Introduction
고랭지배추는 수요와 공급에 대한 가격 반응이 매우 민감하여 생산량 변동에 따른 가격 편차가 큰 작목이다 (Ahn et al., 2014; Kim et al., 2015). 최근에는 재배면적 감소와 기상이변으로 가격 변동이 커짐에 따라 고랭지배추 가격은 매년 사회적 관심사가 되고 있다 (KREI, 2014). 따라서, 고랭지배추의 생육과 수량을 평가, 예측하여 수급 안정에 기여하기 위한 연구가 수행되고 있다 (Kim et al., 2015). Lee et al. (1996)와 Park et al. (2014)은 강우량, 기온, 일조시간 등 기상요인이 생산량 변동에 미치는 영향을 분석하였으며, Ahn et al. (2014)은 유효적산온도를 독립변수로 하여 고랭지배추의 생장과 수량을 예측할 수 있는 경험식을 제시하였다. Kim et al. (2015)은 기상변수와 수량 간의 회귀분석에 의한 추정은 최근 빈발하고 있는 기상이변과 병충해 등으로 인해 생산량을 예측하는데 한계가 있으므로 기상 자료와 주기적인 생육조사 자료를 기반으로 한 생산량 예측 모형을 제시하였다. 고랭지배추의 품질이나 수량에 직접적으로 영향을 미치면서도 상황에 따라 급변하는 병충해, 생리장해 등은 기상과 같은 환경 변수로 예측이 어렵기 때문에 (Kim et al., 2015) 주기적인 현장 조사 자료가 활용될 수 있다면 생산량 평가에 정확도를 높일 수 있을 것으로 판단된다. 그러나 고지대의 경사지에 위치한 고랭지배추밭의 지형적 특성을 감안하면 필지 별로 배추 생육상황을 주기적으로 조사하기에는 인력, 시간 등 많은 노력과 비용이 필요하다.
1960년대부터 본격적으로 개발되기 시작된 무인비행체 (UAV: Unmanned Aerial Vehicle)는 최근에 국방뿐 아니라 재난‧재해, 농업, 레저 등 다양한 분야에서 연구 및 활용되고 있다 (Choi et al., 2011). 무인비행체는 위성 등 기존 원격탐사 플랫폼에 비해 촬영범위는 좁지만 10 cm 안팎의 높은 해상도와 함께 사용자가 원하는 시기에 손쉽고 저렴하게 영상 자료를 수집할 수 있어 들녘 단위 농경지 (100~1,000 ha)의 원격 탐사 자료 수집에 유용하다 (Lee et al., 2015).
Lee et al. (2015)은 무인비행체를 활용하여 풋거름 재배단지를 촬영하고 식생의 특성을 잘 반영할 수 있는 식생지수를 활용하여 풋거름의 질소량을 추정한 바 있으며, Yun et al. (2016)은 무인비행체 영상을 활용하여 콩 군락의 피복 변화를 분석한 바 있다. Na et al. (2016a)은 2015년 무인비행체로 강원도 고랭지배추 주산지인 안반데기를 6월부터 9월까지 작기 동안 촬영하여 영상의 식생지수와 기상자료를 활용하여 배추의 초고, 엽장, 엽수 등 생육인자를 추정하는 회귀식을 제시한 바 있다. 그러나 이들 연구는 한 작기 동안의 영상자료를 기반으로 수행한 연구로서 연차 및 작물 재배단지별 시‧공간 차이에 따른 무인비행체 영상자료의 변동 특성과 작물 생육 모니터링 가능성에 대한 근거 제시는 부족한 실정이다.
따라서, 본 연구는 2015년과 2016년 2년 동안 대표적인 고랭지배추 주산지인 강릉시 안반데기, 태백시 매봉산, 귀네미에 대하여 영농기 동안 무인비행체 영상을 촬영하고 식생지수를 산정하여 시‧공간적 변화 특성을 분석함으로써 무인비행체 영상을 활용한 고랭지배추 생육 모니터링 가능성을 평가하고자 수행하였다.
