Introduction
Materials and Methods
시험 장소 및 토양 조건
토양조사 및 분석방법
옥수수 재배
통계분석
Results and Discussion
토양 양분관리방법에 따른 토양 화학성의 경시적 변화
토양 양분관리방법에 따른 깊이별 화학성의 변화
토양 양분관리방법에 따른 옥수수 생육 및 수량 비교
Conclusions
Introduction
간척지에서 밭작물을 안정적으로 재배하기 위해서는 제염 (desalinization), 유기물 증진, 양분관리 등 환경적 기반조성이 선행되어야 한다. 특히 새만금간척지 토양은 유기물함량이 낮고 모래 함량이 많아 수분과 양분 보유력이 낮다 (Abdelraouf et al., 2017). 현재 새만금간척지의 토양 유기물 함량은 2 g kg-1 이내로 일반농경지에 비하여 10분의 1 수준에 불과하다 (Ryu et al., 2021). 일반적으로 유기물은 (i) N, P, S 및 미량 요소 등 양분의 공급능 (ii) 물의 침투 및 보유능 (iii) 공기와 물 관계에 영향을 미치는 입단 및 전체 구조 (iv) 양이온 교환용량 (v) 온도영향으로 인한 토양 색 (vi) 농약의 흡착 또는 비활성화 등 많은 토양 특성에 영향을 미치며 (Nelson and Sommers, 1996), 작물 생산성에 영향을 미치는 중요한 인자이다 (Tambone et al., 2007). 작물 생산성을 증진하기 위해서는 작물 재배 전 퇴비 또는 화학비료 등 시비관리가 필수적인데, 유기, 무기 비료들의 시비는 토양 특성에 상당한 영향을 미친다고 알려져 있다 (Hu et al., 2015).
다양한 유기자원 중 퇴비 (compost)는 토양 유기물 함량 감소를 극복하기 위해 시용이 증가되고 있다 (Giusquiani et al., 1995). 특히 영양소와 수분 보유 능력, 유기물 함량, pH 및 양이온 교환 능력을 증가시켜 토양의 물리 ‧ 화학적 특성을 향상시킬 수 있다 (Shiralipour et al., 1992). 화학비료 (chemical fertilizer)의 시비 또한 작물 바이오매스를 증가시킬 수 있으며, 그 결과 토양 내 유기물을 공급하여, 토양 구조를 향상시키는데 기여한다고 알려져 있다 (Haynes and Naidu, 1998). 하지만 장기간 화학비료 시비는 물리 ‧ 화학 ‧ 생물학적으로 토양을 악화시킬 수 있다는 연구 결과도 있다 (Guo et al., 2010; Blanco-Canqui and Schlegel, 2013). 반면 퇴비와 화학비료의 혼합 시비는 양분 이용성 효율을 최적화시킴으로써 토양 특성을 향상시킬 수 있고, 작물 생산성을 유지할 수 있는 하나의 대안이 될 수 있다고 하였다 (Zhao et al., 2010; Ye et al., 2011). 다양한 연구에서 혼합시비가 용적밀도, 공극률, 수리전도도 같은 물리적 특성을 개선하여 나트륨성 토양에서 벼나 밀의 수량이 향상되었으며 (Hussain et al., 2001), 유기물을 증진함으로써 벼 수량이 상당히 증가하였다고 하였다 (Sarwar et al., 2008).
본 연구는 새만금간척지의 조기 숙전화, 즉 토양 제염 및 비옥도 향상을 위해서 퇴비를 화학비료와 혼합시비를 할 경우 화학비료를 단독으로 투입하거나 무시비, 나지상태와 비교하였을 때 퇴비의 혼합시비가 토양 특성과 밭작물 수량에 미치는 영향을 평가하고 통계적으로 유의성이 있다면 퇴비의 혼합시용이 새만금간척지 조기 숙전화를 위하여 필수적인지 평가하고자 하였다.
