Introduction
급속한 산업화와 도시화는 농경지와 농업용수에서 비소오염을 급속도로 증가시켜 안정농산물 생산에 부정적인 영향을 끼칠 뿐만 아니라, 먹이사슬의 최정상에 위치한 인간의 생명유지와 보전을 위협하고 있다 (Galiulin et al., 2001; Nagajyoti et al., 2010; Jan et al., 2015; Jung et al., 2015).
식물체 내에서 비소는 대사작용에 중요한 기능과 역할을 담당하는 효소 또는 단백질의 황화수소기 (sulfhydryl group, -SH)의 친화력을 약화 또는 교란시킴으로서 여러 단백질들의 기능을 저하시킬 뿐만 아니라 superoxide 음이온 라디칼 (O2•−), 과산화수소 (H2O2) 및 수산기 라디칼 (hydroxyl radical, OH•) 등의 활성산소종 (reactive oxygen species, ROS)을 발생시켜 세포 내에서 지질과산화를 유발함으로서 세포막을 파괴하고 결국에는 세포를 사멸시킨다 (Meharg and Hartley-Whitaker, 2002; Dave et al., 2013; Jung et al., 2015).
비소독성으로 인하여 발생되는 활성산소종들은 세포 내에 축적되어 생명유지의 기본물질들인 탄수화물, 단백질, 지방 및 핵산의 생합성을 저해시킬 뿐만 아니라 산화·환원 (redox) 항상성 유지에도 부정적인 영향을 끼치므로 정상적인 생체기능을 크게 저하한다 (Singh and Agrawal, 2010; Singh et al., 2013; Petrov et al., 2015). 그렇지만 식물은 비소의 과도한 흡수·축적으로 발생되는 산화적 스트레스를 완화 또는 최소화하기 위하여 다양한 생리·생화학적 무독화시스템을 가동하고, 이들의 독성을 극복하고자 한다 (Piotrowska et al., 2009; Ahammed et al., 2013; Jung et al., 2015). 비소에 의해 발생되는 산화적 스트레스 소거와 산화·환원 항상성 유지는 크게 두 가지 방법에 의해 이루어진다. 첫째는 항산화효소들 (superoxide dismutase (SOD), catalase (CAT), peroxidase (POD), ascorbate peroxidase (APX), glutathione reductase (GR))에 의한 효소적인 방법과 둘째는 항산화제 (ascorbate (AsA), glutathione (GSH))에 의한 비효소적 방법을 가동 또는 조절하여 생체 내에 과잉으로 축적된 활성산소종 소거에 이용하고 있다 (Shekhawat et al., 2010; Foyer and Noctor, 2011).
비소에 의해 유도되는 활성산소종 소거에 대한 항산화효소 및 비효소적인 GSH의 역할과 기능은 다양한 식물을 이용한 여러 연구들을 통하여 잘 구명되었지만 (Srivastava et al., 2010; Singh et al., 2015), 활성산소종에 의해 발생된 산화적인 스트레스 경감, 산화·환원조절, 세포주기, 세포성장 및 손상된 DNA 복구 등에 관여하는 AsA의 기능과 역할은 아직도 연구가 미진한 상황이다 (Luwe, 1996; Akram et al., 2017). 여러 식물들의 다양한 환경스트레스 (가뭄, 염해, 고온, 저온 등)에 적용된 AsA 연구사례들 통하여 AsA가 산화적 스트레스 완화 또는 소거에 매우 중요한 기능과 역할을 담당하고 있다는 것을 Akram et al. (2017)은 종합적이고 체계적으로 정리하여 보고하였다. 항산화물질 중의 하나인 AsA가 여러 환경스트레스에 기인한 산화스트레스 완화제로서 다방면에 이용되고 있음에도 불구하고, 비소독성과 AsA의 상호연관성에 대한 연구는 아직도 미비한 상태에 있다.
따라서 본 연구는 비소오염지에서 벼의 식물독성경감을 위한 처리인자를 탐색하고자 AsA적용에 따른 비소전이를 평가하였고, 비소가 야기하는 식물독성과 연관된 활성산소종 및 항산화제의 항상성을 조사하였다. 이를 통하여 비소오염지에서 AsA의 경엽적용이 과잉으로 흡수·축적된 비소로 인하여 발생되는 식물독성 경감효과와 더불어 식물을 이용한 비소오염토양의 정화에 적용가능성을 확인하고자 수행하였다.
