Introduction
토양은 농업적인 측면에서 작물에 물과 양분을 공급하는 배지이다. 토양에 공급된 양분과 수분이 토양에 저장되거나 토양을 통해 이동하는 양은 토양의 물리적 특성에 따라 달라진다. 특히 토양을 통한 양분과 수분의 이동은 토양의 수리적 특성에 크게 영향을 받는다 (Sumner and Bradner, 1996). 이러한 토양의 수리적인 특성은 물의 순환을 평가할 때도 중요한 요소이다. 따라서 농업활동과 수자원 관리를 위해 토양의 수리특성에 대한 정량적 자료의 구축이 필요하다 (Seo et al., 2008; Hyun et al., 2003).
토양 수리특성 자료는 두 가지 방식으로 구축할 수 있다. 한가지는 토양종류별로 수리특성을 직접 측정하는 것이며 다른 하나는 토양특성 전환공식 (PTF, pedotransfer function)을 만들어 기존에 축적한 토양종류별 특성자료를 이용하여 추정하는 것이다. 토양 수리특성을 직접 측정하는 것은 시간과 노력이 소비되는 과정이기 때문에 여타의 토양특성에 대한 DB가 이미 구축된 경우 PTF를 활용하는 것이 효율적이다. PTF는 모래, 미사, 점토의 함량, 유기물 함량 등 토양의 입자특성을 이용하는 경우가 대부분이며 (Cambell, 1985; Cosby et al., 1984; Vereecken et al., 1990), 용적밀도, 공극률 등 토양의 다짐 정도에 대한 특성을 활용할 때도 있다 (Saxton et al., 1986; Saxton et al., 2006). 토양의 수리특성은 토양의 입도특성과 구조특성에 의해 좌우되나 PTF를 이용할 때는 정성적인 구조특성을 고려하기 어렵다는 한계가 있다 (Jung et al., 2015).
우리나라의 토양은 크게 산림토양, 밭토양, 논토양으로 구분하는데, 이는 우리나라의 전통적 토지이용 방식이 토양의 생성인자와 밀접히 연계되어 있기 때문이다 (ASI, 1992; NAAS, 2014). 산림토양은 경사 상부에 위치하며, 주로 잔적의 방식으로 생성된 반면 밭토양은 산림토양에 비해 경사 하부에 위치하므로 붕적의 방식으로 생성된 경우가 많다. 논토양의 경우 주로 평탄지에 위치하며 충적에 의해 형성된다. 따라서 산림토양과 밭토양의 A층에서는 입상구조, B층에서는 괴상구조나 주상구조가 일반적인 반면 논토양에서는 판상구조가 주로 발견된다. 따라서 토지이용형태나 토양층위별 PTF를 개발할 경우 토양의 구조적 특성을 고려한 공식의 개발이 가능하다.
우리나라 토양의 수리특성을 평가하기 위해 32개 논토양의 침투율과 감수심이 보고된 바 있으며 (Oh and Ryu, 1973), 주요 밭 및 산림토양 5개통을 대상으로 침투율 및 유거율을 측정한 바 있으나 (Jung and Ryu, 1976), 우리나라 토양 전반의 수리 특성을 정량적으로 해석하기에는 한계가 있다. 최근 우리나라의 대표 산림토양 21개통에 대해 수리특성을 분석하고 PTF가 층위별로 개발되었으나 (Jung et al., 2015) 우리나라 농경지 토양의 수리특성에 대한 PTF는 석회암 토양 연접군 (soil catena)의 일부 토양 외에는 연구 시도가 미비하다 (Hur et al., 2008).
본 연구에서는 우리나라 농경지 토양의 수리특성과 입자특성의 관계를 해석하고자 하였으며, 제한된 자료로 수리특성을 분석할 수 있는 토양특성 전환공식에 대한 우리나라 농경지 토양에서 적용성을 검토하고자 하였다.
Materials and Methods
토양 연접군별 대표 논/밭 토양통의 선정 대표 논토양은 우리나라 논토양 면적의 90.1%를 차지하는 5개 대표 토양연접군에서 면적에 따라 18개 토양통을 선정하였으며, 대표 논토양은 밭토양 면적의 95%이상을 점유하는 9개 토양연접군에서 면적에 따라 26개 토양통을 선정하였다 (Table 1 ). 토양통별로 밀집지역을 선정하여 3지점에서 수리특성을 현장에서 측정하고 토양 시료 채취를 하였다. 자갈 함량이 다양한 토양통에 대해서는 자갈 없음 등급에 해당하는 토양구를 선정하였다.

