Introduction
지속 가능한 농업생산환경의 보전을 위해 친환경적 토양관리는 가장 기본적이고도 중요한 분야라고 할 수 있다. 특히 최근 정부의 친환경농업육성 정책으로 인해 유기질비료의 보급과 사용이 증가함에 따라, 유박 등 유기질 비료 의 적절한 투입을 통해 환경적 부하를 최소화하고 생산성을 유지할 수 있는 정밀한 양분관리의 필요성이 부각되고 있다. 친환경 재배 농가들은 무기질 비료를 대체하기 위해 다양한 유기자원을 사용하고 있는데, 논에서는 대부분의 경우 호밀이나 헤어리벳치와 같은 풋거름 작물을 재배하여 토양에 환원하거나 혼합유박, 가축분퇴비 등의 유기질비료를 투입하고 있다. 이때 토양에 투입된 유기자원은 무기질 비료와는 달리 미생물의 분해과정을 거쳐야만 작물이 흡수할 수 있는 형태로 바뀌게 된다. 특히 작물의 수량에 지대한 영향을 미치는 질소의 무기화 양상 또한 재료의 분해특성과 환경조건에 따라 크게 달라지게 되므로, 작물의 양분요구에 부합하는 적절한 재료와 투입량을 산정하기란 쉽지 않다.
국립농업과학원은 농경지의 대표토양에 대하여 비료 적정량 시험 또는 작물양분의 요구도에 따라 설정한 평균시비량과 필지별 토양양분의 검정치에 의하여 결정하는 토양검정 시비량을 제시하여 농업현장에서 활용하고 있다 (NAAS, 2010). 그러나, 비료사용처방기준에서 제시하고 있는 비료사용량은 무기질 비료를 기준으로 한 것으로서 유기질 비료에 적용하기에는 무리가 따른다. 또한, 비료사용처방에서는 과거 토양개량차원의 퇴비 투입량만이 제시되어 있어 양분함량이 높은 가축분퇴비의 혼용량의 조절 기준으로는 미흡한 사항으로 언급되어 있다. Lee et al. (2015)은 퇴비, 녹비 등 유기물을 사용했을 때의 질소공급과 작물생산성에 대한 연구결과를 정리하여 보고하였는데, 유기물을 활용한 농경지 양분관리에서 C:N율, 토양양분조건에 따른 적정량의 비료사용량의 추천이 필요하며 유기물 추천 모델을 구성하기 위해서는 우선적으로 유기물질 종류별 질소공급량에 대한 기초데이터가 구축되어야 한다고 하였다. 본 연구에서는 유기자원의 질소 무기화 모델을 이용함으로써 토양 중 무기태 질소량을 추정할 수 있으며, 이를 근거로 합리적인 유기질 비료 사용 조건을 산정할 수 있다는 가설을 설정하고, C:N율과 온도조건이 질소 무기화에 미치는 영향을 다양한 유기자원에 대하여 비교 평가함으로써 유기자원을 활용한 비료사용 처방의 기초자료를 구축하고자 하였다.
유기자원의 분해 특성은 실내 항온배양실험을 통해 평가할 수 있다 (Bundy and Meisinger, 1994). Stanford and Smith (1972)는 토양의 잠재적 질소 무기화량을 측정하기 위한 장기 실내 항온배양실험 방법을 개발하였으며, Inubushi et al. (1989)은 혐기성 조건의 토양에 적용할 수 있는 항온배양실험 방법을 고안하였다. Manguiat et al. (1994)는 실내배양실험과 포장에서 벼의 수량 및 질소 흡수량이 상관관계가 있다고 하였으며, Lee and Hwang (1984)은 질소비료의 질소 무기화와 고정화에 대한 퇴비와 볏짚의 영향에 대해 보고하였다. Cho et al. (1999)은 볏짚, 보리짚, 자운영 등을 대상으로 한 항온배양실험에서 유기물의 무기화 속도는 C:N율과 온도에 가장 큰 영향을 받는다고 하였다. Cho and Chang (2007)은 피마자박, 대두박 및 탈지강을 주원료로 하는 유박의 질소의 무기화 작용을 수분과 온도조건을 달리하여 실내 항온 배양시험을 실시한 결과, 온도와, 포장용수량, 시용량이 증가되면 무기태 질소생성량이 증가하고 토양층위가 깊어짐에 따라 감소한다고 하였다. Lee et al. (2012)은 논 토양에서 온도조건과 토성에 따른 식물잔사들의 질소 무기화 양상에 대해 보고한 바 있으며, Im et al. (2015)는 밭토양 조건에서 유박과 아미노산 비료의 질소 무기화량을 추정하고 1차 반응 속도식을 적용하여 잠재적 무기화량을 평가한 결과 유기태 질소의 반감기는 17~21일로 3주이내에 질소의 1/2이 무기화된다고 하였다.
