Introduction
우리나라 국민의 1인당 쌀 소비량은 1995년에 106.5 kg에서 2013년 67.2 kg으로 37%나 감소하는 추세이다. 그리고 전국의 논 경지면적도 2013년 963,876 ha에서 2015년 908,194 ha로 6% 감소하였고 경남지역은 2013년 98,010 ha에서 2015년 89,803 ha로 8% 감소하였다 (KOSIS, 2016). 농경지 토양에서 유기물은 토양의 물리적 특성을 결정하는데 주요한 인자일 뿐 아니라 작물 생산성에 기여하는 비옥도를 증진하거나 유지하는데 필수적인 요소이다. 토양에 유기물이 시용되면 토양 미생물체량을 증가시키고 (Pascual et al., 2000; Peacock et al., 2001) 토양 미생물의 기질로 작용하여 분해되고 무기화되어 작물에 양분공급을 하는 등 토양 내 양분순환에 결정적인 역할을 한다 (Kim et al., 2004; Lee et al., 2006; Kim et al.,1997). 농업의 지속적인 생산성과 안정성 및 체계적인 토양관리 체계정립을 위한 평가수단으로 토양의 질 (Soil Quality)을 평가하는데 있어 국제적으로도 토양의 유기물은 물리적, 화학적, 생물학적으로 중요한 지표로 사용되고 있다 (Kim et al., 2014).
토양 미생물의 다양성을 분석하는 방법으로는 파이로시컨싱 기술 등을 통한 미생물체 (microbime) 분석 (Davinic et al., 2012; Jones et al., 2009)이 있으나 고비용적인 측면 때문에 일반적으로 미생물의 세포벽 지방산 조성을 분석하는 지방산 메틸에스테르 (fatty acid methyl ester, FAME) 방법을 많이 사용하고 있다 (Kim and Lee, 2011; Lee and Kim, 2011; Lee and Yun, 2011; Macalady et al., 1998). 경남지역 일반농경지에서 토양 유형, 지형, 토성에 의한 논토양의 미생물군집에 대한 보고된 바는 있지만 유기물과 관련하여서는 보고된바가 없다.
본 연구는 경남지역 논 토양 21개소를 대상으로 2015년에 토양의 화학성분과 미생물 군집을 검토하였으며 주성분 분석에 의한 유기물 함량별 주요 변동요인을 구명하여 친환경 토양관리를 위한 기초 자료를 제공코자 수행하였다.
Materials and Methods
토양 시료채취 방법 경남지역 논 토양의 화학성분과 미생물 군집을 분석하기 위하여 재배면적과 토양환경을 고려하여 2015년에 20 g kg-1 이하인 지역 6개소, 20∼25 g kg-1 인 지역 5개소, 25∼30 g kg-1 인 지역 7개소, 30∼35 g kg-1 인 지역 3개소 등 21개소를 선정하였다. 토양은 비료를 시용하기 전인 3월부터 4월 사이에 표토를 1 cm정도 걷어내고 0-15 cm 깊이에서 500 g 정도를 3번 반복으로 채취하였다.
토양 화학성분 분석방법 채취한 토양시료는 그늘에서 깨끗한 플라스틱 평판위에 얇게 펴서 7일간 건조하여 고무망치로 입자를 분쇄한 후 2 mm 체를 통과된 것을 화학성분 분석에 사용하였다. 토양의 화학성분은 토양화학 분석법 (NIAST, 2010)을 적용하여 pH와 EC는 토양 10 g에 50 mL 증류수를 가하여 1:5 비율로 희석하고 비이커를 가끔씩 저어주면서 1시간 정치한 후 pH meter (Orion 520A pH meter, Orion Research Inc., Boston, USA)와, EC meter (Orion 3STAR EC meter, Orion Research Inc., Boston, USA)로 분석하였다. 유기물은 Tyurin법, 유효인산은 Lancaster법으로 비색계 (UV-1650PC, Shimadzu Co., Kyoto, Japan)를 사용하여 분석하였다 (NIAST, 2010). 치환성 칼륨, 칼슘, 마그네슘, 나트륨 등의 양이온은 1M NH4OAc로 추출하여 ICP (AAnalyst 300, Perkin-Elmer, Norwalk, USA)로 분석하였고 석회소요량은 ORD (Office of Rural Development)법으로 분석하였다 (NIAST, 2010).