Materials and Methods
연구대상지역 본 연구는 고랭지배추 주산단지인 강원도 강릉시 왕산면 대기리 안반데기 (37°37
31
N, 128°44
21
E), 태백시 창죽동 매봉산 (37°13
05
N, 128°57
58
E), 태백시 하사미동 귀네미 (37°20
21
N, 129°00
20
E)에서 수행하였다 (Fig. 1). 안반데기는 해발 1,100 m의 분지 지형으로 1965년부터 화전민에 의해 개간되어 현재는 약 200 ha의 면적에 배추, 양배추, 감자 등이 재배되고 있으며 (Na et al., 2016) 연구기간 동안 배추 정식시기는 대체적으로 6월 중하순부터 7월 상순까지였다. 매봉산도 해발 1,000~1,250 m 사이의 고위 평탄면에 위치하고 있으며 100 ha 내외의 면적에 주로 배추가 재배되고 있는데 연구기간 동안 배추의 정식은 5월말부터 시작되어 6월 초, 중순까지 집중되었다. 귀네미도 해발 1,000 m에 위치한 고랭지배추 주산단지로 약 50 ha의 면적에 배추를 재배하고 있는데 배추의 정식시기는 안반데기와 비슷한 6월 중하순부터 7월 상순까지였다. 이들 3개 단지는 대부분 ‘춘광’ (사카타코리아) 품종을 파종 후 약 25~30일 경에 정식하였는데, 재배면적이 300 ha 내외로 2015년 기준 고랭지배추 재배면적 4,368 ha에 약 7% 밖에 되지 않았으나 고랭지배추 재배지 중에서도 높은 곳에 위치하고 있어 준고랭지의 배추 출하가 끝나고 가을배추가 출하되기 전인 8월 중순부터 9월 중순까지 배추 생산량의 약 60%를 차지하고 있어 생산량에 따른 가격 변동에 매우 큰 영향을 미치는 곳이다.
배추 생육에 영향을 주는 기상자료는 강릉시 안반데기와 직선거리로 6 km 떨어진 대관령 기상대와 태백시 매봉산과 직선거리로 5 km 떨어진 태백 기상관측소에서 배추 생육이 왕성한 5월부터 8월까지 누적 강수량과 일평균 온도 자료를 수집하였다 (Fig. 2). 6월 중순까지의 누적 강수량은 2015년이 2016년에 비해 대관령 기상대의 경우 약 60 mm 정도 적었으며 태백시 기상관측소에서 측정된 누적강우량은 약 30 mm 정도 적었는데 안반데기의 경우 정식이 본격적으로 이루어지는 6월 중하순부터 장마가 시작되어 큰 영향이 없었으나 배추 정식이 5월말부터 시작되어 6월 초, 중순에 집중되는 매봉산의 경우 정식 후 초기 생육기간 동안에 강우량이 부족하여 정식이 지연되거나 다시 정식을 하는 필지도 있었다. 일 평균온도의 경우 8월 초순까지는 2016년이 2015년에 비해 대체적으로 약간 높거나 유사한 경향을 보였으나 배추 생육 후반기로서 병해에 취약한 8월 초순부터 하순까지 16일 동안은 2016년이 2015년에 비해 평균 3°C 정도 높은 값을 보였다.
무인비행체 영상 촬영 및 처리 무인비행체를 활용한 항공영상 촬영은 2015, 2016년 고랭지배추 재배기간 (5~9월) 동안 고정익 무인비행체 (Ebee, Sensefly, Swiss)를 활용하여 안반데기 24회, 매봉산 25회, 귀네미 24회의 영상을 수집하였다 (Table 1, Fig. 3).
