Introduction
Materials and Methods
시험포장 및 토양특성
토양 이화학성 분석
통계분석
작물 재배기간 중 기상 상황
Results and Discussion
심토파쇄에 따른 토양 물리성 변동
심토파쇄 및 석고시용에 따른 염농도 변동
석고시용에 따른 토양 화학성 변동
심토파쇄 및 석고시용에 따른 콩 수량
Introduction
개발 초기 간척지 토양은 일반적으로 염농도와 pH가 높고 Na, Mg 함량이 많은 반면, Ca 함량이 적다. 또한 토양구조가 잘 발달되어 있지 않고 지하수위가 높아서 수직배수가 불량하며, 밭 상태에서는 수분이 증발할 때 염분이 토양 표면에 집적된다 (Kim et al., 1997). 따라서, 간척지에서 밭작물 재배를 위해서는 토양의 제염과 함께 토양의 이화학성 개량이 필요하다. 간척지토양의 염농도를 낮추기 위해서는 제염 과정 중 충분한 수리전도도를 유지시켜주는 것이 중요하며, 이를 위해 석고 등과 같은 토양개량제를 공급하여 토양내 치환성나트륨을 치환시키고 동시에 토양구조를 발달시켜 제염 진행 중에 투수성이 감소되는 것을 방지해야 한다 (Koo et al., 1988). 석고 (CaSO4·2H2O)의 용해도는 25°C에서 0.207 g/100 g H2O로 높아 토양과 작물에 대한 칼슘 공급 능력이 탁월하고 NaCl 수용액 (5.24 mole L-1)에서는 이종 이온 효과에 의해 용해도가 더욱 높아져 0.647 g/100 g H2O의 용해도를 나타내는 것으로 보고 되었다 (Bock, 1961). 간척지 토양은 석고의 혼합 비율이 증가할수록 수리전도도가 증가되었으며 (Ryu et al., 2010), 석고의 혼합은 점토의 분산과 팽윤을 경감하고 이로 인해 토양공극의 크기가 감소 또는 폐쇄되는 것을 경감하여 투수성을 개선하고 제염을 촉진할 수 있다 (Koo et al., 1988).
지금까지 간척지 토양의 제염 촉진 기술로 암거배수가 활용되고 있으나 시공에 많은 비용이 소요되어 간척지 전 면적에 적용하는 것은 불합리하다. 따라서 간척지 환경조건에 따라 적용할 수 있는 경제적 토양관리기술의 개발이 필요하다.
Miyamoto et al. (2011)은 토양관리 방법이 염류 용탈에 미치는 영향을 시험한 결과, 심토파쇄 (ripping), 최소경운(minimum-till chiseling), 토층개량 (soil profile modification)이 염류의 용탈을 개선하였으며 이중 토층개량이 가장 효과적이라고 보고하였다. Rasmussen et al. (1972)은 깊이갈이, 심토파쇄, 석고처리의 토양개량 효과에 대한 시험을 수행하여 깊이갈이 (90 cm), 석고 시용, 석고 + 깊이갈이 처리는 염류토양의 개량에 효과적이었고, 염류토양은 깊이갈이만으로도 개량되었다고 보고하였다. 지금까지 국내에서는 간척지 논에서 제염촉진을 위한 암거배수, 토양개량제 활용 및 제염용수량 산정 등에 대한 연구는 다수 수행되었으나 밭 조건에서 토양 이화학성 개량 및 제염 촉진에 대한 연구는 부족한 실정이다 (Jung and Kim, 1970; Kim et al., 1997; Son et al., 2000; Sohn et al., 2007). 본 연구에서는 석고 시용과 심토파쇄 처리가 간척지 토양 이화학성 개선 및 제염 촉진에 미치는 효과를 구명하고자 시험을 수행하였다.
