Introduction
In Korea, 936 Mg of veterinary antibiotic active ingredients were consumed in 2012 (APQA, 2013). Antibiotics administrated to livestock may be excreted in the urine and feces (Aga et al., 2003; Vaclavik et al., 2004), and eventually enter soil environment through the application of animal manure compost to agricultural fields. Seo et al. (2007) suggested eight antibiotics including chlortetracycline (CTC), sulfamethazine (SMT), and tylosin (TYL) have a greater priority of environmental risk in Korea based on the consumption and the potential to reach environment. Lee et al. (2010) evaluated ten antibiotics in soil, water, and sediment adjacent to a cattle manure composting facility in Korea and reported that tetracyclines were detected at the highest concentration. For example, tetracycline concentrations in soil ranged from 152 to 592 µg kg-1 in September. Ok et al. (2011) and Awad et al. (2014) reported that the levels of seven antibiotics in water, sediment, and soil near a swine manure composting facility in Korea were much higher than other countries.
Veterinary antibiotics given to animals have a potential risk to be taken up by crops when farmers applied livestock compost to agricultural land as an organic fertilizer. A couple of studies have been performed to examine the possibility of the veterinary antibiotics to be taken up by plants from soil amended with antibiotic-laden animal manure. Kumar et al. (2005) reported absorption of chlortetracycline by corn, green onion, and cabbage up to 17 ng g-1 fresh weight from the soil fertilized with swine manure spiked with antibiotics. Boxall et al. (2006) observed uptake of three veterinary medicines including trimethoprim by lettuce and four antibiotics including enrofloxacin by carrot. Dolliver et al. (2007) treated sulfamethazine at rates of 2.8 and 5.6 kg ha-1 and found the antibiotic at concentrations ranging from 0.1 to 1.2 mg kg-1 dry weight in lettuce, potato, and corn. Seo et al. (2010) detected CTC up to 3.4 ng g-1 on a fresh weight basis, TYL up to 20.1 ng g-1, and SMT up to 63.3 ng g-1 in lettuce leaves, tomato fruits, and hairy vetch when they treated the antibiotics to swine slurry containing 22.9 mg CTC L-1, 27.8 mg TYL L-1, and 32.4 mg SMT L-1. Ahmed et al. (2015) reported that tetracyclines and sulfonamides were detected in roots and leaves of cucumber and tomato after applying the antibiotics at the levels of 5-20 mg kg-1 soil. Park et al. (2016) reported that transfer ratio of three tetracyclines, three sulfonamides, and TYL into red radish and red cabbage ranged from 0.38% to 54.3% through hydroponic method. Azanu et al. (2016) showed higher uptake of amoxicillin than tetracycline by lettuce and carrots. In addition, prolonged wastewater irrigation may facilitate the uptake of antibiotics including sulfamethoxazole by tomato fruits (Christou et al., 2017). Therefore, consumers may unknowingly intake antibiotics through consumption of fresh produce.
The objective of this study was to examine the effect of zeolite and shell meal fertilizer amendment on veterinary antibiotic uptake by lettuce grown in soil applied with chicken manure compost containing three antibiotics.
Materials and Methods
The chemical characteristics of a greenhouse soil and chemical composition of a chicken manure compost used in the study are presented in Tables 1 and 2, respectively. Three antibiotics tested in the study were not detected in the compost. The compost of 20 kg was spiked with 2.4 L of 800 mg L-1 of CTC, TYL, and SMT. The compost treated with the antibiotics was applied to the soil at a rate of 10.3 Mg ha-1 based on standard nitrogen fertilization of lettuce, 200 kg ha-1, and nitrogen content of the compost, 19 g kg-1. Treatment level of antibiotics was 1 kg ha-1 which is correspoding to 0.5 mg kg-1 soil by assuming the bulk density of 1.3 g cm-3 and soil depth of 15 cm. Zeolite and shell meal fertilizer were amended to the soil at two levels, 0.5 and 2 Mg ha-1 for shell meal fertilizer and 1.5 and 6 Mg ha-1 for zeolite. The compost alone was applied to control plots. After mixing the compost and zeolite or shell meal fertilizer with the surface soil, 22 seedings of lettuce (Lactuca sativa L.) were transplanted to each plot of 0.8 m2 in the middle of April. The experiment was conducted in a greenhouse and the treatments were arranged in a randomized block design with three replicates. The lettuce plants were harvested on 33, 49, and 61 days after transplanting.