무인비행체 영상의 해상도는 배추 주산지의 지형, 면적과 1회 비행 가능 면적을 고려하여 안반데기의 경우 12 cm, 매봉산은 8 cm, 귀네미는 10 cm로 설정하였다. 무인비행체에 탑재한 카메라는 필지별 작목 구분과 생육상황의 육안 판독을 위해 가시광선 영역인 녹색, 적색, 청색 영역의 카메라 (IXUS/ELPH, Cannon, Japan)와 반사율 및 식생지수 산정을 위해 녹색, 적색, 근적외 (중심파장 각 Green 525 nm, Red 625 nm, NIR 850 nm) 영역을 촬영할 수 있는 카메라 (S110, Cannon, Japan)를 번갈아 탑재하여 사용하였다 (Table 2).
영상 촬영 당시의 기상 환경은 무인비행체 비행 및 영상 촬영에 영향을 준다. 따라서 무인비행체 기체의 풍속센서로 측정되는 풍속을 기록하였으며, 촬영된 영상을 육안 판독하여 구름과 구름으로 인한 그림자의 양으로 A (0~10%), B (10~20%), C (20~30%), D (30~60%), E (70~90%)의 5 등급으로 나누어 표시하였다 (Table 3).
주산단지별 낱장으로 200~300장 정도 촬영된 무인비행체 영상은 영상전처리 프로그램 (Emotion, Sensefly, Swiss)을 활용해 비행체의 고도, 방향 등 위치 정보와 결합한 후 파장영역별 영상 합성 프로그램 (Tera3D, Sensefly, Swiss)을 통해 정합 (mosaic) 영상, 반사율 영상을 제작하였다 (Lee et al., 2016). 반사율은 입사 에너지에 대한 반사 에너지의 비율로서 물체의 종류와 특성을 나타내는 고유한 값이다 (Eq. 1). 식생지수는 단위가 없는 복사 값으로 식생의 활력도와 생육 현황을 나타내는 지표로써 (Cohen, 1991; Lyon et al., 1998; Richardson and Everitt, 1992) 본 연구에서는 1974년 Rouse 등이 개발한 이래로 식생의 생체량, 엽록소 함량, 질소량 추정에 널리 활용되고 있는 NDVI (Normalized Difference Vegetation Index) 식생지수를 산정하여 (Eq. 2) 분석에 활용하였다.
(Eq. 1)
여기서, DN (Digital Number)은 카메라에 기록되는 화소값이며, Sensor는 카메라 노출, 촬영 속도 등에 따른 카메라 특성 값, Illumination은 촬영된 영상을 기반으로 프로그램에서 추정한 입사 광량이다 (Pix4d, 2016).
(Eq. 2)
여기서, ρNIR은 근적외선밴드의 스펙트럼 반사율이며, ρRed는 적색밴드의 스펙트럼 반사율이다. NDVI는 -1에서 1까지의 범위를 갖는데 1에 가까울수록 식생의 활력이 높은 것을 의미한다. NDVI 영상 제작은 Leica사의 Erdas Imagine 및 ESRI사의 Arcgis Arcinfo 프로그램을 사용하여 수행하였다.
무인비행체 영상 NDVI의 시공간적 변동 분석 배추 생육에 따른 무인비행체 영상 NDVI의 시계열적 변화를 분석하기 위해 안반데기 9필지 (2015년 4필지, 2016년 5필지), 매봉산 12필지 (2015년 7필지, 2016년 5필지), 귀네미 15필지 (2015년 9필지, 2016년 6필지) 등 총 36개 필지를 대상으로 무인비행체 영상의 NDVI를 산정하였다 (Table 4).
고랭지배추 밭을 대상으로 산정한 무인비행체 영상의 NDVI가 배추 생장을 잘 모의할 수 있는지에 대한 가능성 검토를 위하여 본 연구에서는 고랭지 배추 성장 모의에 활용된 ‘Logistic growth function’ (Eq. 3)을 이용하여 정식 후 생육일수에 따른 배추의 무인비행체 영상 NDVI 변화가 생육 모형에 의해 적절하게 모의될 수 있는지 평가하였다. ‘Logistic growth function’은 시간 t에 따라서 증가하는 작물의 생장량 모의에 널리 사용되는 생육모형 (Berger, 1981; Byrne, 1980; Vanderplank, 1963)으로서 2003년부터 2006년까지 4년동안 고랭지배추의 건물중, 생체중, 엽면적 변화 모의에 적용된 바 있다 (Ahn et al., 2014).