Materials and Methods
시험 장소 및 토양 조건
본 연구는 새만금간척지 조성 후 퇴비시비 등 토양 양분관리방법에 따른 토양 특성 및 식용 옥수수 수량에 미치는 영향 등을 평가하기 위하여 전라북도 김제시 광활면에 위치한 새만금간척지 내 국립식량과학원 시험포장 (35.82802'N, 126.68856'E)에서 2018년부터 2020년까지 수행하였다 (Fig. 1). 시험포장은 새만금간척지가 완공 후 재배이력이 없는 토양이었으며 시험 전 토양은 Table 1과 같다. 토양 유기물 함량과 유효인산 함량이 각각 2.55 g kg-1, 24 mg kg-1으로 우리나라 일반 밭토양의 적정 유효범위 최소 수치 (유기물: 20 g kg-1, 유효인산: 300 mg kg-1) 보다 낮은 수준이었다 (Kim et al., 2019). 토양 교환성 (exchangeable) Ca2+과 Na+이 각각 1.0, 1.07 cmolc kg-1이었고 교환성양이온용량 (cation exchange capacity, CEC)은 6.2 c kg-1, 교환성나트륨퍼센트 (exchangeable sodium percentage, ESP)는 17.3%이었다.

Fig. 1
Location modified from Saemangeum terminology (SDIA, 2016). *Red circle: Agro-bio area in Saemangeum reclaimed land.
Table 1.
Soil chemical properties of the study site.
토양조사 및 분석방법
토양은 농업과학기술 연구조사분석기준 (RDA, 2012)에 의거하여 조사 및 분석하였다. 토양은 토양 오거 (지름: 5 cm)를 이용하여 샘플링 하였다. 토양 pH와 EC (electrical conductivity)는 1:5 침출법 (토양:증류수 = 1:5, w/w)을 이용하여 pH-EC 미터기 (Thermo, Orion Star A215, Thermo, Indonesia)로 분석하였다. EC는 측정된 값에 5를 곱한 데이터를 이용하였다. 토양 유기물함량은 Dumas 방법으로 분석하였는데 원소분석기 (Elementar, Vario MAX Cube, Germany) 이용하여 질소를 산화시킨 후에 환원 회분로 (reduction furnace)에서 질소산화물 (NOx)을 질소가스 (N2)로 전환시켜 이를 열전도검출기로 측정하는 방법으로 분석하였다. 유효인산은 Lancaster법으로 분광광도계 (Libra S80, Biochrom, England)을 이용하여 분석하였으며, 교환성양이온은 1 M ammonium acetate (pH 7.0)로 침출 후 ICP-OES (Varian, Vista-MPX, USA and Agilent Technologies, 5800 ICP-OES, USA)로 분석하였다. 양이온교환용량은 Ammonium acetate 법을 이용하여 1 M ammonium acetate (pH 7.0)을 토양 시료에 통과시켜 모든 양이온교환 전하를 NH4+로 포화시키고 과잉으로 포화된 NH4+의 세척은 95% ethyl alcohol을 이용하였으며, 4% 붕산용액, 0.1% Bromocresol green 용액, MgO 5 g을 넣고 켈달 증류장치를 이용하여 NH3 가스로 증류 및 포집한 후 0.05 M의 H2SO4 표준용액으로 적정하여 정량하였다. 교환성 나트륨 비율은 (ESP)는 다음과 같은 Eq. 1을 이용하여 계산하였다.