이와 같이 국내외적으로 다양한 유기자원을 대상으로 질소 무기화에 관한 연구가 수행되었음에도 불구하고 연구자마다 시험에 사용된 재료 종류가 일부에 한정되거나 시험조건에 차이가 있는 등 종합적인 비료 사용 처방의 기준으로 삼기에는 한계가 있다. 따라서 다양한 조성의 유기자원 재료에 대하여 C:N율과 온도 등 조건의 관계를 다시 한번 확인하고, 각 재료간의 무기화 양상을 상호 비교평가하기 위한 시험이 필요한 것으로 판단되었다. 이에 본 연구에서는 항온배양시험을 통해 논 토양에서 다양한 유기자원의 질소 무기화 특성과 온도의 영향을 정량적으로 추정할 수 있는 질소 무기화 모형을 설정함으로써, 유기자원을 이용한 비료 사용 처방에 활용할 수 있는 기초자료를 제시하고자 한다.
Materials and Methods
시험재료 및 항온배양실험 방법 논 토양에 투입된 유기자원의 질소 무기화 양상을 파악하기 위해 혐기성 조건에서 실내 항온배양실험을 수행하였다. 시험 재료로는 풋거름 작물 (헤어리벳치, 자운영, 호밀) 농산부산물 (쌀겨, 유박, 볏짚), 퇴비 (돈분퇴비, 볏짚퇴비) 등 8종의 유기자원과 볏짚과 헤어리벳치를 조합하여 CN율을 각각 15, 20, 25, 30, 40으로 조절한 재료를 사용하였고, 요소비료와 요소+볏짚퇴비, 무처리 (토양)을 대조구로 하여 처리간에 비교하였다. 토양은 국립농업과학원 이천 시험지 (경기도 이천시 부발읍 소재)에서 채취한 Total C가 17.3 g kg-1, Total N이 1.6 g kg-1인 사양토 (석천통)을 사용하였다.
시험 재료는 건조 후 마쇄하여 골고루 섞었으며, 건토 중량 30 g 토양에 400 kgN ha-1에 해당하는 비율로 재료를 혼합하였다. 재료를 처리한 토양시료를 50 ml PE병에 넣고 증류수를 첨가하여 담수상태로 만든 후, 20°C, 25°C, 30°C 조건의 항온배양기 내에서 3반복으로 배양하였다. 시료는 각각 1, 4, 7, 14, 21, 30, 45, 60, 90일차에 수거하여 무기태 질소, 유기탄소함량과 미생물체탄소량을 분석하였다. 처리 재료의 특성은 Table 1 과 같다.
시료의 분석 각각 정해진 시료채취일에 재료 및 온도별로 3반복의 PE병을 수거하여 젖은 상태의 토양 5 g은 무기태질소 분석에, 30 g은 미생물체 탄소량 분석에 사용하였으며, 채취일마다 새로운 시료를 수거하여 분석에 사용하였다. 토양의 무기태 질소 (NO3--N과 NH4+-N)는 토양시료 5 g을 젖은 상태에서 2 M KCl 25 mL 용액에서 30분간 진탕하여 침출한 여과액을 Flow Injection Analyzer (QC8000, Lachat, USA)을 이용하여 측정하였다. 미생물체 탄소량은 포화조건에 맞도록 개량된 클로로포름 훈증추출법을 사용하여 측정하였다 (Inubushi et al., 1991). 토양시료 15 g을 클로로포름으로 24시간 훈증한 후 0.5M K2SO4 60 mL를 첨가하여 30분간 진탕 추출한 시료와 훈증하지 않은 상태로 토양시료 15 g에 0.5M K2SO4 60 mL를 첨가하여 30분간 진탕 추출한 시료를 준비한 뒤, 각 시료의 총 유기탄소량을 TOC Analyzer (TOC-5050, Shimadzu, Japan)를 이용하여 측정하였다. 미생물체 탄소량은 훈증시료의 유기탄소에서 비훈증 시료의 유기탄소값을 감한 값으로 계산하였다. 토양 및 식물체의 총 질소와 탄소함량은 C/N Analyzer (VarioMAX CN, Elementar, Germany) 로 분석하였다.