Antibiotic levels in the lettuce were determined using the method proposed by Kumar et al. (2005), Dolliver et al. (2007), and Seo et al. (2010). Briefly, fresh leaves were finely ground in a blender and the anbiotics were extracted from 10 g of the sample using 20 mL of buffered peptone water (pH 7). Samples were shaken on a rotary shaker for 4 h and centrifuged at 2500 g for 15 min. The supernatant was collected for antibiotic analysis with Enzyme-linked immunosorbent assay (ELISA) kits (R-Biopharm AG, Darmstadt, Germany for sulfamethazine and tetracyclin and Tecna S.r.l., Trieste, Italy for tylosin). After adding standard solution or sample to wells coated with tetracycline- protein conjugate, antibody solution was added to the wells. Any unbound antibody was removed in a washing step and enzyme conjugate was added. After removing unbound enzyme-labeled antibodies with a washing step, enzyme substrate and chromogen were added. Tetracycline levels were determined by measuring the absorbance at 450 nm after adding stop solution. For TYL, after adding standards and samples to wells coated with high affinity capture antibody, the enzyme conjugate was added to compete with TYL in the sample for binding sites on the capture antibody. Any unbound enzyme conjugate was removed by a series of washings and color-developing solution was added. The reaction was stopped by adding stop solution and the absorbance at 450 nm was measured. For SMT, standard solution or sample was applied to wells coated with immobilized antibody, followed by adding enzyme conjugate and antibody solutions. The unbound enzyme conjugate was removed through a washing step and the same amount of substrate and chromogen were added. After incubation, stop solution was added and the absorbance at 450 nm was measured.
The antibiotics in soil after harvesting lettuce were extracted using buffered peptone water (pH 7). The levels of the antibiotic were determined by the same method described above using the ELISA kits. The detection limits of the ELISA technique were 0.1 ng g-1 for CTC, 1.0 ng g-1 for TYL, and 6.0 ng g-1 for SMT.
All statistical analyses were performed with the SAS (ver. 9.2, SAS, Cary, NC) program. An alpha value of 0.05 was chosen to indicate statistical significance.
Results and Discussion
Chlortetracycline was detected from lettuce leaves on 33 days after transplanting but not on the other dates (Fig. 1(a)). Chlortetracycline concentrations for this study were less than 0.3 µg kg-1 on a fresh weight basis which was less than 2-17 µg kg-1 fresh weight reported by Kumar et al. (2005) for green onion, cabbage, and corn. Please note that the spiked level of the antibiotic in this study, 500 µg kg-1 soil was comparable with that of Kumar et al. (2005), 294-794 µg kg-1. Antibiotic uptake by plants can be dependent on other factors including soil characteristics and plant type (Jjemba, 2002; Kumar et al., 2005; Seo et al., 2010; Ahmed et al., 2015; Azanu et al., 2016; Park et al., 2016). Bioavailability of veterinary antibiotics to plants was affected by the sorption kinetics of the antibiotics, soil organic matter and soil acidity (Jjemba, 2002). Grote et al. (2007) detected CTC up to 44 µg kg-1 fresh weight in grains of winter wheat cultivated on fertilized soil with liquid manure containing antibiotics. Seo et al. (2010) reported that 3.4 µg kg-1 of CTC on a fresh weight basis in lettuce leaves cultivated in a greenhouse soil fertilized with swine slurry treated the antibiotic at a rate of 22.9 mg L-1. Ahmed et al. (2015) treated CTC at a level of 20 mg kg-1 soil and detected 204 µg kg-1 fresh weight in lettuce leaves. They reported that total absorbed amounts of tetracyclines by lettuce, tomato, and cucumber linearly increased as the concentration of the antibiotics into soils increased. Kumar et al. (2005) also concluded that the absorbed CTC level in corn, cabbage, and green onion increased with increasing amount of CTC present in the manure. Azanu et al. (2016) applied 0.1-15 mg L-1 tetracycline solution to lettuce plants and observed tetracycline taken up by lettuce leaves with concentrations ranging from 4.4 to 28.3 µg kg-1. The CTC levels in lettuce were reduced to less than 0.08 µg kg-1 by zeolite application compared with 0.26 µg kg-1 for control without amendment. The reduction effect of shell meal fertilizer was not observed for application at a level of 0.5 Mg ha-1. Chlortetracycline was not detected on 49 and 61 days after transplanting possibly due to reduced bioavailability of CTC with time.

Fig. 1.
Concentrations of (a) CTC and (b) SMT in lettuce leaves on 33, 49, and 61 days after transplanting. SMF1 and SMF2 denote shell meal fertilizer application at levels of 0.5 and 2 Mg ha-1, respectively and Zeolite1 and Zeolite2 denote zeolite at rates of 1.5 and 6 Mg ha-1, respectively. Error bars indicate ±1 standard deviation. Treatments with same letter in each date are not significantly different at the 0.05 probability level.
