Introduction
논 토양에 대한 정밀토양조사는 1964년부터 1979년까지 농촌진흥청 농업기술연구소에서 주관해 지형, 지역, 토양통, 층위 등 물리화학성 DB자료를 구축하였다. 이후 논토양에 대한 화학적 변동조사는 「친환경농어업 육성 및 유기식품 등의 관리, 지원에 관한 법률」 제11조 제1항에 따라 1999년부터 2015년까지 4년 단위로 농촌진흥청과 각 도 농업기술원이 공동으로 조사하였다. 아울러, 각 도 농업기술원과 시⋅군 농업기술센터에서는 농업인의 적절한 토양 관리 및 작물 재배를 위해 토양분석 시스템을 구축하여 토양검정 및 시비처방 서비스를 제공하고 있으며, 이는 농업인에 대한 영농지도가 한층 과학적이고 체계적으로 이루어지는 데 큰 역할을 하고 있다.
토양과 벼 품질특성과 관련하여 토양유기물은 토양의 화학성과 물리성을 동시에 개선시킬 수 있는 장점이 있으며, 이는 작물 생산성과 밀접한 연관을 갖는다. 국내외 여러 연구기관에서는 오래 전부터 퇴비를 비롯한 각종 개량제와 비료를 장기 연용하면서, 토양특성과 수량변화 양상을 구명하기 위한 연구가 지속적으로 수행되어 왔다 (Aramy and Kemper, 1991; Yang et al., 2006). 쌀 품질의 품종과 환경 간 상호작용은 주요 기상요인의 면밀한 검토 (Jeong, 1984; Choi et al., 1990)가 필요하고, 쌀의 분상질립, 심복백립 등 외관 품질과 이화학적 성분은 품종, 재배지역, 토양 및 시비량 등에 따라 다르게 나타난다 (Ueda et al., 1998).
식량작물로서 벼는 아직도 농업인의 주요 재배작물로서 농업인 영농지도에 기본으로 인식되고 있다. 따라서. 본 연구에서는 충청남도 연기군 논토양의 화학적 특성과 벼 품질 특성을 중심으로 결과를 상호 비교 검토하는 한편, 벼 재배 농업인에 대한 영농지도 관점에서 접근하여 영농지도 자료로 활용하고자 하였다.
Materials and Methods
조사 대상 논은 세종특별자치시 (충청남도 연기군)의 연동면, 연서면, 전의면, 금남면, 전동면 5개 지역에서 중만생종인 삼광벼를 재배하고 있는 일반농가 논토양이었다. 토양시료는 2010년-2012년 3년간 벼 이앙 전에 필지 별로 대각선이나 S자형의 5개 지점에서 표토 1-2 cm 정도를 걷어내고 15 cm까지의 작토층을 시료 채취기를 이용하여 채취하였다. 토양시료는 온도 25-35°C, 습도 20-60% 범위의 실내에서 풍건하여 고무나 나무망치로 토양시료를 잘게 분리한 다음 2 mm 체를 통과한 토양을 분석시료로 하였다. pH 측정은 토양시료 5 g에 증류수 25 mL를 넣어 30분 정도 유리막대로 저은 후 pH 측정기 (Auto Tration-500)로 측정한 후, 전기전도도 전극을 이용하여 전기전도도 (EC)를 측정하였다. 유기물 분석은 토양시료 0.25 g에 0.4 N 중크롬산칼륨황산혼합액 10 mL를 넣고 혼합한 후 200°C 전열판에서 가열하여 기포가 발생할 때부터 정확히 5분간 끓인 다음 증류수 150 mL를 넣고 지시약 (증류수 20 mL+황산 100 mL+Diphenylamine 0.5 g) 5-6방울을 가하여 0.2 N 황산제일철암모늄 용액으로 측정하였으며 적황색→남청색→담녹색을 적정 종말점으로 하였다. 