Introduction
무인기 (UAV : Unmanned Aerial Vehicle)는 급속한 기술의 발전으로 보급과 활용이 증대되고 있다. 무인기는 단순히 비행만을 목적으로 하는 레저용을 제외하면 산업 분야에서 물건을 운반하거나 항공 촬영을 통해 지표면 등을 관측하는 역할에 이용될 수 있다. 항공 촬영이라는 측면에서 무인기는 기존 유인 항공기에 비해 저렴한 가격으로 영상 취득이 가능하며 위성 영상에 비해 사용자가 원하는 시간과 공간에서 영상을 획득할 수 있다는 장점을 갖고 있다.
무인기를 활용한 영상 획득의 이러한 장점은 무인기가 농업분야에서 영상 데이터를 활용한 과학적 영농관리를 위해 농경지 영상정보 제공의 수단으로 활용될 수 있음을 시사한다. 기존에는 위성영상을 활용해 시・도, 국가 단위의 넓은 면적에 대한 작물 재배 면적과 분포, 병, 재해 발생 등의 생육 상황과 수량 등의 정보를 만들어 왔으나, 무인기의 도입에 따라 이러한 업무를 100~300 ha 내외의 들녘단위에 대해 5 cm 내외의 고해상도 항공 영상을 통해 수행할 수 있는 토대가 마련되었다.
농경지와 작물의 상황을 정성적으로 분석하거나 한 시기의 영상만을 이용할 경우에는 촬영된 항공 영상 그대로를 이용할 수 있다. 그러나 시계열적 작물의 변화 상황을 정량적 분석을 위해서는 촬영 시점의 기상, 태양 고도, 카메라 특성 등 다양한 촬영 환경에 따라 촬영된 영상의 데이터 값 (DN : Digital Number)이 변화 될 수 있으므로 식물체의 고유한 반사율 값 (Reflectance)과 식생의 특성을 잘 반영할 수 있는 식생지수 (Vegetation Index)의 산정과 활용이 필요하다.
무인기 영상을 활용하여 반사율 영상을 제작하거나 식생지수 영상을 제작하여 작물 생육과 비교한 연구로는 국내의 경우는 UAV 영상 식생지수 기반으로 헤어리베치 질소량을 추정한 연구 (Lee et al., 2015), 회전익 UAV에 RGB 밴드 카메라를 부착하여 영상을 촬영하고 식생지수를 산정하여 콩 군락의 피복 변화를 분석한 연구 (Yun et al., 2016), UAV 영상의 식생지수와 기상요인을 이용하여 고랭지 배추의 작황을 평가한 연구 (Na et al., 2016) 등이 수행된 바 있으나 한 시기의 영상분석을 통한 결과 해석 또는 다중 시기의 영상 식생지수 산정에서도 지상 측정값과의 비교 연구는 부족한 실정이다. 국외의 경우 무인기 영상의 DN과 지상 측정 분광반사율 관계에 대한 연구 (Wang and Myint, 2015), 무인기 영상 식생지수와 지상 센서의 식생지수 비교를 통한 활용성 평가 연구 (Rasmussen et al., 2016) 등이 수행된 바 있으나 한두 시기의 영상을 촬영하고 분석한 연구로써 1년 이상의 장기 모니터링을 통한 기상, 계절 변화 등에 대한 영향 분석이 필요할 것으로 판단된다.
본 연구는 짧은 체공 시간으로 인해 좁은 면적만을 촬영할 수 있는 회전익에 비해 넓은 면적을 자동으로 촬영할 수 있는 고정익 무인기 (Ebee, Sensefly, Swiss)를 대상으로 ‘15년 3월부터 ‘16년 3월까지 1년 동안 동일한 지역에서 장기간의 반사율 영상과 식생지수 값을 산정하여 특성을 분석함으로써 농작물 생육 모니터링 적용 가능성을 평가하고자 수행하였다.