옥수수 재배
각 시험 처리구는 2018년부터 2020년까지 3년 동안 질소, 인산, 칼륨 화학비료를 퇴비와 함께 표준시비한 처리구 (FC)와 화학비료만 표준시비한 처리구 (F), 화학비료와 퇴비 모두 시비하지 않은 처리구 (C), 간척지 조성 후 자연식생 그대로 둔 처리구 (N)로 총 4수준으로 토양 양분관리를 하였다. 시험에 사용된 퇴비는 톱밥우분발효퇴비로 비율이 톱밥 55%, 우분 40%으로써 수분 50% 이하의 퇴비를 시용하였으며, 화학적 조성은 Table 2와 같다. 옥수수 공시품종은 찰옥 4호를 이용하였으며, 2018년 6월 13일, 2019년 4월 23일, 2020년 5월 8일에 각각 황금파종기를 이용하여 파종하였다. 재식거리는 60 × 25 cm (조간 × 주간)이었으며, 시비량은 N-P2O5-K2O-퇴비를 10a당 20-15-15-1,500 kg 기준으로 각 처리구별로 시용하였다. 질소비료는 기비와 수비를 50:50으로 분시 하였고, 인산, 칼리는 전량을 기비로 로터리 작업 전에 시용하였다. 옥수수 생육 및 수량조사는 2018년 10월 3일, 2019년 2020년에는 8월 14일에 간장 (height), 착수고 (earheight), 수장 (tassel height), 이삭장 (earlength), 이삭폭 (earwidth), 수량 (yield)을 처리구 당 3반복 10주씩 농촌진흥청 농업과학기술 연구조사분석기준 (RDA, 2012)에 의하여 조사하였다.
Table 2.
Chemical properties of compost.
| Compost |
N
(%) |
P
(%) |
K
(%) |
OC† (%) |
Moisture content
(%) |
C/N ratio
(%) |
| Mean | 2.44 | 2.04 | 1.63 | 39.41 | 48.11 | 16.15 |
통계분석
모든 통계 분석 (피어슨 상관, 회귀 분석)은 R (x64, 3.5.3) 프로그램을 이용하여 p < 0.05 수준으로 수행하였으며, 작물 수확량, 토양 화학적 특성에 대한 모든 처리 간의 상당한 차이는 일원 분산 분석 (ANOVA)에 이어 Duncan test를 사용하였으며, 양분관리와 토양 깊이에 대한 이원분산분석을 실시하였다.
Results and Discussion
토양 양분관리방법에 따른 토양 화학성의 경시적 변화
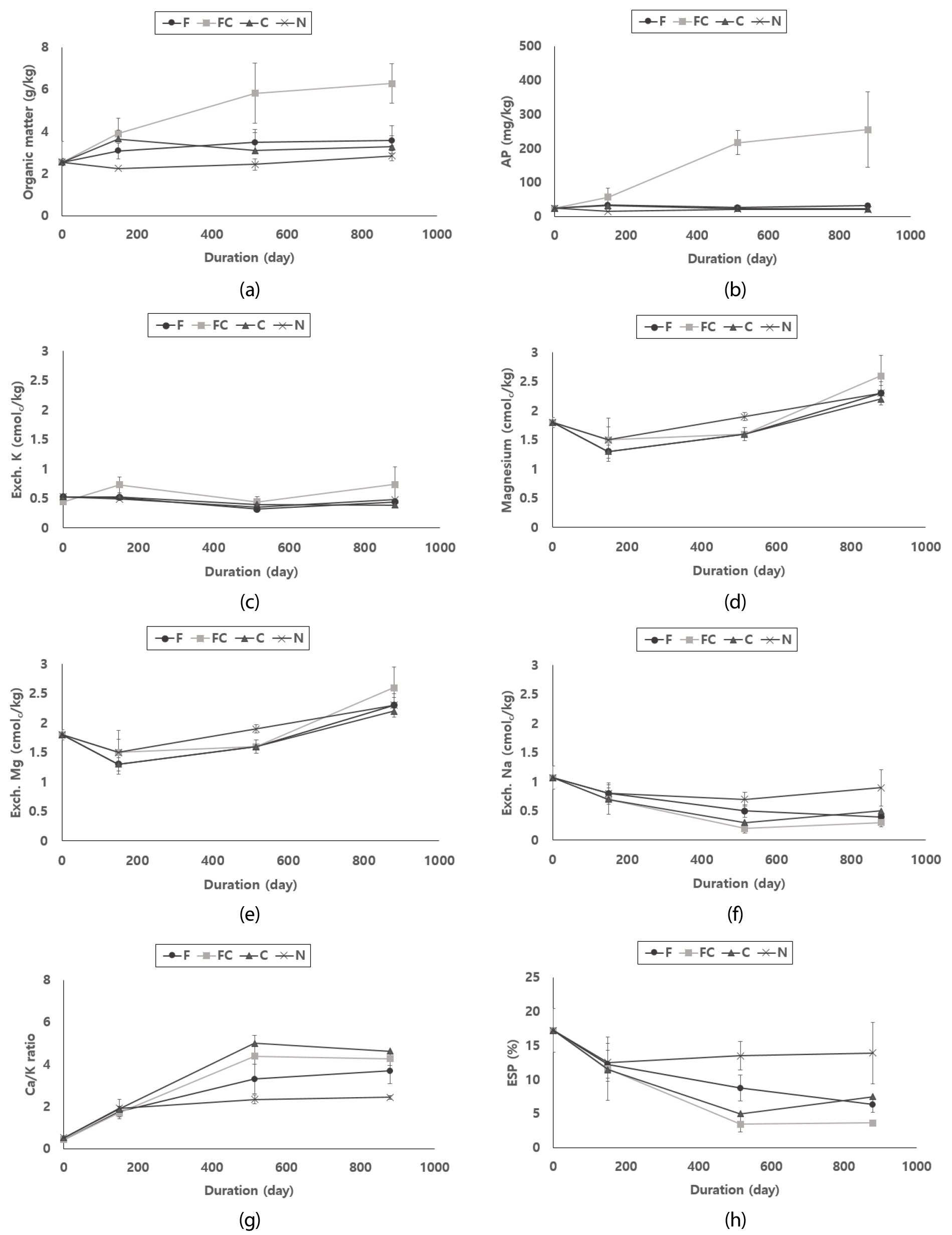