Materials and Methods
시험식물
다산벼 종자를 70% 에탄올로 2분간 멸균하고, 증류수로 여러 번 세척한 다음, 2 mL L-1 농업용 살균제 (8% ipconazole) 용액에서 48시간 동안 표면살균한 후 증류수로 종자를 완전히 헹구었다. 살균된 종자를 30oC에서 48시간 침종 및 발아시킨 후 균일하게 생장한 2.0 엽기의 유묘를 선별하여 수경액으로 채워진 플라스틱 포트 (12개체/포트)에 이식하였다. 이들의 플라스틱 포트 (30 × 25 × 15 cm, 0.075 m2 표면적)에 벼 재배에 적합한 수경액 (1 mM NH4NO3, 0.6 mM NaH2PO4•H2O, 0.3 mM K2SO4, 0.2 mM CaCl2, 0.4 mM MgCl2•6H2O, 45 µM Fe-EDTA, 50 µM H3BO3, 9 µM MnCl2•4H2O, 0.3 µM CuSO4•5H2O, 0.7 µM ZnSO4•7H2O, 0.1 µM Na2MoO4•2H2O, pH 5.6) 9 L를 채우고, pH를 5.6으로 조정하였다 (Kamachi et al., 1991; Jung et al., 2017). 자연광에서 주야간의 평균온도 30/25oC, 상대습도 60/80%로 조절되는 유리온실 (국립농업과학원)에서 4 엽기까지 생육시킨 식물체들은 본 연구의 실험재료로 이용되었다. Jung et al. (2015)에 의해 결정된 벼 생리활성연구를 위한 비소 (As, NaAsO2) 적정처리농도인 15 µM과 벼 경엽처리시 ascorbate (AsA)에 의해 약해증상을 나타내지 않은 농도인 250~500 mg kg-1 AsA를 본 연구를 위한 적정처리 농도범위로 결정하였다. 균일하게 재배된 4엽기의 벼 유묘에 15 µM As를 용액상태로 처리하고, 동시에 2 mL L-1 상업용 전착제 (10% polyoxy ethylene alkyl arylther와 20% sodiumligno sulfonate)가 포함된 250 및 500 mg kg-1 AsA를 1,000 L ha-1 분무량으로 경엽에 처리하였다. 각 시험구별 처리 후 14일에 초장, 지상부 건물중, 뿌리(지하부) 건물중, 그리고 지상부 수분함량을 조사하였고, 생리 및 항산화제 분석을 위하여 식물체를 채취하였다. 그 채취된 식물체를 뿌리와 잎으로 분리하고, 각기 부위별로 100 mg씩을 E-tube에 넣어 액체질소로 급속 동결시킨 다음, -80oC의 초저온냉동고에 보관하였다.
식물체 내 비소함량 분석
수경재배된 다산벼 4엽기에 15 µM As 또는 250 및 500 mg kg-1 AsA를 경엽처리하고, 14일 후에 식물체를 부위별 (뿌리, 잎)로 나누어 분리하여 5분 정도 증류수를 사용하여 세척한 다음, 80oC에서 완전히 건조시킨 후 분쇄하여 분석에 이용하였다. 식물체의 As함량 분석을 위하여 시료의 분해는 Graphite Block Acid Digestion System (ODLAB Co., Ltd. Seoul, Korea)을 이용하였고, 200 mg 분말시료에 14 mL 질산을 넣고 산분해한 분해액을 여과지 (No. 40, Whatman, Buckinghamshire, UK)에서 불순물을 제거한 다음, 유도결합플라즈마 질량분석기 (ICP-MS, Agilent 7900, Agilent Technologies Inc., Santa Clara, CA, USA)에서 As함량을 측정하였다.
활성산소종과 지질과산화 분석
Superoxide 음이온 라디칼 (superoxide anion radical, O2•−) 함량은 Elstner and Heupel (1976)에 의해 개발된 방법을 이용하여 측정하였다. 식물체를 막자사발에 넣고 액체질소로 급속히 동결시킨 후, 미세분말이 되도록 마쇄한 다음, 시료에 1 mL의 50 mM K-phosphate buffer (pH 7.8)를 넣고 잘 혼화시켰다. 그 뒤 혼합액을 4oC에서 12,000 rpm의 속도로 10분간 원심분리하였다. 200 µL의 상징액에 50 µL의 10 mM hydroxylamine hydrochloride을 첨가한 후, 25oC에서 60분간 반응시켰다. 그 반응시료에 100 µL의 1% sulfanilamide과 100 µL의 7 mM napthylamine을 넣어 최종 반응액을 조제하였다. O2•−함량은 530 nm에서 분광광도법으로 측정되었고, 표준 NaNO2 회귀곡선을 산출하여 계산에 이용하였다.