수리특성 및 입도특성 분석 현장 측정 및 시료의 채취는 논토양은 해빙 후에서 경운 전 (3~5월)에 수행하였으며, 밭토양은 경운 후 토양이 안정된 시기 (6~9월)에 실시하였다. 강우 직후에는 한계침투속도 측정이 어려우므로 강우일 및 차일에는 측정 및 채취를 수행하지 않았다. 표토의 한계침투속도는 현장 측정용 장력 침투속도계 (Tension infiltrometer, Eijkelkamp)를 사용하였으며 (Reynolds, W.D., 1993), 상부경계가 토심 10 cm 아래에 위치하는 토양 층위의 투수속도는 현장측정용 투수속도계 (Guelph permeameter, Soilmoisture)를 이용하였다 (Reynolds and Elrick, 1990). 토양 층위별로 시료를 채취하여 응달에서 풍건한 후 자갈함량, 무기입자 크기별 분포, 유기물함량을 분석하였다. 무기입자의 크기별 분포는 비중계법으로 분석하였으며, 유기물 함량은 Wakley- Black법으로 분석하였다 (NIAST, 2000). 코어 오거를 이용하여 층위별로 100 mL 메탈링 시료를 채취한 후 105°C에서 18시간 건조하여 공극률 (=용적 포화수분함량)을 측정하였다.
PTF 적용성 검토 우리나라 논/밭토양의 층위별 수리특성을 PTF를 이용하여 모사할 수 있는지를 평가하기 위해 표토의 한계 침투속도 또는 심토의 투수속도와 입도특성간의 상관관계를 분석하였다. 한계 침투속도와 투수속도는 궁극적으로 포화 수리전도도 (Ks)에 수렴하는 값이며 Ks와 입도분포가 지수적 관계를 나타낸다고 알려져 있기 때문에 Ks를 로그로 변환하여 상관관계를 분석하였다 (Cosby, 1985). 기존에 활용하고 있는 PTF의 적용성을 검토하기 위하여 범용적으로 사용되는 Saxton 식의 추정값과 실측값을 비교하였다 (Saxton et al., 1986).
Ks = 2.78 × 10-6 × exp(12.0 – 0.0755S + (Eq.1)(-3.90 + 0.0367S – 0.110C + 8.75 × 10-4C2)/θs))
여기에서 S는 모래, C는 점토, OM은 유기물, θs는 용적 포화수분함량이다. 또한 우리나라 논/밭 토양의 층위별 PTF를 단계적 다중 회귀분석 (stepwise multiple regression)을 이용하여 결정하였다.
Log(Ks × 107) = ax1 + bx2 + ... + c (Eq.2)
여기에서 Ks의 단위는 cm sec-1이며, x는 각 입도특성을 나타낸다. 107을 곱한 후 로그로 전환한 이유는 우리나라의 Ks 등급이 매우 느림 (≤10-6 cm sec-1), 느림 (10-5-10-6), 약간 느림 (10-4-10-5), 약간 빠름 (10-3-10-4), 빠름 (10-2-10-3), 매우 빠름 (>10-2)으로 나뉘므로 정수부를 이용하여 바로 Ks등급을 판단할 수 있기 때문이다 (NSSC, 2012). Saxton 식과 개발 PTF의 적용성은 식의 결정계수 (R2)와 평균 제곱근오차 (root mean square error, RMSE)를 이용하여 검토하였다.
통계분석 분산분석, 상관분석, 단계적 다중 회귀분석 등 통계분석을 위해 SAS 9.2 (SAS Institute, US)를 사용하였다. 상관분석시 유의성은 α<0.05 수준에서 검정하였고, 단계적 회귀분석에서 변수 채택시 유의성은 α<0.15 수준에서 결정하였다.