새만금간척지에서 토양 양분관리방법에 따른 토양 특성에 미치는 영향을 일원분산분석을 실시하고 토양 깊이와 함께 이원분산분석을 실시하였다 (Table 3). 토양 관리방법에 따라서는 pH와 유기물 (OM) (p < 0.05), NO3- (p < 0.01), 교환성 Ca2+과 K+ (p < 0.001)이 통계적으로 유의성을 보였다. 이 중 OM은 토양 관리방법과 깊이의 상호작용에 따라 유의적 차이가 발생하는 특징을 보였는데 (p < 0.05), FC 처리구가 1년 후 3.91 g kg-1로 가장 높았으며, 2년 후 5.82 g kg-1, 3년 후 6.29 g kg-1로 점차 증가하면서 처리구 중 가장 높게 유지되었다 (Fig. 2). 반면 F나 C 처리구는 3.08 - 3.58 g kg-1 수준으로 통계적으로 유의성을 보이지 않았으며, N 처리구는 2.26 - 2.85 g kg-1로 가장 낮게 유지되었다 (p < 0.01). 특히 FC 처리구는 3년간 유기물 함량 증가가 통계적으로 유의성을 보였으며 (p < 0.01), 일수 경과 (x)에 따른 유기물 함량 (y)은 y = 0.004379x + 2.90 (R2 = 0.56)으로 변동하였다 (Table 4). FC 처리구는 우리나라 밭 토양의 기준 범위인 최소 20 g kg-1 까지 (Kim et al., 2019) 도달하기 위해서는 3,905일로 (약 10.7년) 처리구 중 가장 빠르게 도달 할 것으로 예상되었다. 토양에서 퇴비와 화학비료의 혼합시비가 숙전화에 효과적인 이유는 투입되는 유기자원의 양과 관계가 있다고 할 수 있다 (Sarwar et al., 2008). 또한 탄소 저장 향상 및 질소 비료 사용으로 인한 배출이 감소한다고 하였으며 (Pan et al., 2009), 이는 양분 방출과 질소 손실 감소에 유용하기 때문에 질소 이용효율을 높여준다고 하였다 (Liu et al., 2008). Kundu et al. (2002)은 혼합시비구가 나머지 처리구보다 바이오매스나 수량이 많았기 때문에 뿌리와 작물의 잔해 등을 통한 탄소가 유입되었고, 유입된 것들이 더 높은 상수의 부식화율 (constant of humification rate)과 낮은 분해율 (decay rate)때문이라고 하였으며, 결과적으로 뿌리의 삼출물이 토양으로 유입되는 총 유기물에 상당히 기여하였을 것이라고 하였다 (Cai and Qin, 2006).