Materials and Methods
무인기 및 카메라 특성 촬영에 활용한 고정익 무인기 (Ebee, Sensefly, Swiss)의 세부 규격은 Table 1 과 같다. 무인기 Ebee는 비행본체의 무게가 700 g 내외의 소형 경량이며 비행경로 자동 설정 및 자동 착륙 기능이 탑재되어 있어 안전하고 손쉬운 영상 촬영이 가능하다. 또한, 최대 45분의 비행시간과 한 대 이상의 비행기체를 동시에 운용할 수 있으며, 고도의 제한이 없을 경우 1,200 ha의 면적까지 촬영이 가능하다는 점에서는 집단화, 규모화 된 들녘단위 농경지 촬영에 적합한 기종으로 판단된다. 해상도의 경우 최소 1.5 cm까지 촬영이 가능하며 위치 정확도의 경우 현장 GCP (Ground Control Point)가 있을 경우에는 3~5 cm 정도의 오차를 보여 정밀한 촬영도 가능하다. 또한 본 무인기는 드론 산업 조사업체로부터 0~1 kg의 무인기 중에서는 가장 성능이 뛰어나다는 평가도 받고 있다 (Drone Industry Insights, 2015).
무인기 기체에 연결하여 영상을 취득하는 카메라 특성은Table 2, Fig. 1,Table 2 와 같다. Ebee의 경우 가시광선 영역인 녹색, 적색, 청색 영역의 카메라 (IXUS/ELPH, Cannon, Japan)와 식생지수 산정을 위해 녹색, 적색, 근적외 (중심파장 각 Green 525 nm, Red 625 nm, NIR 850 nm) 영역을 촬영할 수 있는 카메라 (S110, Cannon, Japan)를 탑재하여 촬영할 수 있는데, 본 연구에서는 반사율과 함께 식생지수 비교를 위해 근적외선 영역의 파장이 포함된 Cannon사 S110 카메라의 측정값을 연구에 활용하였다. S110 카메라의 경우 녹색, 적색 파장 영역에 비해 근적외 파장 영역에서 카메라로 입사되는 광량을 검출할 수 있는 반응율 (Response)이 다소 낮은 경향을 보였다.
무인기 영상 촬영 무인기를 활용한 항공영상 촬영은 전북 완주군 이서면에 위치한 국립농업과학원 시험연구포장 (35°49'35.72"N, 127°2'24.76"E)을 대상으로 2015년 3월12일 부터 2016년 3월 21일 까지 20회 수행하였다 (Fig. 2, Fig. 3). 영상 촬영 당시의 기상 환경이 무인기 비행 및 촬영에 영향을 줄 수 있음으로 20분 내외의 비행시간에 가장 근접한 대표 시간대의 인근 전주 기상청에서 측정한 운량 및 풍속 자료를 함께 수집하였다 (Table 3). 무인기는 비행시뮬레이션, 비행경로 설정 및 전처리 프로그램 (Emotion, Sensefly, Swiss)을 이용하여 노트북에서 사전에 농업과학원 시험포장 약 80 ha를 고도 140 m 내외에서 해상도 5 cm, 횡중복도 60%, 종중복도 75%로 설정하여 항공영상을 획득하였다.
무인기 영상 반사율 산정 및 비교 200장 내외로 촬영된 무인기 항공 영상은 영상전처리 프로그램 (Emotion, Sensefly, Swiss)을 통해 촬영 당시 비행체의 고도, 방향 등 위치 정보와 결합한 후 영상 합성 프로그램 (Tera3D, Pix4D, Swiss)을 통해 한 판의 합성영상으로 제작되었다. 합성된 영상의 개별 화소값은 촬영 당시의 광량, 태양 고도각, 기상 등의 다양한 조건에 크게 영향을 받음으로 영상 정보를 이용하여 시계열적인 농경지 및 식생 변화 모니터링을 위해서는 지표면 물체에 대한 반사율 및 식생지수 산정이 필요하다. 반사율은 입사 에너지에 대한 반사 에너지의 비율로서 물체의 종류와 특성을 나타내는 고유한 값이며, 식생지수는 단위가 없는 복사 값으로 식생의 활력도와 생육 현황을 나타내는 지표이다. 본 연구에서 반사율은 무인기 항공 영상 처리 프로그램 (Tera3D, Pix4D, Swiss)에서 자동으로 제공해주는 방식 (Eq. 1, Tera3D program processing)을 활용하여 산정하거나 균일한 반사율(약 52%, 35%, 23%, 3%)을 갖도록 한국항공우주연구원에서 제작한 반사율 보정 반사판 (Calibration tarp) (Lee and Kim, 2006)을 촬영 전 설치하여 분광복사계 (Spectroradiometer, ASD3, USA)로 Calibration tarp의 반사율을 측정하고 무인기에서 촬영한 항공영상의 DN 값과 함수식을 작성하는 방식으로 (Eqs. 2~4, 이하 Calibration tarp method) 산정하였다.
