0 (4.9) | 0.289 | 0.773 |
| Gaseous phase | 17.3 (18.9) | 15.2 (21.2) | 0.251 | 0.803 |
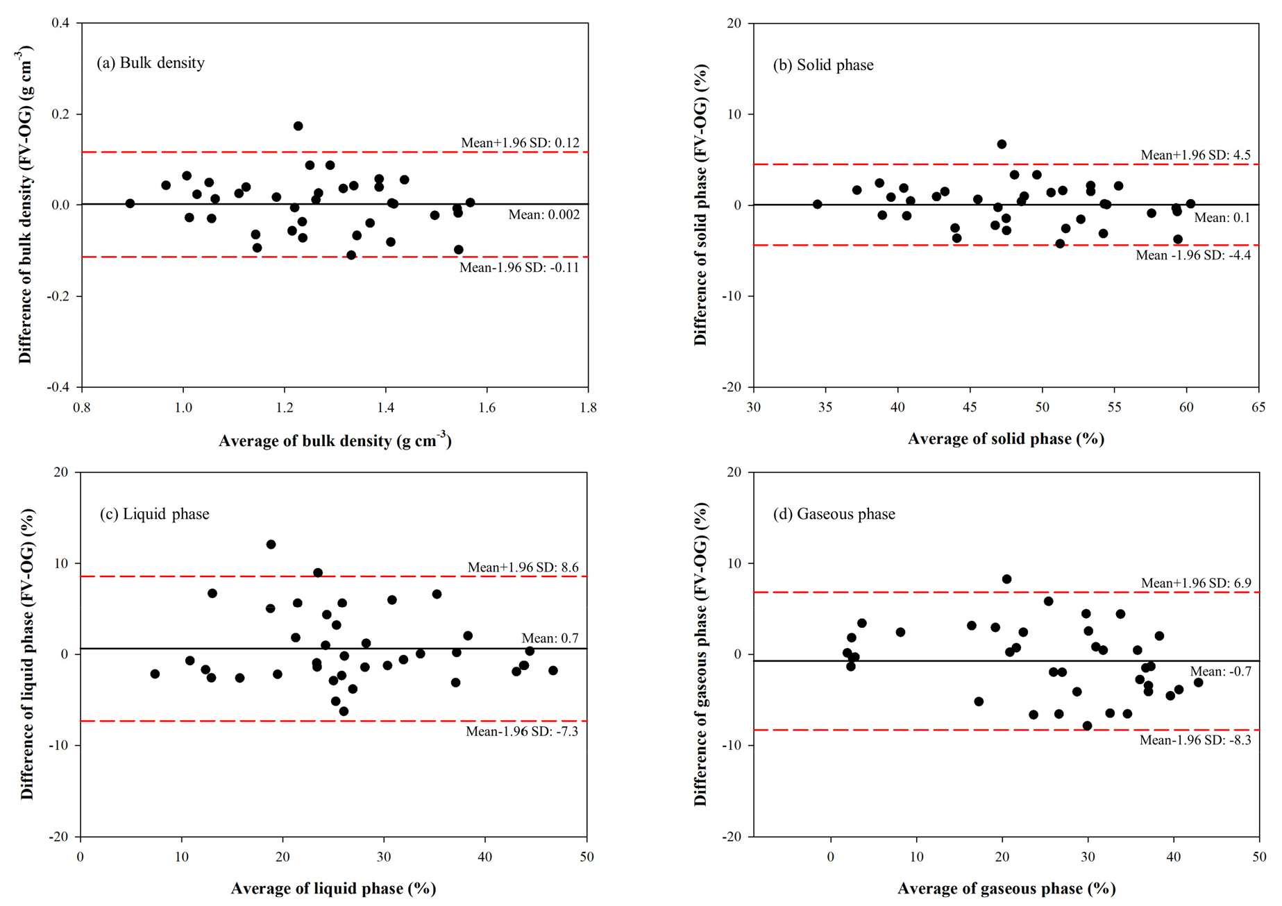
Fig. 6은 Bland-Altman plot을 이용한 분석법 간 일치도 평가 결과를 나타내고 있다. Jabro et al. (2020)은 용적밀도에 대한 코어법과 방사법 (radiation method)의 일치도를 평가하였다. 그 결과 1.26 - 1.63 g cm-3 범위에서 두 방법 간 차이가 -0.12 - 0.26 g cm-3로 나타났다. 코어법이 방사법보다 크게 측정되는 경향을 보였으며, 두 방법 간에 유의한 차이가 있었다. 본 연구에서는 FV 방법과 OG 방법 간 용적밀도 차이의 평균값이 0.002 g cm-3로 매우 낮았다 (Fig. 6a). 95% LoA (limits of agreement)는 -0.11 - 0.12 g cm-3로 측정범위 (0.89 - 1.57 g cm-3)에 비해 매우 좁은 수준이었다. 데이터는 특정 경향성이 없이 평균선에 고르게 분포하여 두 방법간 높은 일치도를 나타내었다.