(Eq. 3)
여기서, X는 모의하고자 하는 대상으로 본 연구에서는 NDVI 및 배추 생육인자이며, Xf는 X의 최고치이고, b0, b1와 t는 각각 곡선의 절편, 기울기 및 시간 (정식 후 생육일수)을 나타내는 계수이다.
작물 모형의 정확도 평가는 Relative Root Mean Square Error (이하 RRMSE), Model Efficiency (이하 ME), Index of Agreement (이하 IA) 지표 (Kim et al., 2012)를 활용하여 모형을 평가함으로써 무인비행체 영상의 NDVI가 작물의 생장 추세를 잘 반영할 수 있는지 분석하였다. RRMSE는 실측 값의 평균으로 RMSE (Root Mean Square Error)를 나눈 것으로 RMSE가 가지고 있는 단위 및 숫자의 크기에 기인한 판단오류를 방지할 수 있다.
(Eq. 4)
(Eq. 5)
여기서, Oi는 실측 값이고, Xi는 예측 값,
는 실측 값의 평균이다.
모형의 예측 값의 RRMSE가 실측 값의 변이계수보다 크다면 이 모형을 활용한 예측은 사실상 평균값을 활용하는 것보다 예측력이 떨어지게 된다. 이를 수치화하여 모형을 판별하는 지표가 ME로서 0 또는 음의 값을 보이면 모형은 무의미해지며, 0보다 크고 1에 가까울수록 우수한 모형으로 판단할 수 있다 (Kim et al., 2012).
(Eq. 6)
IA는 관측 값에 따라 실측 값이 일정한 방향성을 갖고 변동되는지를 판단하기 위해 사용되는 지표로서 1에 가까울수록 실측과 예측간의 일치도가 크고 0에 가까울수록 일치도가 떨어진다 (Eq. 7, Willmott, 1981).
(Eq. 7)
고랭지배추 재배단지 및 연차간 무인비행체 영상 NDVI 변화를 비교하기 위해 앞서 적합성 검토를 통해 적합성이 인정되는 연차 및 단지의 ‘Logistic growth function’을 선별하여 정식 후 경과일 수에 따른 NDVI 모의 값을 도시하고 연차 및 단지별 표준편차를 상호 비교, 분석하였다.
무인비행체 영상 NDVI와 배추 생육인자 비교, 평가 무인비행체 영상의 NDVI와 고랭지배추 생육인자 간의 상관관계를 분석하기 위해 안반데기 7필지 (2015년 4필지, 2016년 3필지), 매봉산 6필지 (2015년 3필지, 2016년 3필지), 귀네미 6필지 (2015년 3필지, 2016년 3필지) 등 총 19개 필지에 (Table 5, Fig. 4) 대하여 농촌진흥청 농업과학연구조사분석기준에 준하여 배추의 생장량을 추정할 수 있는 지표로서 초고 (Plant Height), 엽폭 (Leaf Width) 등 생육인자를 조사하였다. 생육 조사는 배추 정식 후 약 2주 간격으로 필지 별 10주씩을 대상으로 수행하였다. 무인비행체 영상 NDVI와 2년간의 생육조사 자료의 상관분석은 Microsoft사의 Excel 2010 프로그램을 이용하여 수행하였다.