Table 3.
Analysis of variance (ANOVA) for chemical properties of soils collected from depth of 0 - 40 cm after harvest between 2018 and 2020.
| Source of variation | pH | EC | Ca2+ | Cl- | Mg2+ | NO3- | K+ | Na+ | OM | Avail. P2O5 |
| Depth (D) | ns† | *** | * | *** | * | ns | ns | *** | *** | * |
| Management (M) | * | ns | *** | ns | ns | ** | *** | ns | * | ns |
| D × M | ns | ns | ns | ns | ns | ns | ns | ns | * | ns |
토양 유효인산 (AP) 함량은 FC 처리구가 시험 전 24.38 mg kg-1에서 1년 후 57.2 mg kg-1, 2년 후 217 mg kg-1, 3년 후 255 mg kg-1까지 증가하였다 (Fig. 2). 반면 F 처리구는 26 - 33 mg kg-1 범위로 큰 변화를 보이지 않았으며, C와 N 처리구는 시험 전보다 감소하는 경향을 보였다. 특히 FC 처리구는 3년간 유효인산 증가가 통계적으로 유의성을 보였으며 (p < 0.01), 일수 경과 (x)에 따른 유효인산 함량 (y)은 y = 0.2835x + 28.6 (R2 = 0.55)으로 변동하였다 (Table 4). FC 처리구는 일반토양에서 적정범위인 150 mg kg-1로 도달하기 위해서는 약 428일 (약 1.2년)이 소요될 것으로 예상되었다 (Table 4). 인산은 작물 생육을 위하여 두 번째로 중요한 인자인데, 인산 이용성은 토양의 pH, 점토함량, 석회성분의 양 (calcareousness), 유기물함량에 따라 달라진다고 하였다 (Sarwar et al., 2008). 토양의 인산 함량 증가에 화학비료보다 퇴비가 더 공헌한다고 하였으며, 특히 화학비료와 혼합시비 하였을 때 유효인산 함량은 더욱 증가한다고 하였다. 이는 퇴비에 의한 추가적인 인산공급 효과, 유기 및 무기인이 토양에 흡착 및 불용화되는 것에 대한 퇴비의 차단효과, 기존에 토양 인이 개량제에 의해 이동되었기 때문일 것이라고 하였다 (Mohanty et al., 2006). Meena and Biswas (2014)는 유기물이 분해하는 동안 유기산, 구연산, 옥살산, 주석산이 생성되었기 때문이라고 하였으며, 특히 유기산은 인의 용해도를 증가시켜 유효인산 함량을 증가 시켰을 것이라고 하였다. 또한 석회질 토양에서 CaCO3의 영향에 의해 유효인산은 불이용성인 상태로 시작하기 때문에 (Sarwar et al., 2008), 유기 양분이 투입되었을 때 CaCO3과 결합한 인산 결합이 깨지면서 결과적으로 인산의 유효도가 증가한다고 하였다 (Pattanayak et al., 2001; Parmer and Sharma, 2002).

Fig. 2
Effect of soil management on the trend of organic matter (a), available phosphate (b), exchangeable potassium (c), exchangeable calcium (d), exchangeable magnesium (e), exchangeable sodium (f), Ca/K ratio (g), and exchangeable sodium percentage (h) in the 0 - 20 cm soil layer in the experimental period (from 2018 to 2020). Each value is a mean of all treatments. Vertical bars represent the standard deviation of the means.
Table 4.
Regression of organic matter, Ca/K ratio, and available phosphate in the 0 - 20 cm soil layer over time, as influenced by fertilizer application (x = day, y = soil characteristic contents or ratio).