유효인산 함량은 토양시료 5 g에 침출액 [증류수 6 L+CH3COOH 400 mL+lactic acid 300 mL+NH4F 22.2 g+(NH4)2SO4 133.3 g+NaOH 170 g] 20 mL를 가하여 10분간 진탕 후 No. 2 여과지로 여과한 여액 3 mL와 인산표준액 (40°C에서 건조한 KH2PO4 0.4393 g+침출액 400 mL+Con-H2SO4 5 mL)을 Test tube에 넣고 몰리브덴산황산희석혼합액 6 mL와 1-amino-2-naphtol-4-sulfonic acid 0.4 mL를 가하여 30°C에서 30분간 발색한 후 Spectrophotometer의 660 nm 파장에서 측정하였다. 치환성양이온함량은 토양시료 2.5 g에 침출액(증류수 1 L+ 1 N - CH3COONH4 77.08 g; pH 7.0) 25 mL를 넣어 30분간 진탕 후 No.2 여과지로 여과한 여액 1 mL에 희석액 9 mL를 넣어 원자흡광광도계 (ICP, Varian 720ES)로 측정하였다. 유효규산 함량은 토양시료 5 g에 침출액 (증류수 1 L+CH3COOH 49.2 mL+CH3COONa 14.8 g; pH 4.0) 50 mL를 가하여 60°C 항온진탕기에 90분간 진탕한 후 5분간 냉수로 급랭시켜 No. 5 여과지로 여과한 여액 5 mL를 30-35°C로 유지하면서 0.6 N-HCl 2.5 mL와 10% ammonium molybdate 2.5 mL를 넣고 3분경과 후 17% Na2SO3 5 mL를 가하여 30°C에서 20분 간 발색시킨 후 UV-Visible Spectrophotometer를 이용하여 720 nm에서 측정하였다.
토양시료를 채취한 동일 포장에서 벼 중⋅만생종 삼광벼를 지역별 관행 재배법으로 2010년부터 2012년까지 3년간 재배하였고, 수확기에 벼 2-3 kg를 수확한 후 벼 수분이 15-16%가 될 때까지 건조하였다. 그리고 전자저울에 분석용 시료 1점당 500 g씩 칭량하여 현미조제기 (YANMAR ST50)에 2회 반복 도정한 후 현미 200 g을 칭량하여 정미기 (ToYo Desuku, MC90A)를 이용하여 백미로 도정하였다. 도정된 백미의 완전미 비율은 Grain Inspector (FOSSTECATOR, Cervitec 1625)를 이용하여 조사하였다. 그리고 백미 200 g을 Grain Analyzer (FOSS Infratec1241)에 투입하여 단백질, 아밀로즈 함량을 3반복으로 분석하였다. DNA 추출로 품종의 순도 판별하는 실시간 유전자증폭기 RT-PCR (Real time PCR system, Singapore)를 활용하여 품종의 순도를 판별하였다. 시비법 및 조사방법은 농촌진흥청 벼 표준재배법 및 작물시험연구조사 기준을 적용하였다. 아울러, 기상정보는 기상청에서 제공하는 과거 3년 (2010-2012년) 간 세종특별자치시 (충청남도 연기군) 일 평균기온, 강수량 자료를 활용하였고, 통계처리는 SAS package (SAS Institute, 1988)와 Microsoft Office Excel 2007을 활용하였으며, 토양특성과 쌀 품질 (미질), 벼 수량과 주요성분 간의 상관분석 및 분산분석을 하였다.