Results and Discussion
고랭지배추 밭의 무인비행체 항공영상 NDVI 변화 3개 단지에서 정식일자를 조사한 필지를 대상으로 정식 이후 생육기간 동안의 NDVI 변화와 NDVI 값으로 구축한 ‘Logistic growth function’의 곡선을 도시한 것은 Fig. 5와 같았다. 안반데기, 매봉산, 귀네미 모두 정식 이후 생육일수에 따른 배추밭의 무인비행체 영상의 NDVI는 S형태의 (Sigmoid) 변화를 보였는데 정식 후 20일까지는 증가 속도가 느렸으나 20일 이후부터 40일까지 급격히 증가하여 40일 이후부터는 거의 일정한 값을 보였다. 안반데기와 귀네미의 경우 2015, 2016년의 NDVI 변화 양상이 대체적으로 유사하였으나 매봉산의 경우 2015년은 초기 NDVI 값이 낮다가 이후 급격히 증가하여 2016년의 정식 후 초기 NDVI 값과 차이를 보였다. 이는 2015년의 경우 6월 중순까지 봄 가뭄이 계속되었는데 안반데기 및 귀네미가 6월 중하순부터 정식이 시작된 반면에 매봉산의 경우 5월말부터 정식이 시작되어 정식 이후 봄 가뭄의 영향을 받아 초기 배추 생육이 부진하였기 때문으로 판단된다.
배추밭에 대한 무인비행체 영상 NDVI로 구축한 ‘Logistic growth function’의 계수와 모형의 평가 지표 값은 Table 6과 같았다. RRMSE는 2015년 매봉산을 제외하고는 8~12의 값을 보여 상대적인 정확도가 90%에 이르는 것으로 나왔다. 실측 값 보다 모형의 변이가 높은지 확인할 수 있는 ME 지표의 경우 1에 가까울수록 적합한 모형으로 평가하는데 본 연구에서는 연차 및 지역에 관계없이 모두 0.94 이상이 높은 값을 보였다. 실측 값과 예측값의 방향성을 나타내는 IA 지표의 경우 모형의 큰 문제가 없다면 0.9내외 또는 1에 가까운 값을 보이는데, 본 연구에서는 2년 동안 모든 단지에서 0.98의 높은 값을 보였다. 또한, 실측 값과 예측 값의 결정계수 (R2)는 0.95의 높은 값을 보였다. 따라서, ‘Logistic growth function’ 모형은 정식 후 생육 일수에 따른 NDVI의 변화를 잘 모의하는 것으로 판단되며, 이는 고랭지배추 재배지에 대한 무인비행체 영상의 NDVI 변화가 고랭지배추의 생육 변동 해석에도 활용될 수 있을 것임을 의미한다.
‘Logistic growth function’을 이용하여 연차 및 재배단지별 고랭지배추 밭의 무인비행체 영상 NDVI를 모의한 곡선은 Fig. 6과 같았다. 안반데기의 경우 2015년이 2016년에 비해 초기 NDVI 증가 속도가 약간 빨랐으나 20일 이후에는 2016년에 비해 느려지는 경향을 보였다. 귀네미의 경우에도 안반데기와 유사한 경향을 보였다. 그러나 매봉산의 경우 2015년의 봄 가뭄 영향으로 배추 정식 후 초기에는 낮은 값을 보였으나 이후 급격히 증가하는 경향을 보였다. 연차 별로 성장속도의 일부 차이가 있었으나 강릉에 위치한 안반데기와 태백에 위치한 매봉산, 귀네미와는 단지별 연차간 차이에 비해 지역 간의 차이가 좀 더 뚜렷이 보였다. 안반데기의 경우 2015, 2016년 모두 정식 후 20일이 지나면서 NDVI의 성장속도 및 NDVI 최고 값이 태백에 위치한 매봉산, 귀네미 단지의 NDVI에 비해 높은 경향을 보였으며, 매봉산과 귀네미의 배추 밭 NDVI는 2015년 매봉산을 제외하고는 대체적으로 유사한 경향을 보였다. 이러한 결과는 연차 및 단지별 NDVI 모의 값 간의 표준편차 산정을 통해서도 확인할 수 있었다 (Table 7). 안반데기와 매봉산 단지의 NDVI 간의 표준편차는 0.083~0.092, 안반데기와 귀네미 단지의 NDVI 간의 표준편차는 0.045~0.067로 안반데기의 2015, 2016년 연차간 NDVI 비교 시 표준편차 값 0.029에 비해 2~3배 높은 값을 보였다. 매봉산 및 귀네미의 경우에는 2015년 매봉산 단지의 NDVI 값을 제외하면 두 단지 NDVI 간의 표준편차는 0.25~0.40으로 연차별 및 단지별 뚜렷한 차이를 보이지 않았다. 배추 품종이 동일함에도 연차간에는 유사한 NDVI 변화를 보이나 단지별로 지역에 따라 NDVI의 변화가 달랐던 것은 배추 생육에 큰 영향을 주는 기상 요인과 영농재배 기술 등이 지역 간의 거리 차가 커질수록 상이하였기 때문으로 판단된다. 2년간의 연구 결과이지만 단지별로 지리적 위치에 따라 정식 후 생육일수에 따른 NDVI 값 변화에 차이를 보이고 있음으로 추후 지속적인 무인비행체 영상 촬영을 통하여 누적 영상 NDVI에 기반한 생육 모니터링 가능성도 연구해야 할 것으로 판단된다.