Materials and Methods
시험포장 및 토양특성
본 연구는 2019년에 농촌진흥청 국립식량과학원 소속의 새만금간척지 광활시험지 포장에서 시험을 수행하였다. 시험토양은 문포통이었고 염농도 수준별 시험을 수행하기 위하여 저염시험구와 고염시험구를 조성하였다. 고염시험구는 시험포장에 천일염을 이용하여 토양 40 cm 깊이까지 토양 염농도가 0.2% (EC 3.1 dS m-1) 수준이 되도록 조성하였고 저염시험구는 시험포장의 토양 염농도가 표토 (0 - 20 cm) 0.3 dS m-1, 심토 (20 - 40 cm) 0.9 dS m-1로 낮으므로(Table 2) 별도의 염분 처리 없이 시험구를 조성하였다. 토양의 염농도 조건별로 심토파쇄구와 석고시용구 및 석고와 심토파쇄를 모두 처리한 시험구 (심토파쇄 + 석고)를 2반복으로 두었으며 석고 처리는 4,000 kg ha-1을 시용하였고 심토파쇄 처리는 트랙터 부착용 심토파쇄기 (탄환직경 7 cm)를 활용하여 1 m 간격, 50 cm 깊이로 처리하였다 (Fig. 1). 시험작물로는 콩을 재배하였고 재배방법은 Table 1과 같았으며 콩의 생육 및 수량조사는 농촌진흥청 농업과학기술 연구조사 분석기준 (2012)에 준하여 실시하였다.
Table 1.
Cultural practices of experimental crop.
| Crop | Seeding date | Seeding rates |
Amount of applied fertilizer (N-P2O5-K2O) |
Seeding distance | Harvest date |
| kg 10a-1 | kg 10a-1 | cm | |||
| Soybean (Daepoong) | 6.11 | 4 | 5.7-7.4-5.7 | 60 × 20 | 11.12 |
Table 2와 Table 3에 시험 토양의 이화학성을 나타내었다. 표토의 화학성 (Table 2)은 유기물 함량이 2 g kg-1으로 콩 재배 적정범위 20 - 30 g kg-1 에 비해 낮았고 유효인산도 30 mg kg-1으로 적정범위 150 - 250 mg kg-1에 비해 매우 낮았다. 치환성양이온에 있어서는 치환성 K 함량은 0.42 cmolc kg-1로 적정기준 0.45 - 0.55 cmolc kg-1에 근접하였으나 치환성 Ca은 0.9 cmolc kg-1로 적정기준 6.0 - 7.0 cmolc kg-1에 크게 부족하였고 치환성 Mg 또한 1.2 cmolc kg-1로 적정범위 2.0 - 2.5 cmolc kg-1에 비해 부족하였다. 또한 양이온교환용량 (Cation exchange capacity; CEC)도 6.7 cmolc kg-1로 콩 재배 적정기준 10 - 15 cmolc kg-1에 크게 부족하였다. 시험토양의 입경조성은 미사와 점토의 함량이 낮고 모래의 함량이 73.2%로 높은 사양토의 토성을 나타내었다 (Table 3). 전반적으로 볼 때, 토양의 염농도는 표토에서 0.3 dS m-1로 콩 재배가 가능할 정도로 낮았으나 토양의 이화학성은 콩 재배에 불리하였다.
Table 2.
Soil chemical properties of the experimental field used in this experiment.
|
pH (1:5) |
EC (1:5) | OM† | Av.P2O5 | Ex. cations | CEC | ||||
| K | Ca | Mg | Na | ||||||
| dS m-1 | g kg-1 | mg kg-1 | ----- cmolc kg-1 ----- | cmolc kg-1 | |||||
| Top soil | 7.2 | 0.3 | 2 | 30 | 0.42 | 0.9 | 1.2 | 0.7 | 6.7 |
| Subsoil | 6.9 | 0.9 | 2 | 28 | 0.41 | 0.8 | 1.4 | 1.0 | 6.8 |
Table 3.