Results and Discussion
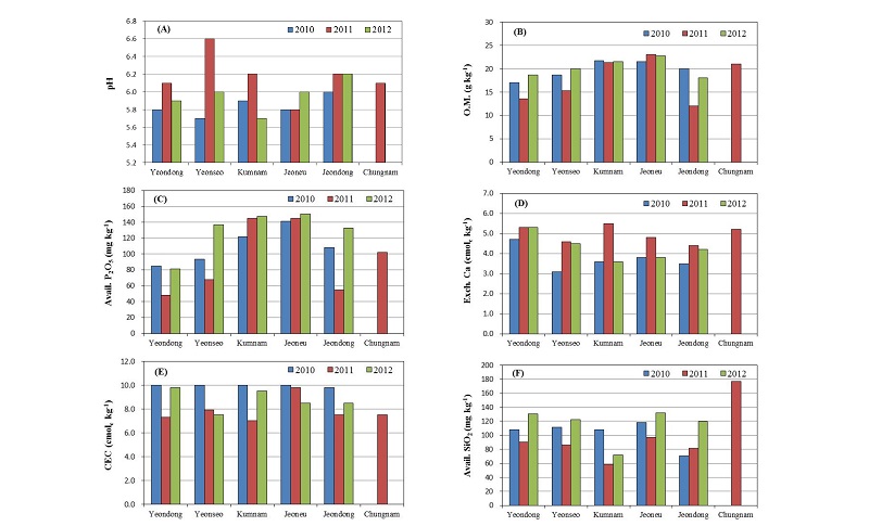
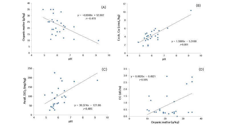
토양 중 pH 분석 결과는 Fig. 1(a)과 같다. 연차에 따른 토양 pH의 함량은 연동면 6.1, 연서면 6.6, 금남면 6.2 및 전동면 6.2로 나타났으며, 대체적으로 2011년도에 pH가 높은 것으로 나타났다. 조사지점의 논토양 pH는 5.5-6.6 범위 수준으로, 충청남도 논토양 평균 (pH 6.1, 2011년 농업환경변동조사)과 대등한 것을 비추어 볼 때 조사기간 동안 해당지역의 토양 pH는 큰 변화가 없는 것으로 판단된다. 토양 유기물함량 (Fig. 1(b))은 2010년부터 2012년까지 3년간 전의면이 각각 21.9, 23.0, 22.7 g kg-1로 (평균 22.5 g kg-1) 가장 높았으며, 전동면이 각각 17.0, 13.5, 18.7 g kg-1로 (평균 16.4 g kg-1) 가장 낮았다. 한편 충청남도 논토양 평균 유기물함량 (21 g kg-1)과 비교했을 때, 전반적으로 함량이 낮게 나타났는데, 이 경우에는 볏짚 환원, 녹비작물 재배 등으로 유기물을 공급해야 할 것으로 판단된다. 대체로 유기물 함량은 비옥도와 생산성에 매우 중요하며, 연차 간 변화가 적고 (Hur et al., 1996), 경운, 작부체계 및 시비에 따라 영향을 받는데 (Yadav et al., 1998; Dawe et al., 2000; Ladha et al., 2003), 토양 유기물 함량 증대를 위해서는 연차적인 계획에 따라 경작자의 재배패턴을 파악하여 지속적으로 토양관리 기술을 지도하는 것이 무엇보다 중요할 것으로 판단된다. 토양 유효인산 함량분석 결과 (Fig. 1(c))에서 연서면이 137.0, 금남면 147.5, 전의면 150.7 및 전동면 133.0 mg kg-1로 3년간 평균함량이 적정범위인 80-120 mg kg-1을 초과하였으나, 2011년에는 충남 평균함량보다도 낮은 결과를 보여, 연차별로 차이가 큰 것으로 나타났다. 유효인산 감소는 담수기간 중 논토양으로부터 인의 유출이 발생되거나, 논토양에 대한 인산의 투입량이 감소하고 (Kang et al., 2012), 논토양에서 권장하는 유효인산은 과다 축적되지 않는 (Ha et al., 1997) 점 등을 감안 시에 당해연도에 인산의 적정시비는 매우 중요하다. 연차 및 지역에 따른 토양 치환성칼슘 함량 분석 결과 (Fig. 1(d))에서 지역별 조사지점 중 연동면이 2010년 4.7, 2011년 5.3, 2012년 5.3 cmolc kg-1로 적정범위(5.0-6.0 cmolc kg-1)에 속하였고, 충청남도 평균 논토양 칼슘 함량은 5.2 cmolc kg-1으로 세종시 지역은 대부분 토양 칼슘함량 적정범위보다 적은 함량을 보였다. 연도별로는 2011년도 칼슘함량이 다른 연도에 비해 높은 경향이 었는데, 칼슘은 논토양에 공급되면 pH를 높이는데 (Kim et al., 2010), 이는 본 연구 결과와도 일치하는 것으로 나타났다. 토양 유효규산 함량 분석 결과 (Fig. 1(f))에서 충남지역 평균 유효규산 함량과 비교할 때 모든 지역의 함량이 낮아 규산질 비료 시용이 필요한 것으로 나타났다. 