Results
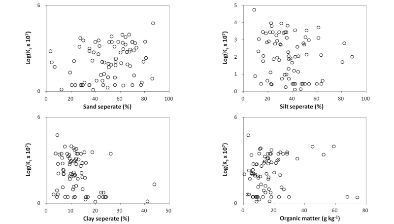
논토양의 수리특성 우리나라 논토양의 현장 포화수리전도도는 토양층위에 따라 다르게 나타났다 (Fig. 1 (a)). 특히 A층의 포화수리전도도는 B, C층의 현장 포화 수리전도도와 비교하여 고도로 유의하게 큰 값을 나타내었다 (p<0.001). A층은 69.6%에 해당하는 토양이 포화수리전도도 약간 빠름 등급에 해당하였으며 매우 느림 또는 느림 등급에 해당하는 토양이 10% 미만이었다. B층은 매우 느림 또는 느림 등급에 해당하는 토양이 62.5%였으며, 약간 빠름 등급에 해당하는 토양은 6.3%에 불과하였다. C층의 포화수리전도도 등급의 분포는 B층과 유사하였으나 상대적으로 B층에 비해 넓게 분포하여 포화수리전도도가 약간 빠름 또는 빠름 등급에 해당하는 토양이 19.1%였다. 논의 현장 포화수리전도도는 입자특성과도 상관성을 나타내었다 (Table 2, Fig. 2). 전체 토양단면을 분석하였을 때, 모래함량은 현장 포화수리전도도와 유의한 정의 상관관계를 나타내었고 (p<0.05), 점토함량은 고도로 유의한 부의 상관관계를 나타내었으나 (p<0.01), 미사와 유기물함량은 유의한 관계를 나타내지 않았다. 층위별로는 A층과 B층에서 현장 포화 수리전도도와 점토함량의 상관성이 높게 나타났으며, 상관계수는 각각 -0.50, -0.39였다. 주어진 입자특성의 범위에서 논토양의 현장 포화 수리전도도는 주로 매우 느림에서 약간 빠름 등급에 분포하였으나 Saxton 식을 사용하여 포화 수리전도도를 추정한 결과 약간 빠름에서 빠름 등급에 분포하는 것으로 나타나 Saxton 식을 사용하여 논토양의 수리특성을 평가하면 수배에서 수만배까지 과대평가하였다 (Fig. 4(a)). 단계별 다중 회귀에 의해 추정식을 도출하였으나 (Table 3) 입자특성과 현장 포화 수리전도도의 상관성이 낮아 측정값과 추정값의 차이가 컸으며, 현장 포화수리전도도가 낮을 때는 과대평가, 높을 때는 과소평가하는 경향을 나타내었다 (Fig. 4(a)).

밭토양의 수리특성 우리나라 밭토양의 현장 포화수리전도도는 약간 빠름에 가장 많이 분포하였으며 빠름부터 약간 느림까지 주로 분포하였다 (Fig. 1(b)). A층은 97.1%에 해당하는 토양이 포화수리전도도 약간 느림에서 빠름 등급에 해당하였으며 매우 느림 또는 느림 등급에 해당하는 토양은 발견되지 않았다. B층은 81.1%가 약간 느림에서 빠름 등급에 분포하였으며, 18.9%의 토양이 매우 느림 또는 느림 등급에 해당하였다. C층의 포화수리전도도 등급의 분포는 B층과 유사하였다. 밭의 현장 포화수리전도도는 모래함량과 유기물함량과 유의한 정의 상관관계를 나타내었다 (Table 2, Fig. 3). 층위별로 밭의 현장 포화수리전도도와 입자분포의 상관성을 분석하였을 때에는 유의한 상관성이 발견되지 않았다. 주어진 입자특성에서 밭토양의 현장 포화 수리전도도는 매우 느림에서 매우 빠름 까지 분포하였으나 Saxton 식이나 다중 회귀 분석을 통해 도출한 식의 경우 매우 느림 또는 느림 등급에 해당하는 밭토양의 현장 포화 수리전도도를 추정하는데에 한계를 나타내었다 (Fig. Fig. 4(b)).
Discussion
논토양에서 입자특성과 포화 수리전도도 토양의 수리전도도는 입도가 큰 모래함량이 많을수록 대공극의 증가로 커지고 입도가 작은 점토함량이 커질수록 대공극의 감소로 작아진다고 알려져 있다 (Hillel, 1988). 본 연구에서 논토양에 대한 현장 포화 수리전도도와 입도분포의 상관관계를 분석한 결과 모래함량보다는 점토함량과의 상관성이 크게 나타났다. 이는 모래함량 증가에 따른 대공극의 증가보다 점토함량의 증가에 의한 대공극의 감소가 논토양의 수리특성에 미치는 영향이 더 큼을 암시한다. 토양 유기물 역시 입자의 크기가 커 대공극량을 증가하는데 기여할 수 있으며 입단의 형성 등 토양의 구조 발달을 유도하여 대공극을 형성하도록 한다고 알려져 있다 (Hudson, 1994; Lado et al., 2004). 그러나 본 연구 결과 논토양에서 유기물 함량과 포화 수리전도도의 상관성은 발견되지 않았으며 이는 우리나라 논토양에서 유기물 함량 증가에 따른 대공극 증대의 효과가 미미함을 암시한다. 모래와 유기물 모두 대공극 양을 증가하여 포화 수리전도도 증가에 기여하는 요인이다. 그러나 우리나라 논토양은 충적에 의해 형성되어 층상구조를 가진 토양이 많으며 (ASI, 1992), 써레질, 담수 관개 등 경작 중 관리에 의해 대공극이 파괴된다 (Han et al., 2010). 따라서 모래, 유기물 증가로 인해 대공극 증가하여 포화 수리전도도를 높일 개연성이 적다. 이는 본 연구에서 PTF에 의해 추정된 포화 수리전도도가 실제 현장 포화수리전도도보다 과대 평가된 것과 상통하며 우리나라 논토양에서는 입도특성만으로 수리특성을 추정하는 것이 비합리적이라는 것을 의미한다. 요약하면, 논토양은 생성방식과 관리방식에 의해 대공극이 적어 포화 수리전도도가 낮으며 점토함량이 증가할수록 대공극의 양이 더욱 적어져 입도특성에 따라 예상되는 포화 수리전도도보다 훨씬 적은 포화 수리전도도를 나타낸다. 따라서 논토양은 고유의 특성에 있어 물을 담수하여 재배하는데 유리하며 논토양에서 투수성과 통기성을 높이기 위해서는 단면 전반의 자연적으로 형성된 층상구조와 인위적 관리에 의해 형성된 경반층을 파쇄하고 모래 또는 유기물 함량의 증가와 경운을 통해 대공극 양을 높여야 할 것이다.