Soil physical properties of the experimental field used in this experiment.
| Soil depth | Particle-size distribution | Soil texture | ||
| Sand | Silt | Clay | ||
| ----------------- % ----------------- | ||||
| Top soil (0 - 20 cm) | 73.2 | 20.6 | 6.2 | Sandy Loam |
| Subsoil (20 - 40 cm) | 74.7 | 19.4 | 5.9 | Sandy Loam |
토양 이화학성 분석
토양 시료는 표토 (0 - 20 cm)와 심토 (20 - 40 cm)를 채취하여 음건한 후 2 mm 체를 통과한 것을 이화학성 분석에 사용하였다. 토양 이화학성 분석은 농촌진흥청의 토양화학분석법 (NIAST, 2010)에 준하여 분석하였다. 토양산도 (pH)와 전기전도도 (Electric conductivity; EC)는 증류수 1:5 침출법, 토양유기물 (OM)은 원소분석기 (Vario Max CNS, element analyser systeme GmbH, Germany)를 사용하여 분석하였고 유효인산 (Av. P2O5)은 Lancaster법으로 분석하였다. 치환성양이온(Ex. Ca, K, Mg, Na)은 1N-NH4OAC (pH 7.0)로 침출하여 ICP (Varian Vista-MPX, Varian Inc, USA)로 분석하였으며 양이온치환용량 (Cation exchange capacity)은 1N-NH4OAC (pH 7.0)로 토양을 NH4+로 포화시킨 후 킬달증류법으로 분석하였다. 토양 입도 분석은 토양을 5% Sodium hexameta-phosphate 용액으로 분산시킨 후 비중계법으로 분석하였고 용적밀도, 공극률 및 토양 3상은 토양시료를 100 cm3 코어로 채취하여 분석하였다. 토양의 투수속도는 시험포장에 6인치 코어 (USDA Soil Quality Test Kit)를 설치한 후 투수에 소요되는 시간을 측정하여 산정하였다. 이 때, 코어는 심토파쇄 처리 지점, 심토파쇄 처리 측면 25 cm 지점, 심토파쇄 처리 간 중간 지점 (처리 측면 50 cm 지점)에 3반복으로 설치하였다.
통계분석
석고 시용과 심토파쇄 효과에 대한 통계분석을 위해 R (version 3.5.1) 프로그램을 이용하여 분산분석을 실시하였고 95% 수준에서 Duncan’s multiple range test로 유의성을 분석하였다.
작물 재배기간 중 기상 상황
콩 재배기간 중 강우량 및 증발산량을 Fig. 2와 Table 4에 나타내었다. 증발산량은 Penman-Monteith equation (Allen et al., 1998)으로 산출하였으며 6월, 7월, 9월은 강우량이 증발산량보다 많았고 8월은 증발산량이 강우량보다 약간 많았다. 6.11 - 10.31까지 10 mm 이상 강우일수는 17일로 강우가 지속되고 있었고 콩 재배기간 중 강우량 595.5 mm, 증발산량 408.2 mm으로 전체적으로 강우량이 증발산량보다 많아 토양의 제염이 보다 촉진되고 재염화로 인한 염피해 가능성이 상대적으로 적은 기상 조건이었다.
Results and Discussion
심토파쇄에 따른 토양 물리성 변동
시험포장 (저염시험구)에서 심토파쇄 실시 후 토양의 물리성 변동을 조사하였다. Table 5에 심토파쇄 실시 후 토양의 깊이별 용적밀도, 공극률 및 토양3상 조사 결과를 나타내었다. 심토파쇄 처리 결과, 토양깊이 0 - 20 cm와 20 - 40 cm에서는 대조구와 차이를 보이지 않았으나 토양깊이 40 - 60 cm에서는 심토파쇄 처리에서 용적밀도가 감소하고 공극률은 증가하였으나 그 차이는 크지 않았다. Yoo et al. (2006)은 논 (전북통)에서 심토파쇄를 통해 토양의 경도, 용적밀도, 고상이 낮아지고 공극률이 증가되어 토양 물리성이 개선되었으며 벼 수량이 증대되었다고 보고한 바 있다. 그러나 본 연구에서 심토파쇄에 따른 토양물리성의 차이가 크지 않았는데, 이는 시험토양의 토성이 모래 함량이 높은 사양토이기 때문으로 상대적으로 심토파쇄의 효과가 적었기 때문으로 판단되었다 (Table 3). 심토파쇄 실시 후 시험포장의 투수속도를 조사한 결과를 Fig. 3에 나타내었다. 시험포장의 투수속도는 대조구 대비 심토파쇄 처리 지점 150% 증가, 처리 측면 25 cm 지점에서 49% 증가, 심토파쇄 처리 간 중간 지점 (처리 측면 50 cm 지점)에서 4% 증가하였다.