또한, 규산질 비료는 가용성규산 (25%)과 알카리분 (40%)을 함유하고 있어 토양 pH를 높이는 효과가 있는 점 (Lee et al., 2005)을 볼 때, 연차별 pH와 유효규산과의 관계에 있어 연관성이 낮은 점은 모든 지역에서 규산질 비료 공급이 부족했을 것으로 판단되는 원인으로 보여진다. 아울러 규산질 비료는 벼 수량과 미질 개선에 효과가 있는 점 (Cho et al., 2006)에서 전년도 분석결과를 활용한 농가별 맞춤 시비처방은 벼 농가들에 대한 시비 지도에서 매우 중요할 것으로 판단된다. 토양 특성 간 관계를 분석한 결과 (Fig. 2)에서 토양 pH는 유기물과 부의 상관 (r = -0.478)이었으며 치환성칼슘 (r = 0.801) 및 유효규산 함량 (r = 0.485)과는 정의 상관이었다. 토양 유기물과 EC와는 정의 상관 (r = 0.509)이었다. 연차에 따른 토양 특성의 변이 (Table 1) 결과에서 토양의 pH는 2011년이 6.2로 높았고 치환성 칼륨, 칼슘, 마그네슘은 각각 0.33, 4.8, 1.3 cmolc kg-1로 다른 해보다 높았다. 그러나 토양 유기물과 유효규산은 다른 해보다 더 낮았다. 토양 특성의 분산분석 결과 (Table 2)에서는 지역 간 토양유기물, 유효인산, 치환성 마그네슘 및 유효규산이 유의성이 인정되었으며, 연차간은 pH, 유효인산, 치환성 칼슘, 치환성 마그네슘, CEC 및 EC 함량 간 유의성이 인정되었고, 지역 간×연차 간 상호작용에서는 유효인산, CEC 그리고 유효규산에서 유의성이 인정되었다.
Table 1. Variation in weather and soil characteristics from 2010 to 2012.

†Data are presented as mean ± standard deviation followed by alphabet letters from Duncan’s multiple range test.
Table 2. ANOVA of soil characteristics .

†Data show sums of squares with F-test results, * Significant at 0.05 level, ** significant at 0.01 level, ns : not significant.
쌀의 수량 (Fig. 3(a))은 2010년도가 가장 높았으며 2012년도가 낮았다. 이는 기상여건 호조로 인해 전국적으로도 2010년도에 수량이 높았으며, 2011년과 2012년의 경우는 태풍 등 기상재해로 인해 수량이 감소했기 때문으로 판단된다. 쌀 단백질 함량 (Fig. 3(b)) 은 2010년, 2012년도에 비해 2011년에 높은 함량을 보였다. 이러한 결과는 연차별, 지역별로 동일 시비량을 가정할 때, 2011년도가 벼 생육온도가 적정하여 질소비료 이용률이 증가함에 따라 쌀 단백질함량이 높아졌을 것으로 생각된다. 이는 출수기-출수 후 30일까지의 평균기온과 현미단백질 함량과의 관계에서 평균기온이 상승할수록 현미 단백질은 증가한다는 연구결과 (Choi et al., 2011)를 통해 유추가 가능하다. 아울러, 쌀 단백질은 밥맛과 부의 상관관계가 있는 만큼 식미가 좋은 쌀 생산을 위해 품종 선택 및 출수 후 수확 시기 등에 대한 영농기술 지도가 중요하다. 쌀 아밀로스함량 (Fig. 3(d))은 전 지역에서 2010년, 2011년에 비해 2012년도가 낮았고, 지역별로도 비슷한 양상이었다. Yeon (2005)에 의하면, 아밀로스함량은 유기물함량과 유의적인 정의 상관을 보인다는 연구결과를 비추어 볼 때 토양 유기물 함량 조사 결과 (Fig. 1(b))와 경향이 일치하였다. 