과산화수소 (hydrogen peroxide, H2O2) 함량은 Jana and Choudhuri (1982)에 의해 고안된 방법을 이용하여 분광광도계로 측정하였다. O2•−함량분석을 위해 최초로 원심분리된 200 µL의 추출액에 20% H2SO4에 0.1% TiCl4가 용해되어 있는 반응액 200 µL 첨가한 후, 10,000 rpm의 속도로 30분간 원심분리하여 얻은 상징액을 분광광도계를 이용하여 410 nm에서 측정하였다. H2O2함량은 0.28 µM-1 cm-1의 몰흡광계수 (molar extinction coefficient)를 사용하여 산출하였다.
지질과산화작용의 지표화학물질인 malondialdehyde (MDA) 생성량을 thiobarbituric acid (TBA)방법으로 측정되었다. 식물체를 막자사발에 넣고 20% trichloroacetic acid (TCA)에 0.5% TBA가 녹아있는 용액을 5 mL 넣어 마쇄한 후, 20,000 g의 속도로 15분간 원심분리하여 상징액을 취하였다. 이 상징액을 100oC에서 25분간 끓인 다음 ice bath에 넣어 냉각시킨 후, 다시 20,000 g의 속도로 15분간 원심분리하여 마지막으로 얻은 상징액을 분광광도계로 측정하였다. 각 처리별 최종 반응액은 532 nm에서 흡광도를 측정하였고, 600 nm에서의 흡광도 값으로 보정하였다. MDA 생성량은 156 mM-1 cm-1의 몰흡광계수를 사용하여 산출하였다 (Buege and Aust, 1978).
항산화제 분석
환원형 ascorbate (reduced AsA), 산화형 dehydroascorbate (oxidized DHA) 및 총 ascorbate (환원형 AsA + 산화형 DHA) 함량은 Law et al. (1983)에 의해 고안된 방법을 변형하여 측정하였다. 각 처리별 시료의 흡광도는 525 nm에서 기록되었고, 표준 AsA 회귀곡선를 도출하여 계산에 이용하였다. 환원형 AsA는 직접적으로 측정된 값이 사용되었고, 산화형 DHA는 간접적으로 총 AsA에서 환원형 AsA를 빼고 남은 값을 이용하였다.
환원형 glutathione (reduced GSH)과 산화형 glutathione disulfide (oxidized GSSG) 및 총 glutathione (환원형 GSH + 산화형 GSSG) 함량을 측정하기 위하여, 식물체를 막자사발에 넣고 액체질소로 급속히 동결시킨 후, 미세분말이 되도록 마쇄하였다. 그 시료에 1.2 mL의 5% (w/v) 5-sulfosalicylic acid를 넣어 GSH의 산화를 방지시켰고, 그 뒤 혼합액을 4oC의 12,000 g의 속도로 10분간 원심분리하였다. 총 GSH함량 측정을 위하여, 200 µL의 상징액에 800 µL의 반응액 (143 mM Na-phosphate buffer (pH 7.5), 6.3 mM EDTA, 0.22 mM nicotinamide adenine dinucleotide phosphate (NADPH))을 넣은 후 100 µL의 6 mM 5,5-dithiobis-2-nitrobenzoic acid (DTNB)를 첨가하여 최종 반응액을 조제하였다. 반응 개시를 위하여 0.5 unit의 GSH 환원효소 (GSH reductase)의 첨가하고, 412 nm에서 1분 동안 흡광도의 변화를 측정하였다. 또한, 산화형 GSSG함량 측정을 위해서 200 µL의 상징액에 4 µL의 2-vinylpyridine를 첨가 후 잘 혼화시킨 다음, 25oC에서 60분간 반응시켰다. 각기 반응액은 총 GSH함량 측정과 동일한 과정을 거쳐 측정하였다. 여러 농도의 GSH 또는 GSSG의 표준회귀곡선을 작성하여 각기 시료의 GSH와 GSSG함량을 산출하였다 (Meister and Anderson, 1983).