Table 5.
Bulk density, porosity and soil 3 phase as affected by subsoiling.
심토파쇄 및 석고시용에 따른 염농도 변동
저염 조건에서 콩 재배기간 중 시험구별 염농도 변동 양상을 Fig. 4에 나타내었다. 표토의 염농도는 석고가 포함된 처리 (석고, 석고 + 심토파쇄)에서 8월 12일 EC가 1.8 dS m-1까지 증가하는 경향을 보였으나 심토파쇄 처리구와 대조구에서는 1 dS m-1 이하의 낮은 수준으로 유지되었다. 석고가 시용된 시험구에서 EC가 증가한 것은 석고가 토양 중 용해되어 염농도를 높였기 때문으로 판단되었다. 심토 (20 - 40 cm)와 표토 + 심토 (0 - 40 cm)의 염농도는 석고 > 석고 + 심토파쇄 > 대조구 ≒ 심토파쇄 순을 나타내었다. 석고 + 심토파쇄구가 석고시용구보다 더 낮은 염농도를 나타낸 것은 심토파쇄 처리에 의한 투수성 증가로 토양의 제염이 좀더 진행되었기 때문으로 판단되었다. 심토파쇄 처리구와 대조구 사이에 염류농도의 차이가 크게 보이지 않은 것은 시험포장의 토성이 모래함량이 많은 사질토양이고 시험 전 토양의 염농도가 낮았기 때문으로 판단된다. 고염 조건에서 시험구별 염농도 변동 양상을 Fig. 5에 나타내었다. 표토의 염농도는 모든 처리에서 크게 감소하여 7월 30일에 0.6 dS m-1 이하의 수치로 감소하였다. 7월 30일 이후에 토양의 염농도는 석고가 포함된 처리 (석고, 석고 + 심토파쇄)에서 1.4 dS m-1이하의 수치를 나타내었고 심토파쇄구와 대조구는 0.6 dS m-1이하의 수치를 나타내었다. 심토 (20 - 40 cm)의 염농도는 석고 > 대조구 > 석고 + 심토파쇄 > 심토파쇄 순을 나타내었고 표토 + 심토 (0 - 40 cm)의 염농도는 석고 > 석고 + 심토파쇄 ≒ 대조구 > 심토파쇄 순을 나타내었다. 표토와 심토의 EC를 종합하여 볼 때, 시험포장의 염농도는 석고가 포함된 처리 (석고, 석고 + 심토파쇄)에서 EC가 증가하는 경향을 보였고 심토파쇄가 포함된 처리 (심토파쇄, 석고 + 심토파쇄)에서 EC가 상대적으로 낮은 경향을 보였다. 이는 심토파쇄 처리가 토양의 투수성을 개선하여 토양의 제염을 촉진했기 때문으로 판단된다. Chang et al. (1986)은 심토파쇄 처리만으로는 토양의 염농도에 영향을 못주나 관개조건에서는 심토파쇄가 염류토양의 제염을 촉진하여 토양의 염농도를 저하시켰다고 하였는데, 본 시험에서는 관개 처리를 하지는 않았지만 시험기간 중 강우가 지속적으로 충분한 양이 내렸으며 증발산량에 비해 강우량이 더 많았기 때문에 토양의 제염이 촉진된 것으로 판단된다 (Fig. 2, Table 4).