통계분석 항온배양에 사용된 유기자원 재료의 종류, 온도 및 경과기간 등 세가지 요인에 따라 종속변수인 토양 무기태 질소량에 차이가 존재하는지 검정하기 위해 분산분석을 수행하였다. 분석에는 SAS 통계패키지의 Proc GLM procedure를 사용하였다 (SAS Institute Inc., 2004).
모형의 적용과 파라미터 추정 일반적으로 유기물의 질소 무기화 과정은 유기태 질소가 분해되어 무기태 질소가 생성되는 과정에 대한 속도방적식으로 나타낸다. 본 연구에서는 단일지수모형 (single exponential model)에 배양시간에 따른 무기태질소 측정값을 대입하여 유기물의 분해특성을 반영하는 모형의 파라미터를 추정하였다. 파라미터 추정은 항온배양 온도 수준별로 별도로 수행하였다. Eq. 1은 시간에 따른 질소 무기화 나타내는 미분방정식으로서 이를 시간에 대해 풀면 Eq. 2와 같은 단일지수모형을 얻을 수 있다. 측정 자료를 이용하여 파라미터를 추정하기 위한 비선형 회귀분석 과정은 SAS 통계패키지의 Proc MODEL Procedure를 사용하였다 (SAS Institute Inc., 2004).
(Eq.1)
(Eq.2)
N : 무기태 질소, Np : 잠재적 질소 무기화량, k : 무기화속도상수, t : 시간, c : 상수
Results and Discussion
유기자원의 질소 무기화 실험에 사용된 유기자원의 종류, 온도조건별로 항온배양 경과 시간별로 측정된 시료의 무기태 질소의 양에 차이가 있는지를 확인하기 위해 분산분석을 수행하여 그 결과를 Table 2에 나타내었다. 무기태 질소 측정값은 처리재료, 항온배양시간, 온도에 대하여 통계적으로 유의한 차이가 있었으며, 각 요인들간의 교호작용도 통계적으로 유의하였다. 반면 반복실험에 의한 차이는 통계적으로 유의하지 않았다. 따라서 항온배양실험을 기반으로 파라미터를 설정한 단일지수모형을 온도 및 재료에 따른 유기자원의 질소 무기화 추정에 사용할 수 있을 것으로 판단하였다.

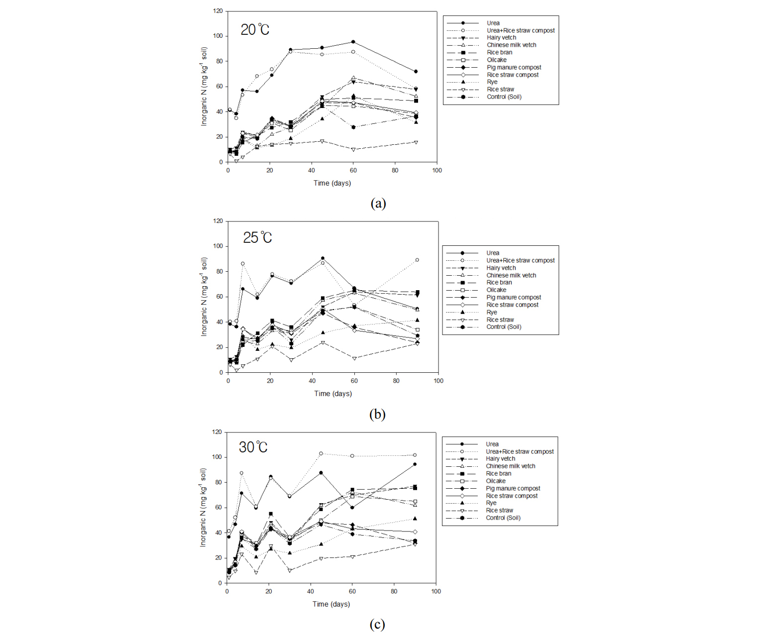
90일간 혐기 상태로 배양하였을 때 온도조건별 무기태 질소의 변화는 Fig. 1 과 같다. 질소 무기화 양상은 포화곡선 (saturated curve)의 형태를 보여주었으나, 포화곡선의 크기나 모양은 유기자원의 종류에 따라 달랐다. 요소 및 요소+볏짚퇴비 처리구에서 무기태 질소 수준이 가장 높았고, 헤어리벳치, 자운영, 쌀겨, 유박, 돈분퇴비, 볏짚퇴비를 처리한 토양의 순으로 무기태 질소가 많았으며, 볏짚, 호밀 처리구는 재료를 처리하지 않은 대조구 토양보다도 낮아 질소의 고정화가 일어남을 알 수 있었다. 호밀 처리구는 배양 후반에 분해가 진행되는 양상이었다.