(Eq.1)
여기서, Sensor는 카메라 노출, 촬영 속도 등에 따른 카메라 특성 값이며, Illumination은 촬영된 영상을 기반으로 프로그램에서 추정한 입사 광량이다 (Pix4d, 2016).
(Eq.2)
(Eq.3)
(Eq.4)
여기서, A, B, C, D, E, F, G는 함수식의 계수이며, 실측한 반사율과 DN의 관계에 따라 산정된다 (Wang and Myint, 2015). 함수식을 통해 산정한 반사율은 결정계수와 지상에서 분광복사계로 측정한 반사율의 RMSE 값을 비교하여 가장 적합한 반사율 산정식을 선정하였다. 선정된 함수식을 통해 구해진 항공영상 반사율은 Calibration Tarp (Tarp, 20회)과 잔디 (18회), 계단 (18회), 콩 군락 (7회) (Fig. 4)에서 분광복사계로 지상에서 측정한 반사율 값과 비교하여 식생 군락 등 지표면의 반사율 변화 분석에 활용하였다.
무인기 영상 기반 식생지수 산정 및 비교 식생지수는 식물체의 질소량과 직접적인 비례관계에 있는 엽록소의 분광반사 특성이 주로 적색 (Red), 청색 (Blue) 파장은 흡수하는 반면 근적외선 (NIR:Near Infra Red) 파장은 반사하는 현상을 바탕으로 이들 파장을 조합하여 녹색 식물의 상대적 분포량과 활동성을 평가하는 지표로 널리 사용되어 왔다 (Tomas and Gausman, 1977). 본 연구에서는 적색 파장과 근적외선 파장의 반사율을 이용하여 계산하는 정규화식생지수 (NDVI : Normalized Difference Vegetation Index)를 산정하였다 (Eq. 5). NDVI는 1974년 Rouse 등이 개발한 이래로 식생의 생체량, 엽록소 함량, 질소량 추정에 널리 활용되고 있다 (Cohen, 1991; Lyon et al., 1998; Richardson and Everitt, 1992).
(Eq.5)
여기서,
은 근적외선밴드의 스펙트럼 반사율이며,
는 적색밴드의 스펙트럼 반사율이다. 항공영상의 반사율을 활용한 NDVI 값과 분광복사계로 측정한 반사율을 조합하여 계산한 NDVI 값은 연구 기간 동안 항공 촬영 당일 잔디, 콩 군락 동일 지점에서 측정한 값을 계산하여 비교하였다. 또한, 동일 영상에서 다양한 토지 피복간의 식생지수 비교를 위해 ‘15년 10월 28일 무인기 영상 촬영 시에 지름 1 m의 원형 구획 안에 콩 12구, 잔디 3구, 나지 3구가 위치한 국립농업과학원 중량식 Lysimeter (Fig. 5)에서 무인기로 촬영한 항공영상의 NDVI와 지상광학센서 (Ground-based remote sensor)인 CropCircle (Holland Scientific, USA)로 측정한 NDVI 값을 비교하였다. 지상광학센서의 원리는 Red 및 NIR 파장영역의 LED 광을 방사하여 지표면에서 반사되는 반사값을 NDVI로 산정하는 것이다. 센서 측정은 군락 및 지표면에서 높이 50 cm로 하였고, 이때 관측폭은 28 cm × 6 cm이었다.