토양 미생물 군집 분석 논토양 미생물 군집은 습토를 사용하여 Schutter and Dick (2000)의 방법에 준하여 fatty acid methyl ester (FAME) 방법을 이용하였다 (Kim et al., 2014; Park et al., 2014). 미생물의 함량과 군집 분석은 GC Agilent 6890N (Agilent Technologies, USA)과 HP-ULTRA 2 capillary column (25 m × 0.2 mm × 0.33 μm film thickness, Agilent Technologies, USA)을 사용하였다. Internal standard 19:0을 이용하여 상대적인 함량과 비율을 계산하였다 (Hamel et al., 2006; Kim et al., 2014). 총 세균은 지방산 조성 i15:0, a15:0, 15:0, i16:0, 16:1ω9, 16:1ω7, i17:0, a17:0, 17:0, cy17:0, 18:1ω7c와 cy19:0 (i, iso-branched FAMEs; a, anteiso- branched FAMEs; cy, cyclopropane groups; ω, aliphatic; c, cis-conformation)을 합산하여 분석하였다 (Macalady et al., 1998; Schutter and Dick, 2000). 그람음성 세균은 지방산 16:1ω7c, 18:1ω7c, cy17:0 및 cy19:0을 합산하였고 그람양성 세균은 지방산 i15:0, a15:0, i16:0, i17:0 및 a17:0을 합산하여 구하였다 (Zelles, 1997). 방선균은 지방산 10Me18:0 (Me, methyl group)을 사용하였고 (Schutter and Dick, 2000) 곰팡이는 지방산 18:1ω9c와 18:2ω6c를 사용하였다 (Bradleya et al., 2006). 지방산 16:1ω5c는 내생균근균의 biomarker로 이용하였다 (Balser et al., 2005; Frostegård et al., 1993; Olsson et al., 1998). 그리고 cy17:0과 16:1ω7c와 cy19:0과 18:1ω7c의 비율은 토양환경에 대한 활성 지표로 사용하였다 (Guckert et al., 1986; Grogan and Cronan, 1997).
통계분석 분석된 토양 화학성과 미생물 군집은 SAS 프로그램 9.1.3 버젼 (2006)을 사용하여 통계분석 하였다. 유기물 함량 수준별 토양 화학성과 미생물 특성은 5% 수준에서 Tukey’s studentized range test를 하였다. 그리고 미생물 군집은 주성분 분석을 통하여 유기물 함량 수준별 차이를 검토하였다.
Results and Discussion
유기물 함량별 토양 화학성 경남지역 논 토양의 유기물 함량에 따른 화학성분을 분석한 결과는 Table 1 과 같다. 유기물 함량 수준별 논토양의 pH, EC, 유효인산, 치환성 칼륨, 칼슘, 마그네슘, 나트륨과 유효규산 함량은 유의적인 차이는 없었다. 이러한 결과는 경남지역의 논 토양 조사지점의 개체수가 부족하기 때문에 유기물 공급으로 토양 화학성분이 높아진다는 보고와 일치하지 않는 것으로 이에 대한 추가적인 연구가 이루어져야 할 것으로 판단된다 (An et al., 2015; Recel, 1994; Zhang et al., 1999).

유기물 함량별 토양 미생물 함량 경남지역 논 토양의 미생물 함량을 유기물 함량별로 분석한 결과는Table 2와 같다. 경남지역 논 토양의 유기물 함량이 25∼30 g kg-1에서 총 FAME 함량이 397 nmol g-1으로 높았으며, 곰팡이 함량이 62 nmol g-1, 내생균근균 함량이 5.9 nmol g-1로 높았다. 특히 내생균근균은 세포벽에서 당단백질인 글로말린을 분비함으로 토양의 입단, 장기간 탄소와 질소의 저장에 도움이 되는 것으로 알려져 있다 (Rilling et al., 2005; Wilson et al., 2009; Wright and Upadhyaya, 1996). 본 연구에서는 토양의 유기물 함량이 적정 수준인 20∼30 g kg-1에서 내생균근균 함량이 4.9∼5.9 nmol g-1으로 높은 경향을 나타낸 반면 30∼35 g kg-1에서는 내생균근균 함량이 4.2 nmol g-1으로 낮아졌다. 이러한 결과로 볼 때 논 토양에서는 유기물 함량을 높게 관리하는 것 보다 적정 수준인 20∼30 g kg-1으로 관리하는 것이 좋은 것으로 판단된다. 총 세균, 그람음성 세균, 방선균 함량은 유기물 함량이 30∼35 g kg-1에서 131, 73 및 9.1 nmol g-1으로 높았으며 대체적으로 유기물 함량이 낮은 20 g kg-1 이하에서는 유의적으로 낮은 값이 나타났다 (p < 0.05). 이러한 결과는 Lee and Lee (2011)와 Lee et al. (2011b)이 보고한 토양 유기물 함량이 낮은 경우 미생물의 먹이 부족 등으로 미생물 함량이 낮아진다는 결과와 일치하였다.