Tylosin was not detected even for control without any amendment at all dates. Kumar et al. (2005) also reported that TYL was not detected in corn, green onion, and cabbage even when the antibiotic was spiked to swine manure at levels of 294-794 µg kg-1. They explained that TYL has higher molecular weight of 916, lower water solubility of 5,000 mg L-1, and higher octanol-water partition coefficient of 316 than those of CTC, 479, 8,600 mg L-1, and 0.41, respectively. On the other hand, Park et al. (2016) reported that TYL showed higher absorption than three tetracyclines and three sulfonamides for red radish and red cabbage because of neutral characteristic (pKa of 7.5/9.0) and balance of hydrophilic and hydrophobic properties (Log Kow of 3.5) of TYL.
On the contrary to CTC and TYL, SMT was detected at relatively high concentrations on all dates tested (Fig. 1(b)) presumably due to relatively low molecular weight, water soluble property, and weak sorption to soil (Boxall et al., 2002; Dolliver et al., 2007; Ahmed et al., 2015). Sulfamethazine levels in lettuce ranged from 11 to 19 µg kg-1 on a fresh weight basis which was less than the result of Dolliver et al. (2007), 8-100 µg kg-1, which is possibly a result of high application rates, 2.8 and 5.6 kg ha-1 compared with 1 kg ha-1 of this study. Seo et al. (2010) detected 63.3 µg SMT kg-1 on a fresh weight basis in lettuce leaves cultivated in a greenhouse soil fertilized with SMT- spiked swine slurry at a rate of 32.4 mg L-1. In case of SMT treatment at a high level such as 5 and 10 mg kg-1, the SMT level in lettuce leaves can be high up to 1.02 and 2.34 mg kg-1, respectively (Ahmed et al., 2015). Application of shell meal fertilizer or zeolite decreased the SMT levels in lettuce compared with control without any amendment.
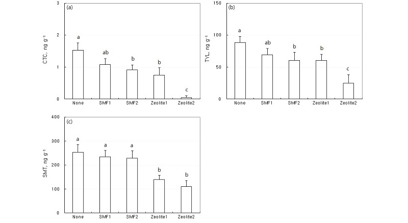
The levels of extractable CTC, TYL, and SMT in soil after harvesting lettuce were reduced by application of zeolite at a greater extent than shell meal fertilizer (Fig. 2). Chlortetracyclin concentrations in soil extracted with buffer solution were reduced to less than 0.8 µg kg-1 by zeolite application compared with 1.5 µg kg-1 for control without amendment. The CTC level in soil of shell meal fertilizer amendment was not significantly different from control at a rate of 0.5 Mg ha-1. Absorption of CTC by lettuce can be decreased through reduced the CTC level in soil by amendment of zeolite. For TYL, zeolite amendment decreased the levels in soil to 25-61 µg kg-1 compared with 88 µg kg-1 for control. Extractable SMT levels in soil were 110-140 µg kg-1 for zeolite application which is less than that of control, 254 µg kg-1. The amendment of shell meal fertilizer at a level of 0.5 Mg ha-1 did not show significant difference from control without application.
Although it is not clear if intake of antibiotics in agricultural produce can result in adverse impacts on human health, it is possible to cause some potential adverse effects such as antibiotic resistance and allergic or toxic reactions, especially to sensitive people including infants and pregnant (Kumar et al., 2005; Ahmed et al., 2015; Azanu et al., 2016; Christou et al., 2017).

Fig. 2.
Concentrations of (a) CTC, (b) TYL, and (c) SMT in soil after harvesting lettuce. SMF1 and SMF2 denote shell meal fertilizer application at levels of 0.5 and 2 Mg ha-1, respectively and Zeolite1 and Zeolite2 denote zeolite at rates of 1.5 and 6 Mg ha-1, respectively. Error bars indicate ±1 standard deviation. Treatments with same letter in each date are not significantly different at the 0.05 probability level.
Conclusions
This study demonstrates uptake of CTC and SMT by lettuce (Lactuca sativa) and the agricultural practice to reduce the level of the antibiotics in the crop. Levels of the antibiotics in leaves were up to 0.26 µg kg-1 on a fresh weight basis for CTC and 19 µg kg-1 for SMT. The results imply that zeolite amendment at a rate of 1.5 Mg ha-1 can reduce uptake of CTC and SMT by lettuce possibly through immobilization of the antibiotics in soil by adsorbing them at greater extent than shell meal fertilizer amendment.