석고시용에 따른 토양 화학성 변동
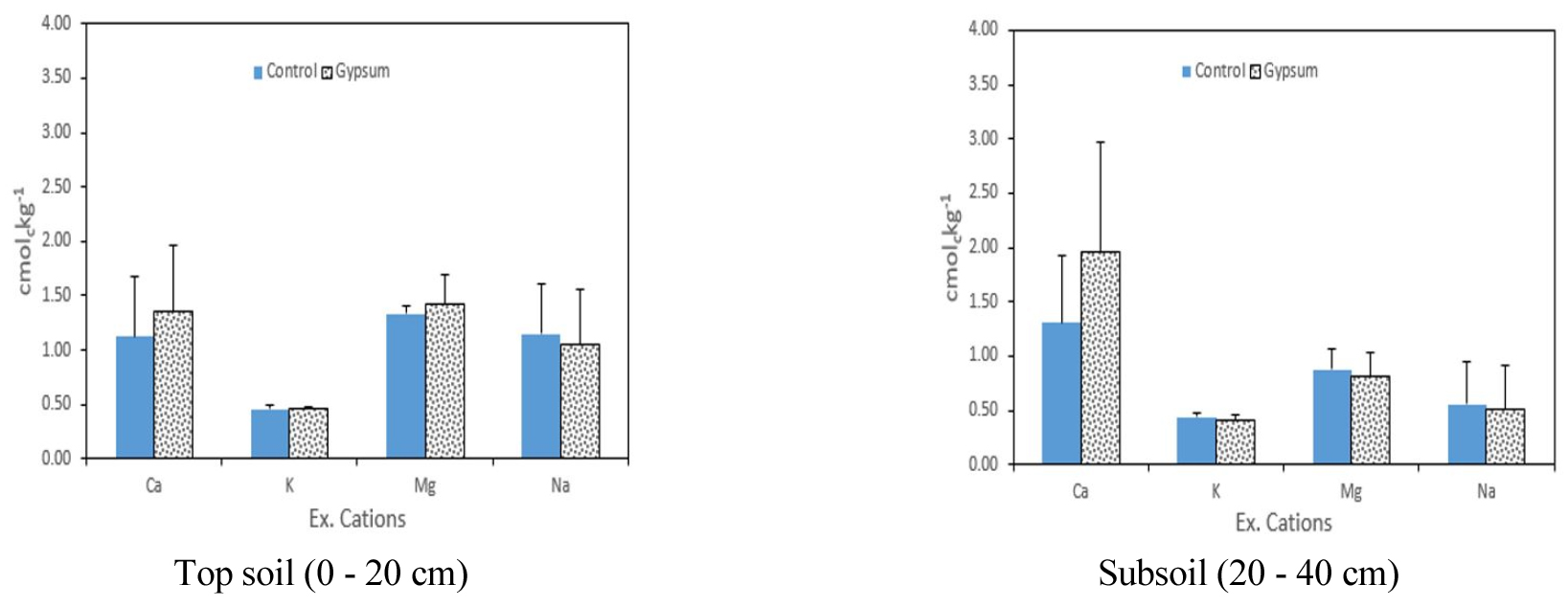
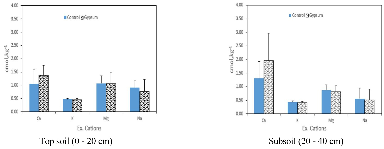
저염 조건에서 석고 시용에 따른 토양의 치환성양이온 변동을 Fig. 6에 나타내었다. 표토의 치환성양이온은 대조구 대비 치환성 Ca은 20.0% 증가하였고 치환성 Mg은 6.4% 증가한 반면, 치환성 Na은 9.0%, 치환성 K은 0.5% 감소하였다. 심토의 치환성양이온은 치환성 Ca 함량은 49.3% 증가하였으나 치환성 K, Mg, Na 함량은 각각 5.4%, 8.0%, 7.8% 감소하였다. 고염 조건에서 석고 시용에 따른 토양의 치환성양이온 변동을 Fig. 7에 나타내었다. 표토의 치환성양이온은 치환성 Ca은 30.2% 증가한 반면, 치환성 K, Mg, Na 함량은 각각 6.5%, 0.8%, 16.4% 감소하였다. 심토의 치환성양이온은 치환성 Ca는 78.1%, 치환성 K는 3.9% 증가한 반면, 치환성 Mg와 Na는 각각 2.1%, 18.7% 감소하였다. 표토와 심토를 종합적으로 고려할 때, 저염 및 고염조건 모두에서 석고처리에 따라 치환성 Ca함량은 증가하고 치환성 K, Mg, Na 함량은 감소하였다. 특히 치환성 Ca과 치환성 Na은 뚜렷한 변화를 나타내었다. 이와 같은 연구결과는 간척지에서 석고의 시용이 토양의 양이온 함량에 미치는 영향 조사한 결과, 석고의 처리가 토양중 Ca의 함량을 증대시키고 K, Na, Mg 함량을 감소시켰다고 보고한 기존의 연구결과와 같은 경향이었다 (Sohn et al., 2007; Baek et al., 2008; Choi et al., 2010).