30°C 항온조건에서 90일차 요소 시용구의 무기태 질소량은 94.5 mg kg-1이었으며, 각 재료별로는 높은 순서대로 헤어리벳치 77.1 mg kg-1, 쌀겨 75.4 mg kg-1, 유박 65.1 mg kg-1, 자운영 61.8 mg kg-1, 호밀 61.2 mg kg-1, 볏짚퇴비 40.7 mg kg-1, 돈분퇴비 31.8 mg kg-1이었다. 요소를 처리한 시료에서 투입 질소의 전량이 무기화되어 작물이 이용할 수 있는 것으로 간주할 때 각 재료별 전체 질소 투입량에 대한 무기화율은 각각 헤어리벳치 81.6%, 쌀겨 79.8%, 유박 68.9%, 자운영 65.4%, 호밀 54.2%, 볏짚퇴비 43.1%, 돈분퇴비 33.6%에 해당하였다.
온도별 질소 무기화의 차이를 살펴보면 무기태 질소값은 30°C 조건에서 포화상태에 가장 먼저 도달하였고 시기별로도 높은 온도조건에서 큰 값을 나타내어 높은 온도에서 질소 무기화가 촉진되었다. 그러나, 최종적으로 무기화된 질소량은 온도 조건에 따라 큰 차이가 없었다. 본 시험에서 3가지 항온배양 온도조건에서 개별적으로 질소 무기화를 분석하였으나, 본 시험의 결과와 다수의 선행 연구 (Cho et al., 1999; Lee et al., 2012; Im et al., 2015)에서 확인할 수 있는 바와 같이 온도상승 시 질소무기화 속도가 증가하게 되므로, 시험의 온도조건의 범위인 20°C에서 30°C 범위 내에서 선형 보간 (interpolation)에 의해 무기화속도를 추정하여도 될 것으로 판단된다.
유기자원의 질소 무기화는 C:N율과 밀접한 관련이 있는 것으로 알려져 있다 (Probert et al., 2005). 유기자원 재료별 항온배양실험 결과에서 헤어리벳치와 자운영, 쌀겨, 채종유박과 같이 C:N율이 낮은 재료의 무기태 질소 수준은 배양기간 전반에 걸쳐 상대적으로 높았고, 호밀이나 볏짚과 같이 C:N율이 높은 재료의 무기태 질소량은 낮았다. 예외적으로 볏짚퇴비나 돈분퇴비와 같은 퇴비의 경우 C:N율이 낮음에도 불구하고 무기태 질소량이 많지 않았다. Fig. 2는 헤어리벳치와 볏짚을 조합하여 C:N율을 달리한 재료의 질소의 무기화 과정을 보여주고 있는데, C:N율이 높을수록 토양 중 무기태 질소는 낮게 나타났다. 이 같은 결과는 논 토양에서 질소 무기화는 C:N율과 온도에 가장 큰 영향을 받았다는 선행 연구와 일치하였다 (Cho et al., 1999; Lee et al., 2012).