고상 구성비에서는 두 방법 간 차이의 평균값은 0.1% 이었고 95% LoA는 -4.4 - 4.5%로 측정범위 (34.4 - 60.3%)에 비해 매우 좁은 수준이었다 (Fig. 6b). 용적밀도와 마찬가지로 데이터가 평균선 주위에 고르게 분포하였다. 이는 본 연구에서 개발한 FV 방법의 고상 구성비 계산식 (Eq. 6)이 경험식에 기반하기 때문으로 보인다. 액상 구성비에서는 두 방법 간 차이의 평균값이 0.7%로 FV 방법이 OG 방법보다 높게 측정되는 경향이 있었다 (Fig. 6c). 95% LoA는 -7.3 - 8.6%로 고상 구성비 보다 넓은 범위를 보였다. 액상 구성비 15 - 25% 구간에서 상대적으로 큰 편차를 보이는 데이터가 일부 관찰되었으나 대부분의 값이 95% LoA 내에 위치하고 있어 전반적으로 양호한 일치도를 보였다. 기상 구성비에서 두 방법 간 차이의 평균값은 -0.7%로 FV 방법이 OG 방법보다 낮게 측정되는 경향을 보였다. 95% LoA는 -8.3 - 6.9%로 측정범위 (0 - 45%)에 걸쳐 데이터가 특정 경향성 없이 고르게 분포하여 양호한 일치도를 보였다 (Fig. 6d).

Fig. 6
Bland-Altman plot for comparing soil bulk density and three-phase composition determined by the oven-dry gravimetric method and the simple field volumetric method. SD denotes standard deviation. Solid line and dash lines represent mean and 95% limits of agreement (mean ± 1.96 SD), respectively.
Bland-Altman 분석 결과, 용적밀도와 3상 구성비의 대부분의 데이터가 95% LoA 내에 분포하였다. 특히 용적밀도와 고상 구성비는 두 방법 간 차이의 평균값이 0에 가까워 일치도가 높았다. 액상 구성비와 기상 구성비에서는 서로 반대되는 경향을 보였는데 이는 Fig. 3c에서 확인할 수 있듯 서로 부의 상관관계에 있기 때문인 것으로 보인다. 두 방법 간 높은 일치도를 고려할 때, 현장 간이 체적 분석법은 실용적 가치가 있는 것으로 판단된다.
현장 간이 체적 분석법에 대한 신뢰도를 평가하기 위하여 Cronbach’s alpha 분석을 수행한 결과 용적밀도, 고상 구성비, 액상 구성비 및 기상 구성비에 대한 Cronbach’s alpha 값은 0.972, 0.972, 0.955 및 0.976이었다. Cronbach’s alpha가 0.7 이상이면 수용할 수 있는 수준 (acceptable)의 신뢰도라 할 수 있으므로 (George and Malley, 2019), 0.9 이상의 값은 탁월한 수준 (excellent)의 신뢰도가 있는 것으로 평가되었다.
이상의 민감도 분석에 근거하여 판단할 때 현장 간이 체적 분석법은 기존 코어분석법을 대체하여 현장에서 용적밀도와 3상 구성비 분석에 활용할 수 있을 것으로 판단된다.
Conclusion
본 연구에서는 토양의 용적밀도와 3상 구성비 (고상, 액상, 기상)를 간편하고 신속하게 측정할 수 있는 현장 간이 체적 분석법 (simple field volumetric method, FV)을 제안하고, 이를 기존의 오븐건조 중량법 (oven-dry gravimetric method, OG)과 비교 ‧ 검증하였다. 38개 토양 시료에 대한 병행 실험 결과, FV는 OG 대비 고상 (r2 = 0.8979), 액상 (r2 = 0.8382), 기상 (r2 = 0.9158), 용적밀도 (r2 = 0.8980) 항목 모두에서 높은 유의성 있는 (P < 0.01) 결정계수를 나타내었고, 대부분의 데이터가 Bland–Altman 분석에서 95% 신뢰구간 내에 위치하였다. 또한 Cronbach’s α가 전 항목에서 0.95 이상으로 나타나 두 방법 간 측정 일관성과 신뢰성이 확보되었음을 확인하였다. 따라서 FV 간이분석법은 현장에서 신속하게 용적밀도 및 3상 구성비 분석이 가능한 것으로 평가되었다. FV는 측정 시간 단축과 장비의 휴대성 측면에서 현장 적용성이 뛰어나며, 다짐, 배수 불량, 통기성 저하와 같은 토양 물리적 제약 요인을 실시간으로 현장에서 진단할 수 있는데 활용될 수 있는 잠재력을 가지는 것으로 판단된다.