심토파쇄 및 석고시용에 따른 콩 수량
저염 조건에서 콩의 생육 및 수량을 Table 6에 나타내었다. 콩 수량은 석고 + 심토파쇄 > 심토파쇄 > 석고 시용 > 대조구 순을 나타내었고 심토파쇄 및 석고 시용으로 콩 수량이 증가한 결과를 나타내었으며 심토파쇄와 석고가 모두 처리된 시험구에서 수량이 가장 높았다. 석고의 시용이 콩 수량에 미치는 영향에 대한 기존의 연구는 콩 수량을 증대시킨다는 결과 (Fageria et al., 2014)와 콩 수량의 증대에 효과가 없다는 결과 (Raut et al., 2020)가 모두 있었다. 본 연구에서 석고 시용에 따라 콩 수량이 증대되었는데, 이는 Fageria et al. (2014) 등이 제시한 바와 같이 석고의 시용이 토양의 치환성 Ca 함량과 염기포화도를 높이고 이러한 토양의 화학적 변화는 뿌리의 생육과 양분의 흡수를 양호하게 하여 콩 수량을 높이게 되었기 때문으로 판단되었다. 저염 조건에서 심토파쇄에 따라 수량이 증가한 것은 제염의 효과 보다는 재배 초기에 배수개선의 효과 때문으로 판단되었다. 고염 조건에서 콩의 생육 및 수량을 Table 7에 나타내었다. 콩은 경장 64 - 75 cm 정도의 생육을 보였으나 재배 초기에 나타난 염피해를 극복하지 못하고 8. 7 경에 처리별로 52 - 68%의 고사율을 보였으며 수확기인 10.18 경에는 시험 처리에 관계 없이 모두 고사하였다.
Table 6.
Yields of soybean as affected by gypsum application and subsoiling in the experimental plot with low soil salinity (EC < 1.0 dS m-1).
Table 7.
Growth characteristics of soybean as affected by gypsum application and subsoiling in the experimental plot with high soil salinity (EC = 3.1 dS m-1).
| Treatment | Culm | Withering rate (%) | |
| 8. 7. | 10. 18. | ||
| cm | |||
| Gypsum + Subsoiling | 75.4 | 63 | 100 |
| Subsoiling | 72.4 | 55 | 100 |
| gypsum | 63.8 | 52 | 100 |
| Control | 70.7 | 68 | 100 |
이상의 결과를 종합하여 볼 때, 새만금 간척지에서 석고의 시용은 간척 초기 토양에 부족한 치환성 Ca을 증진시키고 과량으로 존재하는 치환성 Na, Mg, K을 감소시켜 토양의 이화학성을 개선할 수 있는 것으로 판단되었고 심토파쇄 처리는 간척지 토양의 투수성을 일정 부분 개선할 수 있는 것으로 나타나 간척지 토양환경 조건과 재배작물에 따라 토양의 제염에 적용할 수 있을 것으로 판단되었다.