강우량이 증가될수록 (2010: 85.33 mm, 2011: 162.0 mm, 2012: 117.5 mm) 쌀의 단백질 함량이 증가하였고 (2010: 5.5%, 2011: 6.08%, 2012: 5.64%), 기온이 높아질수록 (2010: 19.8°C, 2011: 20.2°C, 2012: 20.7°C) 쌀의 수량 (2010: 891.25, 2011: 727.2, 2012: 591.6) 및 아밀로스 함량 (2010: 17.05%, 2011: 16.1%, 2012: 13.2%)이 감소하는 결과 (Table 3)를 보였다. 수량 및 주요성분의 분산분석 결과 (Table 4)에서 지역 간에는 백색도를 제외한 수량, 수분 함량 및 아밀로스 함량이 유의성이 인정되었으며, 연차간은 수량과 모든 형질에서 유의성이 인정되었고, 지역 간 × 연차 간 상호작용에서는 아밀로스 함량과 백색도를 제외한 수량, 단백질 함량 및 수분 함량에서 유의성이 인정되었다. 또한, 토양화학성과 쌀 품질 (미질)의 상관관계를 분석한 결과 (Fig. 4)에서 수분함량과 아밀로스함량 (r = 0.419) 및 백색도 (r = 0.485)는 각각 정의 상관으로 나타났고 (Fig. 4(a)와 (b)), 아밀로스함량과 백색도도 정의 상관을 보였다 (Fig. 4(c)). 토양 유기물함량과 아밀로스 함량은 부의 상관 (r = -0.507)을 보였다 (Fig. 5(a)). 이 결과는 쌀의 아밀로스와 토양 유기물 간의 상관관계에서 부의 상관을 나타낸 연구결과 (Hong and Kim, 1994)와 같은 양상이다. pH와 아밀로스 함량도 정의 상관 (r = 0.400, p<0.01)을 보였는데 (Fig. 5(b)), Jung et al. (2001)에 의하면, pH는 작물이 이용할 수 있는 양분의 유효도 조절에 주요한 역할을 한다고 보고하였다. 토양의 EC는 아밀로스 (r = -0.392) 및 수분함량 (r = -0.444)과는 부의 상관을 보였다 (Fig. 5(c), (d)).
Conclusions
본 연구는 중부지방 (세종특별자치시)의 논토양의 화학적 특성과 벼 품질 특성을 중심으로 결과를 상호 비교 검토하여 정밀농업을 위한 기초영농지도 자료로 활용하고자 수행하였다. 세종시의 논토양 pH는 6.1-6.6 수준으로 충청남도 논토양 평균 pH 6.1과 큰 차이가 없었으며, 유기물, 칼슘, 유효규산은 충남 평균치보다 낮게 나타났다. 농업기상 중 강우량에 따른 토양 특성 관계에서는 강우량이 증가함에 따라 토양 pH, 칼륨, 칼슘 함량은 증가하고, 토양 유기물은 감소하였다. 지역에 따른 토양 유효규산 함량은 전의면이 3년간 가장 높았다. 쌀 수량은 2010년이 2011년과 2012년에 비해 높았으며, 단백질 함량은 2011년도가 가장 높게 나타난 반면, 수분함량은 2011년이 가장 낮게 나타났다. 토양특성과 쌀 품질 간의 상관분석에서 토양 유기물함량과 아밀로스 함량 간에는 부의 상관 (r = -0.507)을 보였고, 수분함량과 아밀로스 함량 (r = 0.419), 백도 (r = 0.485)는 각각 정의 상관을 보였다. 본 연구는 연기군에 대하여 조사하였으나 더 많은 지역에서 토양특성과 쌀 품질과의 관계 연구가 필요하다. 벼 재배에 있어서 도농업기술원, 시군 농업기술센터의 토양검정 결과를 이용한 비료사용처방서 활용은 토양특성을 적정 수준으로 유지하여 고품질 쌀 생산에 도움이 될 것이다.