토양 유기탄소와 미생물체량 K2SO4용액으로 추출한 총 유기탄소는 미생물이 사용할 수 있는 탄소분획으로 사용될 수 있다 (Hofman and Dusek, 2003). 본 실험에서 0.5 M K2SO4로 추출한 토양 총 유기탄소량의 경시적 변화를 Fig. 3에 나타내었다. 총 유기탄소량은 배양이 시작된 직후 최고치를 나타내었다가 곧 감소하였으며, C:N율과 총 유기탄소량 간에는 정의 상관관계가 있었다 (Fig. 4, 결정계수 R2=0.947). 미생물체 탄소량의 경우 배양기간에 따른 변동이 심하여 시기에 따른 추세는 나타나지 않았으나, 총 유기탄소와 마찬가지로 처리재료의 C:N율과 정의 상관관계를 보였다 (Fig. 5, 결정계수 R2=0.824). Bolton et al. (1985)은 풋거름 작물을 연용한 토양은 화학비료를 연용한 토양에 비하여 상대적으로 미생물체량이 높았으며 이는 유기탄소 함량의 증가에 기인한다고 하였다. Dick (1992)는 토양 유기탄소량과 토양 미생물체량에는 높은 상관관계가 있으며, 식물잔사을 환원할 경우 생물적 활성이 높아진다고 하였다. Suh et al. (2009)은 논 토양에서 퇴비를 장기 연용하였을 때의 미생물체량은 투입하지 않았을 때보다 높았다고 보고하였으며, C:N율과 같은 유기물조성의 차이점은 유기물의 분해율에 영향을 주고 미생물 군락 구조에 영향을 줄 수 있다고 하였다 (Suh et al., 2010). 본 연구에서도 C:N율이 높은 재료를 토양에 투입하였을 때 토양 유기탄소와 미생물체량이 높게 나타났는데, 이것은 관련 연구에서와 같이 유기물의 투입으로 인해 가용 유기탄소가 증가함에 따라 미생물체량도 동반하여 증가한 것으로 판단된다.
C:N율과 질소 무기화량, 유기탄소량과 미생물체량의 관계를 비교하여 보면 C:N율이 높은 유기자원을 투입하였을 때 질소의 무기화량은 감소하고, 유기탄소와 미생물체량은 증가하는 것으로 요약할 수 있는데, C:N율이 높은 유기자원의 투입은 미생물과 작물간의 질소 경합을 유발하여 질소무기화에 의하여 작물이 이용할 수 있는 질소의 공급을 제한하는 원인으로 작용한 것으로 추정할 수 있다. 즉, 투입재료의 C:N율은 토양의 가용성 탄소원과 미생물체량을 변화시켜 최종적으로 잠재적 질소 무기화량을 제한하는 인자로 작용한 것으로 판단된다.
질소 무기화 모형 배양기간에 따른 무기태 질소 측정 자료를 단일지수모형 (single exponential model)에 적용하여 각각 온도 및 재료에 대한 파라미터값을 추정하였다 (Table 3). 모형식의 추정결과, 유기자원 재료에 따라 결정계수가 0.7이상으로 모형의 설명력이 높은 재료도 있었으나 호밀 등 일부 재료에 대해서는 결정계수가 0.3미만인 경우도 있었다. 25°C 온도 조건에서의 유기자원 재료별 파라미터 추정 결과를 보면, 볏짚이나 호밀과 같이 C:N율이 높은 재료와 퇴비는 모형의 적합도가 상대적으로 낮아 결정계수가 0.369에서 0.565 사이에 분포하였으나, 헤어리벳치, 자운영, 유박, 쌀겨 등 재료는 결정계수가 0.720에서 0.924사이로 높았다. 25°C 온도 조건에서 C:N율을 달리한 헤어리벳치+볏짚 조합 자료에 대한 결정계수는 C:N율이 40 이하인 경우 모두 0.7이상으로 모형의 설명력이 양호한 것으로 보아 C:N이 상대적으로 높지 않은 신선유기물의 경우에는 모형의 타당성이 높으나 C:N이 높거나 1차적 무기화가 진행된 퇴비의 경우에는 모형의 설명력이 낮은 것으로 판단된다. 잠재적 질소 무기화량 (Np) 의 추정값은 15.1 mg kg-1에서 최대 87.8 mg kg-1의 범위에 분포하였고, k값은 0.022에서 0.283으로 재료별로 큰 차이가 있었다. 토양으로부터 무기화하는 질소의 양 또한 상당한 것으로 추정되었는데, 토양에서 잠재적으로 무기화가 가능한 질소량은 42.0 mg kg-1으로 조사되어, 요소 비료를 400 kg ha-1을 시용했을 때의 57.0% 수준이었다.