통계처리
본 연구는 유리온실에서 각 처리별 3반복을 완전임의 배치하여 수행하였다. 모든 데이터의 통계처리는 Statistical Analysis Software (SAS ver. 9.2) 프로그램을 이용하여 처리 간 분산분석 (ANOVA)을 실시하였다. 처리의 효과는 Fisher 최소유의차 검정 (p=0.05)을 통하여 유의성 유무를 판단하였고, 데이터는 평균값 ± 표준오차로 표현하였다.
Results and Discussion
비소독성에 따른 식물생장반응에 미치는 ascorbate (AsA)의 영향
수경재배된 4엽기의 벼 유묘에 As를 용액상태로 처리하고, 동시에 0, 250 및 500 mg kg-1 농도의 AsA를 경엽처리 후 14일에 초장, 지상부 건물중, 뿌리 건물중, 그리고 지상부 수분함량을 조사한 결과는 Fig. 1과 같다. 무처리와 비교한 모든 처리에서 벼 유묘의 뿌리 건물중과 지상부 수분함량을 제외하고 (Fig. 1C, D), 초장과 지상부 건물중은 250 및 500 AsA 경엽처리 유무에 관계없이 As독성에 의해 야기되는 생장저해를 나타냈다 (Fig. 1A, B). 무처리와 비교된 As처리의 지상부 건물중에서는 26.3% 생장을 감소시켰음에도 불구하고 (Fig. 1B), 뿌리 건물중에서는 As처리를 비롯한 두 농도의 AsA 경엽처리 모두에서 통계적인 차이가 없었다 (Fig. 1C).

Fig. 1.
Effect of ascorbate (AsA) application on the growth characteristics of rice plants grown in the 15 µM arsenic (As)-treated hydroponics with or without AsA (250 and 500 mg kg−1) applications at the four-leaf stage. Fourteen days after treatment, plant height (A), shoot dry weight (B), root dry weight (C), and shoot water content (D) were measured. Each data point is the mean ± standard error (SE) of three replications. Means denoted by the same letter are not significantly different at the 5% level, according to Fisher’s least significant difference (LSD) test.
식물체 부위별 비소함량과 전이
AsA 경엽처리에 따른 식물체 부위별 As 흡수·전이 양상을 평가하기 위하여, As 또는 As + 250 및 500 AsA처리 간에 As함량을 뿌리와 잎으로 나누어 처리 후 14일에 비교·분석하였다. 뿌리는 지상부 (줄기 + 잎)보다 유의적으로 월등히 높은 As함량을 나타냈고, As보다 As + 250 AsA는 7.2% 그리고 As + 500 AsA는 33.6% 높게 As가 검출되었다. 지상부 또한, 지하부인 뿌리와 일관된 경향으로 As에 비해 As + 250 AsA에서 28.5% 그리고 As + 500 AsA에서 무려 41.3%가 더 높게 검출되었다 (Fig. 2A). 지하부인 뿌리로부터 지상부로의 As전이에서 As처리에 비해 As + 250 AsA처리는 유의적으로 1.2배 높은 As전이를 나타냈던 반면, 고농도로 AsA가 적용된 As + 500 AsA는 통계적인 차이가 없었다 (Fig. 2B). 이는 지상부에 비해 뿌리에 상당히 많은 As가 축적되어 있었기 때문에 지상부로의 전이수치가 낮게 나타난 것으로 판단된다. 그렇지만 As독성에 따른 AsA 적용여부에 관계없이 차이를 보이지 않았던 식물생장반응의 결과와는 상이하게 뿌리 및 지상부로의 As흡수·이행에는 AsA 처리효과를 확인할 수 있었다 (Figs. 1, 2). As를 비롯한 중금속의 식물체 내로의 흡수·이행은 식물종, 뿌리, 줄기, 잎, 그리고 종실 등의 식물조직부위에 따라서 흡수·축적 능력에 상이한 차이를 나타낼 뿐만 아니라 여러 필수양분들의 길항관계에 의해서도 영향을 받고 있다 (Fergusson, 1990; Park et al., 2009; Jung et al., 2015; Jung et al., 2016; Jung et al., 2017).

Fig. 2.