Ca/K ratio는 시험 전 0.44이었으나, FC 처리구는 1년 후 1.7, 2년 후 4.28 - 4.39까지 높아지는 경향을 보였다. 특히 C 처리구 또한 Ca/K ratio가 FC 처리구와 비슷한 경향으로 높아졌다. 반면 F 처리구는 FC, C 처리구와 비교하여 3.3 - 3.7 수준이었으며, N 처리구는 2.34 - 2.44 수준을 유지하였다 (Fig. 2). 특히 FC 처리구는 3년간 Ca/K ratio 증가가 통계적으로 유의성을 보였으며 (p < 0.05), 일수 경과 (x)에 따른 Ca/K ratio (y)는 y = 0.00236x + 1.9 (R2 = 0.29)으로 변동하였다 (Table 4).
숙전화를 위해서 FC 처리구는 일반토양에서 적정범위인 13까지 도달하기 위해서는 약 4,694일 (약 12.9년)이 소요될 것으로 예상된다. 반면 F 처리구에서는 OM과 AP는 통계적으로 유의성 있는 증가나 감소를 보이지 않았으며, Ca/K ratio만 숙전화를 위해서 일반토양에서 적정범위인 13까지 도달하기 위해서는 약 4,838일 (약 13.3년)이 소요 될 것으로 예상되었다 (Table 4). 또한 N 처리구는 숙전화를 위해서 일반토양에서 OM 적정범위인 최소 20 g kg-1 까지 도달하기 위해서는 약 8,756일 (약 24년), Ca/K ratio는 일반토양에서 적정범위인 13까지 도달하기 위해서는 약 2,848일 (약 7.8년)이 소요될 것으로 예상되었으며, AP는 통계적으로 유의성 있는 차이를 보이지 않았다. 여기서 N 처리구의 Ca/K ratio가 더 빠른 기간이 소요되는 이유는 나머지 처리구에 비하여 칼륨이 함유된 양분 투입이 되지 않았기 때문이라고 생각된다.