C:N율과 온도 조건에 따른 잠재적 질소 무기화량과 무기화 속도의 추정결과는 Table 4와 같다. C:N에 따라 잠재적 질소 무기화량 (Np)은 15.1 mg kg-1에서 74.3 mg kg-1까지 크게 달랐다. 퇴비를 제외한 신선 유기물의 경우, C:N율과 잠재적 질소 무기화량에는 부의 상관관계를 확인할 수 있었다 (Fig. 6, 결정계수 R2=0.707). 온도 조건이 20°C에서 30°C로 상승하였을 때 잠재적 질소 무기화량에는 큰 차이가 없는 것으로 나타났다. 반면, 무기화 속도상수 (k)는 최저 0.026, 최고 0.214로 나타났으며, 온도가 1°C 상승하였을 때 k값은 약 10% 정도 증가하였다. 유기자원은 동일한 종류의 재료라고 하더라도 원료나 상태에 따라 분해양상이 다르며, 특성이 다른 여러 종류의 유기자원이 함께 투입되는 경우도 있다. 그러나, 이와 같이 복잡하고 다양한 조건이라고 하더라도 투입재료 전체의 C:N율을 기준으로 한다면 Table 4에 따라 질소 무기화를 추정할 수 있을 것이다. 따라서, 본 연구를 통해 제시된 유기자원의 C:N율과 온도에 따른 질소 무기화 모형식은 무기질 비료와 상대적인 비교를 통해 유기자원의 사용량 추천을 위한 기초자료로 사용될 수 있을 것으로 판단된다.
Conclusions
항온배양실험을 통해 혐기 조건의 논 토양 조건에서 사용되는 유기자원 무기화 양상에 대한 재료의 특성과 온도의 영향을 구명하였다. 유기자원별 무기화 속도는 온도의 함수이며, 잠재적 질소 무기화량은 재료의 C:N율과 상관관계가 명확하였다. 또한 토양 중의 총 유기탄소와 미생물체량 또한 투입재료의 C:N과 관련된다는 사실을 알 수 있었다.
실내항온시험 결과를 질소 무기화 모형에 적용하여 다양한 유기자원의 질소 무기화 양상을 계량화하였는데, 질소 무기화 모형은 다양한 유기자원의 분해특성의 차이와 온도 조건의 영향을 잘 반영하였다. 즉, 무기화 속도는 고온 조건에서 촉진되었으며, 모형에 의해 추정된 잠재적 질소 무기화량은 유기자원의 종류 또는 재료의 C:N율에 의해 결정되었다.
본 연구를 통해 논 토양 조건에서 분해특성이 다양한 유기자원의 잠재적 질소 공급량을 결정하기 위한 기준으로 유기자원의 C:N율만을 사용하더라도 질소무기화량 변동의 70%이상을 설명할 수 있다는 것을 확인하였다. 또한 온도조건별로 추정된 속도상수 k값을 통해 온도의 상승에 따른 무기화 속도상수의 증가를 정량화함으로써 온도가 변하는 조건에서 질소 무기화를 경시적으로 예측할 수 있는 근거를 제시하였다. 다만, C:N율이 높은 경우에 모형의 적합도가 낮았으므로 모형의 적합도가 높았던 C:N이 40이하인 신선유기물에 한하여 본 모형을 적용하는 것이 바람직할 것이다. 결론적으로, 본 연구를 통해 도출된 C:N율과 온도에 따른 질소무기화 추정 모형은 포장 환경 조건에서 유기자원의 종류와 투입량에 대한 합리적인 의사결정의 기초자료로 활용할 수 있을 것으로 판단된다. 향후, 질소무기화 모형을 유기자원의 비료사용처방에 적용하기 위해서는 포장 조건에서 무기태 질소의 변화와 모형을 통해 추정한 논 토양의 무기태 질소를 비교 검증하는 연구가 추가적으로 필요할 것이다. 또한, 본 시험은 사양토를 사용하여 이루어졌으므로 대표토양에 대해 확대 적용하기 위해서는 토성에 따른 질소무기화의 영향도 추가적으로 검토될 필요가 있다.