Effect of ascorbate (AsA) application on the arsenic (As) content (A) and As-transfer factor (B) between root to shoot of rice plants grown in the 15 µM arsenic (As)-treated hydroponics with or without AsA (250 and 500 mg kg−1) applications at the four-leaf stage. Fourteen days after treatment, the As contents in roots and shoots were measured via ICP-MS analysis. Each data point is the mean ± standard error (SE) of three replications. Means denoted by the same letter are not significantly different at the 5% level, according to Fisher’s least significant difference (LSD) test.
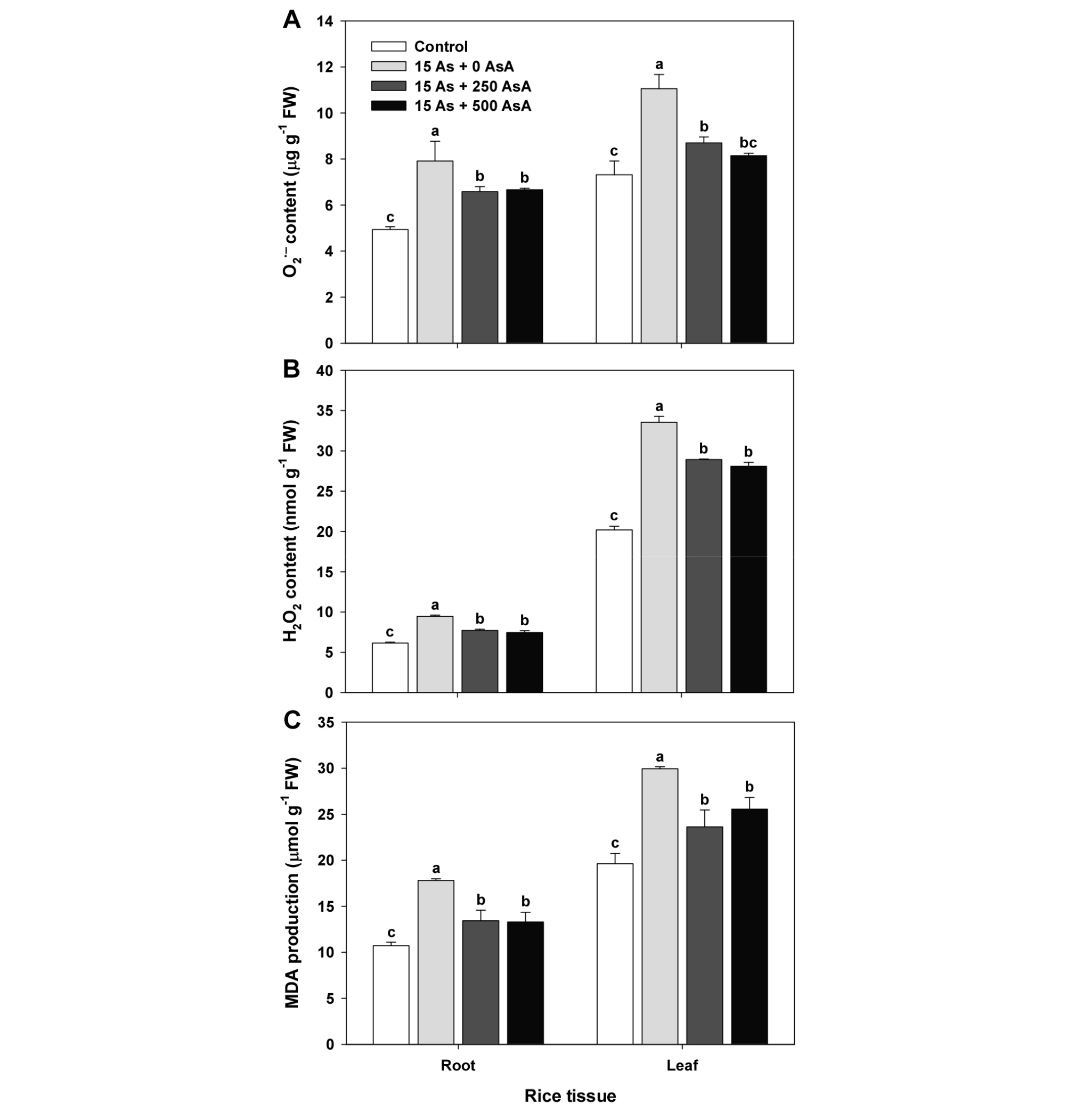
활성산소종과 지질과산화 변화
As독성으로 인하여 야기되는 산화적 스트레스 정도를 분석하기 위하여, As 또는 AsA를 처리하고 O2•−와 H2O2함량 및 지질과산화작용의 지표화학물질인 MDA 생성량을 조사하였다. As 수경처리와 동시에 AsA 경엽처리 후 14일에 무처리와 비교한 As처리의 O2•−함량은 뿌리에서 60% 그리고 잎에서 51%가 높게 생성되었음에도 불구하고, As + AsA처리들의 뿌리에서는 33~35% 그리고 잎에서는 11~19%만을 증가시켰다. 이는 항산화제인 AsA의 경엽처리로 As독성에 의해 발생되는 산화적 스트레스를 뿌리에서는 42~45%를 완화시키고, 잎에서는 63~78%를 경감시키는 효과를 보여주는 결과이다 (Fig. 3A).