합성된 항공영상과 반사율 영상의 처리 및 NDVI 영상 제작은 Leica사의 Erdas Imagine 및 ERIS사의 Arcgis Arcinfo 프로그램을 사용하여 수행하였다.
Results and Discussion
항공영상 반사율 비교 무인기로 촬영한 항공영상의 DN과 분광복사계로 지상의 반사판을 측정한 반사율 간의 1차 함수적 관계, 2차 함수적 관계, 지수 함수적 관계식의 적용 사례는 Fig. 6과 같았다. 52% 반사율 Calibration tarp에서 항공영상 DN값과 분광복사계 측정 반사율 값이 다른 반사율 Calibration tarp의 측정값에 비해 DN 값 대비 분광복사계 측정 반사율이 높아지는 경향을 보여 비선형적 관계를 보였으며, 이러한 경향은 Green, Red, NIR 모든 밴드에서 동일한 경향이었다. 이럴 경우 1차 함수적 관계식을 적용하면 중간 DN 값은 높게 추정 되는 반면 양단의 높고 낮은 DN의 경우 과소, 과대 추정되는 경향을 보이게 된다. 그러나 2차 함수적 관계 또는 지수 함수적 관계식을 적용할 경우에는 선형에 비해 추정 오차를 줄일 수 있었다. 결정계수는 2차 함수식, 지수 함수식, 1차 함수식 순으로 높았으며, RMSE는 1차 함수식, 지수 함수식, 2차 함수식의 순으로 높아 2차 함수식이 반사율 산정에 가장 적합한 것으로 나타났다 (Table 4, Table 5). 이러한 결과는 카메라 성능이 우수한 위성 및 유인 항공기에서 촬영한 영상이 DN과 반사율 사이에 선형의 관계를 보인 반면 (Dwyer et al., 1995; Smith and Milton, 1999), 무인기에 부착해 사용하는 소형 디지털 카메라의 경우 1차 함수적 관계를 보이지 않고 지수 함수적 관계를 보였다는 Wang and Myint (2015)의 연구와 유사한 결과이다. 지수 함수식과 2차 함수식을 비교한 결과 2차 함수식의 결정계수가 더 높고 RMSE가 낮을 뿐 아니라, 지수 함수식의 경우 높은 반사율의 tarp에서 RMSE가 0.1 내외로 증가하여 실제 반사율 보다 과다하게 추정되는 경향을 보였다. 따라서 본 연구에서는 2차 함수식을 항공영상의 반사율 산정을 위한 보정식으로 채택하여 tarp 및 지표면 (잔디, 계단, 콩 군락)의 반사율을 산정하였다.
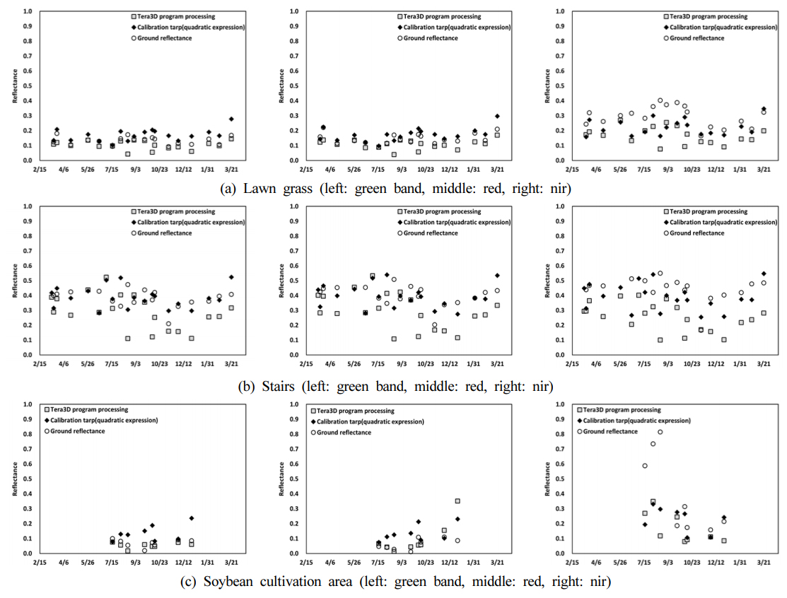