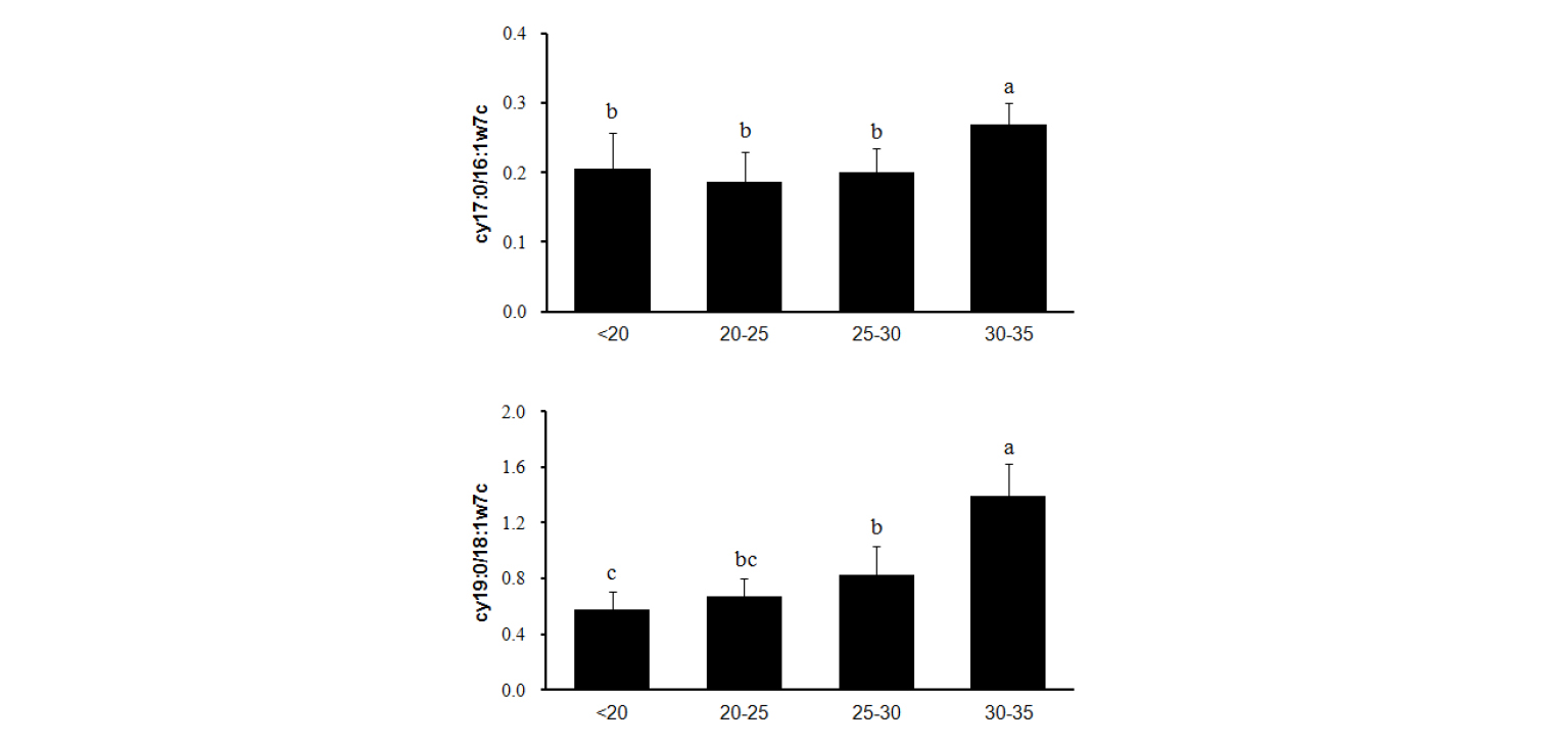
미생물 활성 지표 미생물의 활성 지표로 사용되는 cy17:0과 16:1ω7c 및 cy19:0과 18:1ω7c 비율은 Fig. 1 과 같다. 토양 유기물 함량 30∼35 g kg-1 에서의 cy17:0과 16:1ω7c 비율은 0.27이었고 cy19:0과 18:1ω7c 비율은 1.40으로 나타나 유기물 함량 수준이 20 g kg-1이하의 0.20, 0.57, 20∼25 g kg-1의 0.19, 0.68, 25∼30 g kg-1의 0.20 및 0.83 보다 유의적으로 높았다 (p < 0.05). 일반적으로 cy17:0과 16:1ω7c 비율과 cy19:0과 18:1ω7c 비율은 높을수록 미생물의 활성은 감소된다 (Mechri et al., 2010). 이것은 산성 토양, 양분 불균형, 토양의 수분 부족 등의 요인에 따라 cyclopropyl 지방산이 집적되므로 미생물 활성이 감소된다 (Guckert et al., 1986; Grogan and Cronan, 1997). 본 연구에서는 유기물 함량 수준이 30∼35 g kg-1에서 유효인산, 치환성 칼륨, 칼슘, 마그네슘 및 유효규산의 함량 등 영양원이 낮았으며 특히 pH가 낮은 산성토양을 나타내어 미생물 활성 지수가 낮은 것으로 판단되었다 (Kim et al., 2015; Lee and Lee, 2011).