H2O2함량 또한, O2•−함량과 비슷한 경향으로 무처리에 비해 As처리의 뿌리에서 54% 그리고 잎에서 66%로 크게 증가했던 반면, 250과 500 AsA 경엽처리의 뿌리에서는 21~26% 그리고 잎에서는 39~43%만을 증가시키는데 그쳤다 (Fig. 3B).
O2•−와 H2O2함량에 비례적으로 지질과산화작용의 최종산물인 MDA생성량 또한, 무처리에 비해 As처리의 뿌리에서 1.66배 그리고 잎에서 1.53배가 더 많이 생성되었다. 그렇지만 뿌리와 잎 모두에서 AsA처리에 따른 As독성으로 유발되는 MDA생성량을 유의적으로 낮추는 효과를 확인하였다 (Fig. 3C).
As독성경감을 위한 산화적 스트레스 물질인 활성산소종 (O2•−와 H2O2)과 지질과산화작용의 최종생성물인 MDA생성량에 있어, AsA의 적용효과가 확실히 나타남을 확인할 수 있었다 (Fig. 3). Akram et al. (2017)에 의해 조사된 여러 작물들에 적용된 AsA 연구사례들에서 보여주는 결과들은 다양한 환경스트레스를 비롯한 과잉의 중금속 (As, Cd)으로 인하여 발생되는 산화적 스트레스 소거에 AsA가 중요한 기능과 역할을 담당하고, 이들의 독성경감에 AsA효과를 체계적으로 종합하여 보고하였다. 이와 더불어 Semida et al. (2018)은 오이 종자처리에서 또한, AsA적용에 의해 중금속독성이 경감되고, 식물체의 내성이 증진된다는 연구결과를 제시하였다. 그러므로 AsA 경엽처리에 따라 As독성에 의해 유발되는 산화적 스트레스가 완화됨으로서 식물체의 스트레스 저항성이 증진되어 As의 흡수·이행이 증가되는 것으로 판단된다 (Figs. 2, 3).

Fig. 3.
Effect of ascorbate (AsA) application on the content of superoxide (A; O2•−), hydrogen peroxide (B; H2O2), and malondialdehyde (C; MDA) of rice plants grown in the 15 µM arsenic (As)-treated hydroponics with or without AsA (250 and 500 mg kg−1) applications at the four-leaf stage. Fourteen days after treatment, the contents of O2•−, H2O2, and MDA in roots and leaves were measured. Each data point is the mean ± standard error (SE) of three replications. Means denoted by the same letter are not significantly different at the 5% level, according to Fisher’s least significant difference (LSD) test.
항산화제 함량과 항산화제의 산화·환원비율 변화
As독성에 노출된 식물체 내 산화·환원비율 (redox ratio) 변화는 AsA redox ratio (ascorbate (AsA)/dehydroascorbate (DHA))뿐만 아니라 GSH redox ratio (glutathione (GSH)/glutathione disulfide (GSSG))와도 매우 밀접하게 연관되어있다 (Foyer and Noctor, 2011; Farooq et al., 2016; Jung et al., 2017). 따라서 As 스트레스에 노출된 벼 유묘에 250 및 500 mg kg-1 농도의 AsA를 경엽처리 후 14일에 AsA 및 GSH함량과 이들의 redox 상태를 비교·분석하였다 (Fig. 4). 무처리와 비교한 As처리의 AsA수준은 뿌리와 잎 모두에서 유의적인 차이가 없었음에도 불구하고 (Fig. 4A), AsA의 산화형 (oxidized form)인 DHA는 뿌리에서 270% 그리고 잎에서 193%나 크게 증가되었다 (Fig. 4C). AsA와 DHA함량을 기반으로 산출된 AsA redox ratio (AsA/DHA)는 무처리에 비해 뿌리에서 63% 그리고 잎에서 52%로 크게 감소되었다 (Fig. 4E). 그렇지만 As처리와 비교한 250과 500 AsA처리의 AsA함량은 뿌리에서 29%와 31% 그리고 잎에서 17%와 21% 증가를 유도했던 반면 (Fig. 4A), DHA는 AsA와 반대의 경향으로 뿌리에서 41%와 39% 그리고 잎에서 12%와 16%를 감소시켰다 (Fig. 4C). As처리에 비해 AsA처리는 상대적으로 높은 AsA와 낮은 DHA를 유지함으로서 두 조직 (뿌리와 잎) 모두에서 AsA redox ratio가 유의적으로 높게 나타났을 것으로 판단된다 (Fig. 4E).