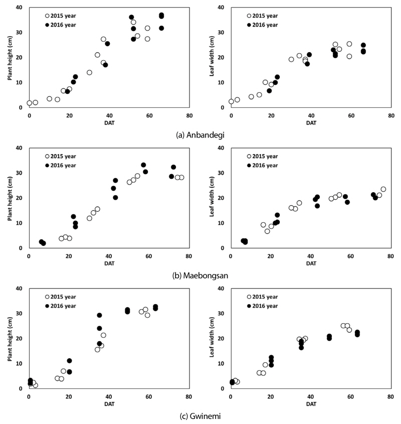
무인비행체 항공영상 NDVI와 배추 생육인자 비교 2015년과 2016년 영농기 동안 생육조사 지점에서 배추의 초고 및 엽폭을 측정하여 정식 후 생육일수에 따라 도시하고 ‘Logistic growth function’에 적용한 결과는 Fig. 7, Table 8과 같았다. 안반데기, 매봉산, 귀네미 모두 정식 이후 20일 까지는 생육 속도가 느렸으나 20일 이후부터는 급격히 빨라지는 경향을 보이다 생육 후반기에는 정체되는 경향을 보였다. 초고의 경우 엽폭에 비해 생육 증가 속도가 커서 30~35 cm까지 자랐으나 엽폭의 경우에는 정식 후 20~25 cm까지 자랐으며 초고에 비해 생육 증가 속도의 둔화가 더 빨랐다. 안반데기와 귀네미의 경우 정식 후 생육일수 경과에 따른 초고와 엽폭의 변화는 연차별로 뚜렷한 차이를 보이지 않고 유사한 변화 경향을 보였다. 2015년 매봉산 단지의 경우 정식 후 20일까지 배추 초고가 3.9 cm로 같은 시기 안반데기와 귀네미에서 조사한 초고 7~7.4 cm에 비해 작은 값을 보였으나 무인비행체 영상 NDVI에 비해 가뭄으로 인한 영향을 뚜렷하게 관찰할 수 없었다. 이는 정식 후 초기 생육기간 동안의 생육조사 횟수가 부족했던 것과 함께 매봉산 단지의 전체적인 NDVI 변화 분석을 위해서는 2015년 6월 초순부터 중순까지 정식일자가 골고루 분포한 7개 필지 (Table 4)에 대해서 영상 NDVI를 산정하여 분석하였으나, 생육조사 필지의 경우에는 6월 중순에 정식한 3개 필지만을 (Table 5) 대상으로 조사하였기 때문으로 판단된다.

조사된 생육인자를 ‘Logistic growth function’에 적용한 결과, 2년 동안 3개 단지에서 조사한 초고 및 엽폭 모두 5~15의 낮은 RRMSE와 0.95 이상의 높은 ME, AI 값을 보였으며, 실측 값과 예측 값의 결정계수 (R2)는 초고의 경우 0.94 이상, 엽폭의 경우 0.95 이상의 높은 값을 보여 ‘Logistic growth function’이 배추의 초고와 엽폭 변화를 잘 모의하고 있음을 확인할 수 있었다.