2차 함수식으로 산정한 반사율 영상과 무인기 영상 처리 프로그램인 Tera3D에서 자동으로 작성된 반사율 영상에서 Calibration tarp 및 잔디, 계단, 콩 군락의 반사율을 추출하여 1년 동안의 변화를 도시한 것은 Fig. 7, Fig. 8과 같다. 분광복사계로 측정한 Calibration tarp의 반사율은 대체적으로 1년 동안 50~60%의 값을 보였으나 운량이 6~8의 값을 보인 ‘15년 3월 16일, 6월 19일, 7월 4일, 7월 17일, 8월 18일, 10월 8일, 11월 11일의 경우 0.6 이상으로 높아지거나 0.5이하로 낮아지는 현상을 보였다. 이는 분광복사계 측정 방식이 입사되는 광량에 대해서 100%의 반사율을 갖는 반사판을 사전에 측정하고 이를 기준으로 하여 측정하고자 하는 물체의 반사율을 상대적으로 산정하는 방식이라 운량이 많은 날의 경우 순간적인 광량 변화가 잦아 반사율의 변동이 커졌기 때문으로 판단된다. Calibration tarp 보정식을 이용해서 산정한 반사율의 경우 분광복사계로 측정한 Calibration tarp의 반사율 값과 거의 일치하는 경향을 보였다. 그러나 무인기 영상처리 프로그램인 Tera3D를 통해 제공되는 반사율의 경우 실측 반사율에 비해 대체적으로 낮은 값을 보였다. 또한 운량에 따라서도 큰 영향을 받았는데 무인기 영상 촬영 당시 운량이 6~8이었던 ’15년 3월 16일, 6월 19일, 7월 17일, 8월 18일, 10월 8일, 11월 11일의 반사율 하락 폭이 컸으며 운량이 8이었던 8월 18일의 반사율 값이 가장 낮았다. 운량이 없는 맑은 날의 경우에도 겨울철의 경우 반사율 값이 작았는데 이는 Tera3D 프로그램의 경우 촬영된 항공영상의 DN 값에 비례하여 반사율을 상대적으로 추정하게 되는데 운량 및 겨울철 낮은 태앙 고도 등으로 입사되는 광량이 줄면서 항공영상의 DN 값이 작아졌기 때문으로 판단된다. Tera3D 프로그램으로 산정한 반사율 값과 실측한 반사율 값의 차이는 52% 반사율 Tarp에서 가장 컸으며 35%, 23%, 3% 반사율 반사판으로 갈수록 하락폭이 줄어들어 3% 반사율 반사판에서는 실측값과 거의 유사한 경향을 보였으며, 카메라 밴드별로는 Red, Green 밴드에 비해 NIR 밴드의 반사율이 더 낮은 경향을 보였다. 이는 무인기에 탑재했던 S110 카메라의 경우 Red, Green 밴드에 비해 NIR 밴드에서 카메라로 입사되는 광량을 검출할 수 있는 반응율 (Response)이 낮았던 것에 기인한 것으로 판단된다.