무처리와 비교된 As처리의 GSH함량과 GSH redox ratio는 뿌리와 잎에서 크게 감소했음에도 불구하고 (Fig. 4B, F), GSH의 산화형인 GSSG는 잎에서만 크게 증가하고 뿌리에서는 전혀 변화가 없었다 (Fig. 4D). As처리에 비교한 AsA처리의 GSH함량에 있어, 뿌리는 고농도인 500 AsA처리에서 유의적으로 증가했던 반면, 잎은 오히려 저농도로 처리된 250 AsA에서만 통계적인 차이를 확인할 수 있었다 (Fig. 4B). GSSG함량은 GSH와 반대의 경향으로 두 조직 모두에서 감소하였다 (Fig. 4D). 그러므로 AsA처리는 As처리에 비해 높은 GSH함량과 낮은 GSSG함량을 나타냄으로서, GSH redox ratio를 높게 유지할 수 있었을 것으로 판단된다 (Fig. 4F).
이는 As독성으로 인하여 세포 내 산화·환원의 불균형이 일어남으로서 발생되는 활성산소종 소거와 산화·환원조절에 항산화제인 AsA 및 As독성 무독화 또는 완화에 관여하는 항산화제인 GSH의 중요성을 시사하는 결과라 판단된다 (Foyer and Noctor, 2011; Farooq et al., 2016; Jung et al., 2017).

Fig. 4.
Effect of ascorbate (AsA) application on the content of AsA/GSH and DHA/GSSG, and the AsA/GSH redox ratio in rice plants grown in the 15 µM arsenic (As)-treated hydroponics with or without AsA (250 and 500 mg kg−1) applications at the four-leaf stage. Fourteen days after treatment, the levels of AsA/GSH and DHA/GSSG, and the AsA/GSH redox ratio in roots and leaves were measured. A and B, AsA and GSH content; C and D, DHA and GSSG content; E and F, AsA/DHA and GSH/GSSG redox ratio. Each data point is the mean ± standard error (SE) of three replications. Means denoted by the same letter are not significantly different at the 5% level, according to Fisher’s least significant difference (LSD) test.
Conclusion
본 연구의 종합적인 결론으로, 벼의 비소 스트레스 상태에서는 활성산소종, 지질과산화 그리고 산화형 항산화제인 DHA와 GSSG가 증가하고, 반면에 환원형 항산화제인 AsA와 GSH은 감소 또는 변화가 없으므로 전체적인 환원상태가 감소함으로서 비소독성을 나타내는 것과 더불어 비소의 흡수·전이를 제한하는 것으로 판단된다. 그렇지만 AsA의 경엽처리에 따라, As처리에 비해 상대적으로 활성산소종, 지질과산화 그리고 산화형 항산화제인 DHA와 GSSG가 감소되고 환원형 항산화제인 AsA와 GSH이 증가됨으로서 환원상태가 조장되어 비소독성을 낮추고 식물체로의 비소흡수·전이를 증진하는 것으로 생각된다. 그러므로 비소오염지에서 AsA의 경엽적용은 과잉의 As로 인하여 발생되는 식물독성을 경감시킬 수 있는 하나의 방안이 될 수 있을 것이고, 식물을 이용한 비소오염토양의 정화에 적용가능성을 시사한다. 그렇지만 As독성에 대한 AsA의 처리효과를 명확히 하기 위하여 실제로 As에 오염된 포장에서 AsA의 적정수준과 처리시기 등의 연구가 필요할 것으로 생각된다.