토양 양분관리방법에 따른 깊이별 화학성의 변화
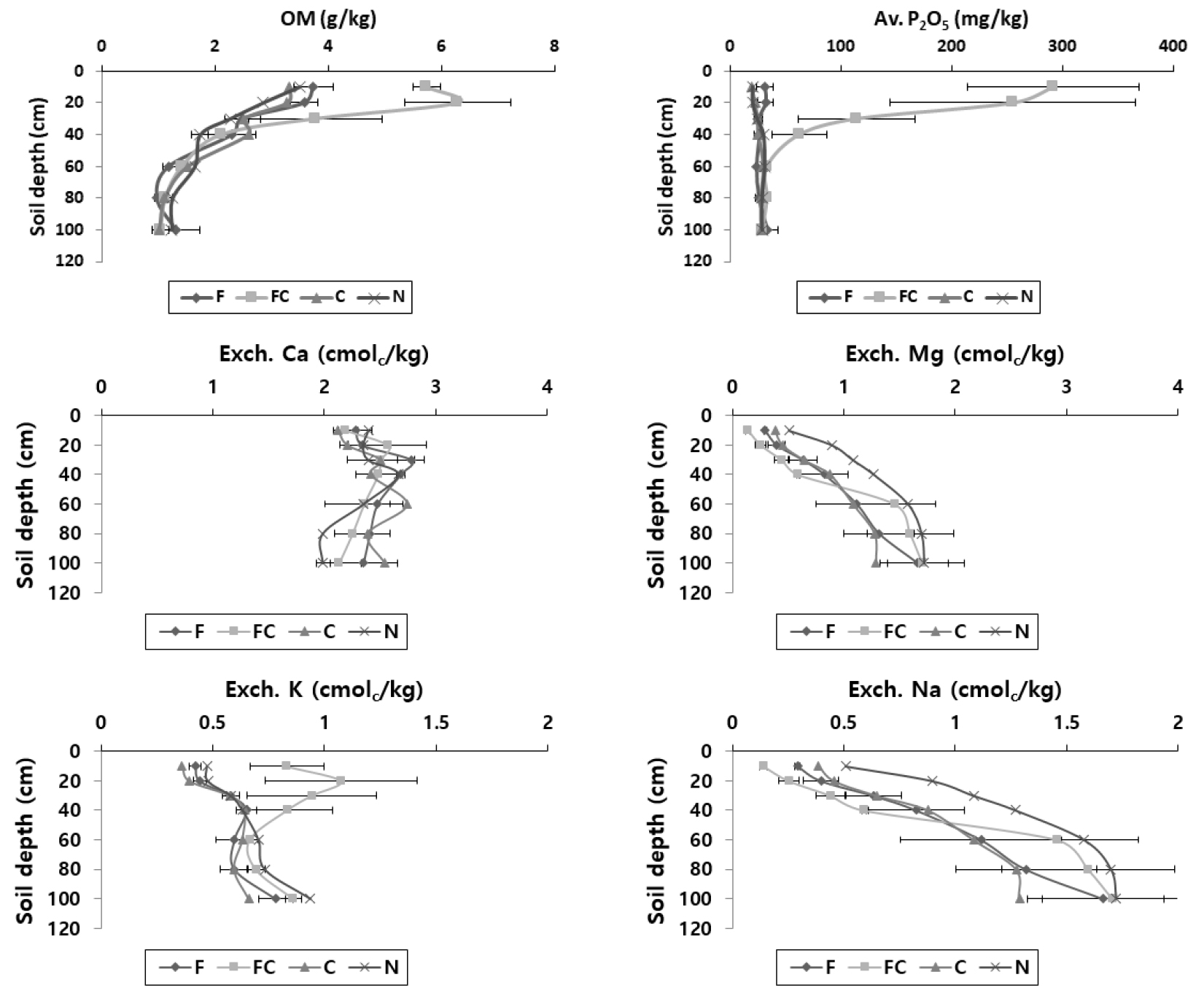
토양 깊이별 화학성 변화는 EC (p < 0.001), 교환성 Ca2+ (p < 0.05), Mg2+ (p < 0.05), Na+ (p < 0.001), Cl- (p < 0.001). OM (p < 0.001), AP (p < 0.05)가 통계적으로 유의성을 보였으며 (Table 3), 시험 3년 후 옥수수 수확 후 토양 깊이에 따른 토양 특성을 비교하였다 (Fig. 3). OM은 30 cm 깊이까지 FC 처리구가 3.77 - 6.29 g kg-1로 가장 높았으며, 나머지 처리구는 모든 깊이에서 통계적으로 유의성 있는 차이를 보이지 않았다. AP는 FC 처리구가 40 cm 깊이까지 62 - 292 mg kg-1로 가장 높았으며, 60 cm 이후부터는 나머지 처리구와 통계적으로 큰 차이를 보이지 않았다. F 처리구는 20 cm까지 32 mg kg-1로 C와 N 처리구 (20 - 22 mg kg-1)에 비해 높게 유지되는 경향을 보였다. 교환성 Ca2+은 FC 처리구가 40 cm 까지 1.7 - 3.3 c kg-1의 범위로 가장 높게 유지되었으며, 나머지 처리구들은 통계적으로 유의성을 보이지 않았다. Yao et al. (2013)은 T-N과 유효인산의 경우 10 - 40 cm 층에서 자연적 조건보다 재배 토양이 훨씬 많은 함량을 보였는데, 토양에 시비된 질소와 인산은 이러한 층에 많이 용출 (leaching)된다고 하였으며, 이러한 이유는 재배를 위한 경운 기계 때문에 20 - 40 cm 층에서 경반층이 관찰되기 때문이라고 하였다.