잔디, 계단, 콩 군락에 대해 촬영된 항공영상에 2차 함수식을 적용하여 산정한 반사율 변화는 Fig. 8과 같았다. 식생은 생육이 무성할 경우 입사되는 광에서 Red 파장 영역은 흡수하고 NIR 파장 영역은 반사하는 특성을 가지고 있는데 (Tomas and Gausman, 1977), 분광복사계를 이용하여 잔디와 콩 군락의 분광 반사율을 측정한 결과 식생 성장이 무성한 5월에서 9월까지 Red 파장 영역의 반사율은 낮은데 비해 NIR 파장 영역의 경우 식생의 성장과 함께 뚜렷한 등락을 보여 기존 연구 결과와 동일한 경향을 보였다. 그러나 무인기 영상처리 프로그램인 Tera3D 및 Calibration tarp를 활용해 작성한 함수식으로 산정한 반사율은 지상에서 분광복사계로 측정한 반사율 값과 다른 경향을 보였다. Tera3D 프로그램을 통해 산정된 반사율의 경우 앞서 Calibration tarp의 반사율 산정 시와 마찬가지로 분광복사계 측정값에 비해 작은 값을 보였으며 운량 및 광량의 변화에 큰 영향을 받았다. Calibration tarp를 활용해 작성한 함수식으로 산정한 반사율 또한 Red, Green 영역에서는 분광복사계 측정값에 비해 값이 크고 NIR 영역에서는 작은 값을 보였다. 콘크리트 계단의 경우 식생과 달리 일정한 반사율을 보여야 하지만 Tera3D 프로그램 및 함수식으로 산정한 반사율 모두 분광복사계로 측정한 값과는 큰 차이를 보였다. 이는 동일한 조건에서 촬영된 위성 영상과 달리 무인기 항공영상의 경우 촬영 면적이 넓지 않아 수십 ~ 수백 장의 영상을 합성하여 사용하게 되는데 개별로 영상이 촬영되는 시점의 기상 조건, 광량 등 촬영 환경이 각기 달라서 발생한 영상간의 편차가 반사율 산정에 반영되지 못하였기 때문으로 판단된다. 따라서 위성영상과 달리 시차를 두면서 얻어지는 항공영상의 균일한 반사율 산정을 위해서는 기상, 광 환경 등 촬영환경 차이에 따른 반사율 편차 보정 방안이 추가적으로 연구되어야 할 것으로 판단된다.
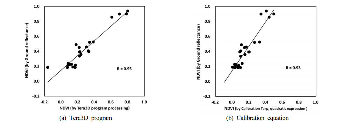
식생지수 비교 잔디, 콩 군락의 반사율 영상을 활용하여 NDVI 값을 산정하고 분광복사계의 측정값 중에서 카메라 중심파장 (Red 625 nm , NIR 850 nm)으로 NDVI를 산정하여 그 변화를 도시한 것은 Fig. 9와 같았다. 지상에서 분광복사계로 측정한 반사율로 산정한 NDVI는 잔디의 경우 0.2~0.6의 범위를 보였는데 식생의 성장이 왕성한 여름철에 증가했다가 가을철에 감소하는 경향을 보였다. 7월부터 측정한 콩의 경우에도 9월까지 증가하다 이후 수확기로 갈수록 감소하는 경향을 보여 식생의 성장 패턴을 잘 반영하는 것으로 보였다. Tera3D 프로그램으로 제작한 반사율 영상을 기반으로 작성한 NDVI의 경우 지상에서 측정한 반사율 기반으로 작성한 NDVI 보다 0.1~0.3 정도 작은 값을 보였으나 전반적으로 유사한 등락 경향을 보였다. Calibration tarp의 반사율과의 항공영상 DN 값의 함수식으로 제작한 반사율 영상 기반의 NDVI는 지상에서 측정한 반사율 기반으로 작성한 NDVI 보다 0.2~0.5 정도 작은 값을 보여 Tera3D 프로그램으로 제작한 반사율 영상을 기반으로 작성한 NDVI에 비해 더 낮은 값을 보였으나 NDVI의 변화는 대체적으로 유사한 경향을 보였다. 잔디 및 콩 군락에 대한 분광복사계 측정 반사율로 산정한 NDVI와 Tera3D 프로그램, Calibration tarp 함수식으로 제작한 반사율 영상 기반의 NDVI 상관관계는 Fig. 10과 같았다. Tera3D 프로그램, Calibration tarp 함수식으로 제작한 반사율 영상 기반의 NDVI는 분광복사계로 측정한 반사율로 산정한 NDVI와 각각 상관계수가 0.95, 0.93의 높은 상관관계를 보였다. 