토성별 토양 미생물 군집 토양 미생물의 함량을 총 FAME 함량으로 나누어 미생물 군집을 분석한 결과는 Table 3과 같다 (Bossio and Scow, 1998; Schutter and Dick, 2000). 토양 미생물 군집은 토양 유기물 함량 30∼35 g kg-1에서 총 세균 34.9%, 그람음성 세균 19.4%로서 20 g kg-1 이하의 31.7% 및 16.2%, 20∼25 g kg-1의 31.5% 및 16.1%, 25∼35 g kg-1의 31.4% 및 16.5%에 비해 유의적으로 많았다 (p < 0.05). 그러나 그람양성 세균, 방선균, 곰팡이 및 내생균근균 비율은 토양 유기물 함량에 따른 유의적인 차이는 없었다.

토양 유기물 함량별 미생물 군집에 따른 주성분 분석한 결과는 Fig. 2와 같다. 주성분 분석은 토양 미생물 군집을 몇가지의 성분으로 추출하여 설명하고 예측할 수 있다 (Lee and Kim, 2011; Lee and Yun, 2011; Lee et al., 2011b). 제1주성분이 32.1%, 제2주성분이 28.7%로서 전체 60.8%의 자료를 설명할 수 있는 것으로 나타났다. 주성분 분석결과 토양 유기물 함량에서의 PC1에서 유의적 차이를 나타냈다 (p < 0.05). 제1주성분 그람음성 세균 (1.33), 총 세균 (1.08) 순으로 정의 기여를 하였으며 곰팡이 (-0.56)는 부의 기여를 하는 것으로 나타났다. 제2주성분은 방성균 (1.09), 그람양성 세균 (0.91)순으로 정의 기여를 하였고 내생균근균 (-0.71) 은 부의 기여를 하였다. 따라서 유기물 함량 수준에 따른 미생물 군집은 Table 3과 Fig. 2의 결과와 같이, 그람음성 세균 군집에 따라 차이가 많은 것으로 나타났다.

Fig. 2
Fig. 2. Principal component analyses between microbial communities of paddy soils in Gyeongnam Province. The variance explained by each principal component (PC) axis is shown in parentheses. PC analysis shows loading values for the individual microbial biomarkers. The bars represent one standard deviation of the mean. Means by the same letter within a column are not significantly different at 0.05 probability level according to Tukey’s studentized range test. A, actinomycetes; AMF, arbuscular mycorrhizal fungi; B, total bacteria; EC, electrical conductivity; F, fungi; G (-), gram-negative bacteria; G (+), gram-positive bacteria.
Conclusions
경남지역 논 토양의 화학성분과 미생물 군집을 분석하기 위하여 재배면적과 토양환경을 고려하여 2015년에 25개소를 선정하여 토양 화학성과 미생물 군집을 분석하였다.
논 토양의 유기물 함량이 25∼30 g kg-1 수준에서 총 FAME 함량 397 nmol g-1, 곰팡이 함량 62 nmol g-1, 내생균근균 함량 5.9 nmol g-1으로 가장 높게 나타났다. 토양 유기물 함량 30∼35 g kg-1에서 cy17:0과 16:1ω7c 비율 및 cy19:0과 18:1ω7c 비율은 유기물 함량이 낮은 수준에 비해 유의적으로 높게 나타났다. 이러한 결과는 유기물 함량이 높은 수준에서 토양 pH가 낮아져 불리한 환경 때문에 미생물 활성 지수가 낮아진 것으로 생각되었다. 따라서 경남지역 논토양에서 유기물을 과다하게 시용하지 않고 토양 미생물의 건전성을 위한 적정 유기물의 양은 20∼30 g kg-1으로 판단되었다.