밭토양에서 입자특성과 포화 수리전도도 밭토양에서는 논토양과 달리 모래함량과 유기물함량이 현장 포화 수리전도도와 유의한 정의 상관성을 나타내었으며 점토의 함량이 현장 포화 수리전도도와 유의한 상관성을 나타내지 않았다. 이는 우리나라 밭토양은 모래함량과 유기물 함량 증가에 따라 포화 수리전도도가 증가하는 경향이 있음을 의미한다. 또한 점토 함량에 의한 포화 수리전도도 감소를 희석시키는, 다시 말해, 점토 함량보다 포화 수리전도도의 감소에 더 큰 영향을 주는 인자가 있음을 함축한다. 밭토양에서 점토 함량 이외에 포화 수리전도도를 줄이는, 즉, 대공극을 파괴하는 요인은 생성적 측면과 관리적 측면에서 찾아볼 수 있다. 생성적 측면에서 밭토양은 붕적에 의해 형성되는 토양이 많으므로 붕적되는 과정에서 기존의 대공극의 연결이 끊길 수 있으며 (ASI, 1992) 관리적 측면에서 반복되는 대형 농기계의 사용과 경운에 인한 토양 다짐으로 대공극의 양이 감소할 수 있다. 실제로 우리나라 농업환경변동조사사업 결과 우리나라 밭토양 심토의 93.4%가 용적밀도 1.4 Mg m-3 이상으로 다져져 있다고 보고된 바 있다 (Cho et al., 2013). 생성적 측면에서 입도 분포외에 영향을 미치는 또 다른 요인은 모재의 특성이다. 우리나라 산림토양의 입도분포와 현장 포화수리전도도를 비교하였을 때 전체 토양을 대상으로 하였을 때는 산포도가 크게 나타났으나 화강암 및 편마암에 한정하여 상관관계를 분석하였을 때 산포도가 눈의 띠게 감소하였다 (Jung et al., 2015). 예를 들어, 석회암 모재 토양의 경우 풍화가 활발하여 점토가 많은 반면 대공극이 발달하므로 다른 모재에서 유래한 토양에 비해 수리전도도가 크며 (Hur et al., 2006), 화산회 토양과 같이 유기물 함량이 높은 경우 유기입자 또는 유기-점토 복합체의 특성이 수리특성에 영향을 주어 무기입자 함량에 의한 영향이 희석될 수 있다 (Shin and Kim, 1975). 따라서 밭토양의 수리특성을 추정하기 위해서는 다짐 정도와 모재 특성을 고려할 필요가 있으며, 이를 위해서 보다 많은 자료의 축적이 필요하다.
Conclusions
우리나라 농경지 토양의 수리특성은 모래, 점토 등 입자 크기별 함량과 유의한 상관관계가 있었으나 다른 요인의 영향으로 입자특성만을 이용하여 수리특성을 모사하는 것은 한계가 있었다. 특히, 논토양의 경우 생성적, 관리적 측면의 여러 영향으로 대공극 형성이 어려우므로 조립질 토양이라 하더라도 포화 수리전도도가 빠름 또는 매우빠름 투수등급에 해당하는 토양은 없었다. 밭토양 역시 본 연구결과 입도특성만으로 수리특성을 추정하는데 한계가 있었다. 이와 같이 농경지 토양과 같이 인위적으로 관리되는 토양에 대해서는 PTF를 이용하여 추정하기 어려움에도 불구하고 우리나라 토양통의 층위별 특성에 수리특성이 제공되지 않고 있어 토양종류 (토양통 또는 토양상)나 그 외 목적에 합당한 구체적인 작도단위로 토양의 수리특성 실측자료를 수집하여 흙토람 등 정보시스템을 통해 제공할 필요가 있다.