또한, 동일한 촬영 일자에 다양한 지표면의 NDVI 비교를 위해 ‘15년 10월 8일 국립농업과학원 중량식 Lysimeter 시설에서 콩, 잔디, 나대지를 대상으로 지상광학센서 (Ground-based remote sensor)인 CropCircle (Holland Scientific, USA)로 측정한 NDVI 값과 항공영상 기반의 NDVI값을 비교한 결과 (Fig. 11)도 항공영상의 NDVI가 경향에 비해 작게 나온 나지 1점을 제외하면 각각 상관계수 0.97, 0.95로 높은 상관관계를 보였다. 이는 풋거름 작물인 헤어리베치의 질소함량을 무인기 영상으로 산정한 NDVI로 추정한 Lee et al. (2015)의 연구에서 헤어리베치, 둑새풀, 나지 등 다양한 토지피복을 지상 광학센서로 측정한 NDVI와 무인기 영상으로 산정한 NDVI가 0.95의 높은 상관계수를 보였다는 연구와 유사한 결과이다. 반사율 영상의 경우 촬영 환경에 큰 영향을 받을 뿐 아니라 지상에서 측정한 분광복사계 반사율과 일정한 경향을 보이지 않았으나 NDVI의 경우에는 촬영환경 조건에 큰 영향 없이 지상 센서 측정값과 유사한 변화 경향과 높은 상관관계를 보인 것은 NDVI의 경우 Red, NIR 영역 반사율의 상대적인 비율로 산정됨으로 시계열로 측정되는 항공영상의 촬영환경이 낱장별로 달라지더라도 낱장에서 함께 촬영되는 Red, NIR 영역의 영상이 함께 영향을 받기 때문에 NDVI 산정 시에는 지상 광학센서로 측정한 값과 유사한 결과를 보인 것으로 판단된다. 이는 고정익 및 회전익 무인기에 디지털 카메라를 부착하여 밀, 보리 등 맥류 재배 시험포장에서 식생지수를 산정하고 지상 광학센서로 측정한 식생지수와 비교한 결과와 유사한 결과를 보였다는 Rasmussen et al. (2016), Torres-Sanchez et al. (2014)의 연구 결과와 일치한다. 따라서 NDVI가 작물의 생체량, 엽록소 함량, 질소량 추정 등에 폭 넓게 이용되어온 만큼 (Cohen, 1991; Lyon et al., 1998; Richardson and Everitt, 1992) 무인기 영상으로 산정한 NDVI를 작물 생체량, 엽록소, 질소량 및 이와 연관된 작물 생육인자 추정에 적용할 수 있을 것으로 판단된다.
Conclusions
최근 급속한 기술 발전을 보이고 있는 무인기의 농작물 생육 모니터링 적용 가능성을 평가하고자 2015년 3월부터 2016년 3월까지 국립농업과학원 시험 연구포장을 고정익 무인기 Ebee를 활용하여 20회 항공 촬영하고 영상의 반사율과 NDVI 값을 산정하여 지상 광학 센서에서 측정한 값과 비교하였다. 그 결과 Calibration tarp를 활용해 항공영상의 DN값을 반사율로 환산하는 회귀식 작성 시에는 2차 곡선식이 가장 적합한 것으로 나타났다. 그러나 다양한 지표면 물체 (잔디, 계단, 콩)를 대상으로 항공영상 반사율을 산정하여 지상에서 분광복사계로 측정한 반사율과 비교한 결과 항공영상으로 산정한 반사율의 경우 지상에서 측정한 분광복사계 반사율과 일정한 경향을 보이지 않았으며, 기상, 광 환경 등 촬영환경 차이에 따른 반사율 편차도 커서 이에 대한 보정 방안 연구가 추가적으로 필요할 것으로 판단된다. 대표적인 식생지수의 하나인 NDVI의 경우에는 촬영환경 조건에 큰 영향 없이 지상 센서에서 측정한 값과 유사한 시계열적 변화 경향과 높은 상관관계를 보여 NDVI를 활용한 작물의 생체량, 엽록소 함량, 질소량 및 이와 연관된 작물생육 인자 추정에 적용 가능할 것으로 판단된다.



