토양 양분관리방법에 따른 옥수수 생육 및 수량 비교
시험기간 동안 토양 양분관리방법에 따른 옥수수 생육 및 수량을 나타내었다 (Table 5). 시험 1년 후는 이삭장을 제외하고 수량적으로 처리구 간에 따른 유의성 있는 차이를 보이지 않았다. 2년차에 FC 처리구의 수량이 1,527 kg 10a-1로 가장 많았으며, F와 C 처리구순으로 각각 1,206, 377 kg 10a-1 수량을 나타내었다. 3년차에는 옥수수 수량이 FC 처리구와 F 처리구가 각각 1,355, 1,178 kg 10a-1로 C 처리구 461 kg 10a-1보다 많았다. 이는 착수고를 제외하고 FC 처리구가 나머지 처리구보다 양호한 생육을 나타내었다. 특히 재배년도와 토양관리방법에 따른 이원분산분석결과 수량을 제외하고 나머지는 통계적으로 유의성을 보였다. 다양한 연구결과에서 바이오차 또는 퇴비의 시비가 옥수수 엽수, 경장 등 옥수수 생육을 증가시킨다고 보고하였고 (Alshankiti and Gill, 2016; Mensah and Frimpong, 2018), 특히 유기비료 단독시비일 때보다 29%, 화학비료 단독시비일 때보다 8% 작물 생육을 증가시킨다고 하였다 (Wei et al., 2016). 또한 퇴비 시비는 유기물 분해에 의하여 Humic 물질의 존재에 의해 뿌리 생장을 촉진할 수 있으며 (Nardi et al., 2002), 퇴비는 뿌리 발달과 양분 흡수를 촉진시켜 작물 생장을 증진시킨다고 하였다 (Oworu et al., 2010). 이상의 결과에서 퇴비혼합시비 효과가 1년차에는 통계적으로 유의적 차이를 보이지 않았지만 2년차부터 옥수수 생육 및 수량에 영향을 미칠 수 있으며, 이러한 결과는 화학비료의 시비보다 퇴비의 시비가 수량 증대에 영향을 미치는 것이 짧은 기간보다 장기간 시험에서 더 크다고 하였다 (Rathod et al., 2013).
Table 5.
Agronomic characteristics of maize with soil management during the experiment.
Conclusions
새만금간척지에서 농업적 생산은 토양 유기물 및 양분의 낮은 함량으로 인하여 제한되고 있으며, 작물을 재배하기 어려운 간척지 토양이 넓게 분포되어 있다. 이에 따라 토양 화학적 특성 및 작물 생산성에 대한 토양 양분관리의 효과를 평가하기 위해, 간척지에서 퇴비 + 화학비료 (FC), 화학비료 (F), 무비구 (C), 자연 나지구 (N) 등의 처리구를 두어 식용 옥수수를 재배하였다. 새만금간척지에서 조기숙전화를 위해서 양분관리방법에 따라 유기물, 유효인산, Ca/K ratio가 통계적으로 유의성 있는 경향을 보였다. 특히 양분에 필수적인 OM과 AP가 일반 토양의 유효범위에 도달하기 위해서 OM은 퇴비와 화학비료 혼합시비 시 (FC) 약 10.7년이 소요될 것으로 예상되었다. 이는 나머지 처리구에 비하여 FC 처리구가 추가되는 유기자원의 양이 많기 때문에 질소이용효율 높고, 이로 인한 뿌리나 작물 잔해들이 많이 발생되기 때문에 이러한 부분을 통해 유입되는 탄소, 토양 내 낮은 분해율 등 다양한 요인들이 미쳤을 것이라 판단된다. 또한 유효인산은 퇴비와 화학비료 혼합시비 시 유효범위에 도달하기 위해서는 약 1.2년이 소요될 것으로 보였는데, 이는 화학비료 시비구 대비 유기물 증가에 따른 인산이용성, 유기 및 무기인이 토양에 흡착되거나 불용성 복합체를 형성하는 것을 방지하여 동화나, 유기산 등이 인의 용해도를 증가시켰을 것이라고 생각된다. 이는 추가적으로 처리구간 유기, 무기인의 분석, 유기산, 구연산, 옥살산 등의 분석이 필요하다고 판단된다. 결론적으로 새만금간척지 조기 숙전화를 위해서는 화학비료 단독시비보다 퇴비를 혼합시비 시 유기물 함량과 유효인산의 함량을 빠르게 증가시킬 수 있을 것이라고 판단된다. 식용 옥수수 생산성에서도 퇴비를 혼합 시비하였을 때 2년차부터 생육 및 수량에 영향을 미칠 수 있다고 보이며, 이러한 옥수수 생산성에 대한 퇴비의 시용 효과가 장기간 지속가능 할지에 대해서는 더 깊은 연구가 필요 할 것으로 판단된다.