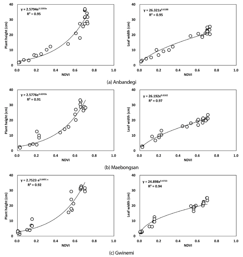
무인비행체 영상 NDVI와 배추 생육인자 간의 관계를 도시한 것은 Fig. 8과 같았다. NDVI와 초고는 e를 밑 (base)으로 하는 자연 지수적 (natural exponential) 관계를 보였으며 결정계수 (R2)가 0.91~0.95로 높은 상관관계를 보였다. 엽폭의 경우에는 NDVI값을 밑으로 하는 거듭제곱 (power) 관계를 보였는데 결정계수 (R2)가 0.94~0.97로 높은 상관관계를 보였다. 무인비행체 영상 NDVI와 초고의 관계가 지수적 관계를 보인 것은 NDVI의 경우 작물로 농경지 표면이 피복 된 후에는 거의 일정한 값을 보이게 되는데, 배추 정식 후 40일부터 NDVI 값이 최고 값에 도달한 반면 초고는 생육 속도가 차츰 감소하긴 하였으나 배추 정식 후 60일까지도 생장이 계속되었기 때문이다. 반면 엽폭의 경우 정식 후 20일까지 초기 생육 속도는 초고보다 빨랐으나 정식 후 40일까지 증가한 이후에는 거의 일정한 값을 보였기 때문으로 판단된다. 이러한 결과는 무인비행체 영상 NDVI와 풋거름 작물 질소함량의 지수적 관계 (Lee et al., 2015), 무인비행체 영상 식생지수와 보리, 밀의 초장, 건물중 등 생육인자와 지수적 관계 (Na et al., 2016b), 무인비행체 영상 NDVI와 이탈리안라이그라스 (IRG)의 초장, 건물중 등 생육인자와의 거듭제곱 관계 (Na et al., 2016c)를 보고한 기존 연구와 유사한 결과로써 고랭지배추 생육 모니터링을 위한 무인비행체 영상 NDVI의 활용 가능성을 보여주는 것이라 할 수 있다.
Conclusions
생산량 변동에 따른 가격 편차가 큰 작목인 고랭지배추에 대하여 무인비행체 영상을 활용한 생육 모니터링 적용 가능성을 평가하고자 2015년과 2016년 2년 동안 대표적인 고랭지배추 주산지인 강릉시 안반데기, 태백시 매봉산, 귀네미에 대하여 영농기의 무인비행체 영상을 73회 촬영하고 반사율 및 식생지수를 산정하여 시‧공간적 변화 특성을 분석하고 배추 생육인자 조사 결과와 비교하였다. 그 결과 고랭지배추의 생장량을 잘 모의하는 것으로 알려진 ‘Logistic growth function’ 으로 고랭지배추 밭의 무인비행체 영상 NDVI를 적용하여 모형을 구축하고 정확도를 평가한 결과 높은 정확도 및 결정계수 (R2)를 보였다. 또한, 무인비행체 영상 NDVI와 배추 생육인자인 초고 및 엽폭의 관계를 분석한 결과 초고의 경우 결정계수 (R2) 0.91~0.95, 엽폭의 경우 결정계수 (R2) 0.94~0.97로 높은 상관관계를 보여 무인비행체 영상 NDVI를 활용한 고랭지배추 생육 모니터링 가능성을 확인할 수 있었다. 2년간의 연구 결과이지만 단지별로 지리적 위치에 따라 정식 후 생육일수에 따른 NDVI 값 변화에 차이를 보이고 있음으로 추후 지속적인 무인비행체 영상 촬영을 통하여 누적 영상 NDVI에 기반한 생육 모니터링 가능성도 연구해야 할 것으로 판단된다.

















