Introduction
전국단위 환경부 ‘지하수 수질 측정망’은 6,900개로 지하수수질 기준 19개 항목을 모니터링 하고 있다. 지하수 수질 측정망에 포함된 지하수수질의 기준 초과율은 2015년 기준 8.5%로 조사되었고 그 중 질산성 질소의 초과율이 16.6%로 보고되었다 (MOE, 2016). 이외에도 여러 연구와 환경부에서 실시한 농축산 지역의 지하수 조사에서는 지하수의 수질기준 초과율이 지역별로 적게는 12.6% 많게는 48.9%로 보고되었고, 동일 지역에서의 질산성 질소 초과율이 최저 11.4%에서 최고 65.0%로 질산성 질소에 의한 농축산지역 지하수 오염이 지역적으로 차이가 있는 것으로 보고되었다 (Jeon et al., 2011; Ki et al., 2013; Kim et al., 2008; Kim and Woo, 2003; NIER, 2016; Park, 2014; Woo et al., 1999). 2005년에 발표된 지표수와 지하수의 질산성 질소 농도를 살펴보면 지표수의 평균 질산성 질소 농도는 2.1~3.0 mg L-1수준이고 지하수의 질산성 질소 농도는 8.27~8.75 mg L-1수준으로 지하수의 평균 질산성 질소 농도가 지표수의 질산성 질소 농도보다 약 2배가량 높았다 (Kim et al., 2005).
농축산지역 지하수의 질산상질소의 수질초과율에 기여하는 원인으로는 농경지에 직접 살포되는 화학질소비료 및 퇴비, 생활하수, 축산활동에 의한 축산 폐기물, 정화조 누수 등으로 인한 것으로 알려져 있으며, 특히 축산활동에 의한 가축 분뇨 와 화학 질소 비료 등에서 기인하는 질산성 질소가 수질초과율의 주요 원인으로 지목되어 왔다 (Gooddy et al., 1998; Jeon et al., 2011; Kim et al., 2015; Koh et al., 2010).
현재 질산성 질소의 음용수 허용기준 농도는 10 mg L-1 이하로, 허용기준 농도를 초과한 지하수를 장기간 섭취할 때 가축의 경우 성장과 번식저하의 원인이 될 수 있으며 (Chandler, 1989), 6개월 미만의 유아는 청색증을 유발 할 수 있다는 보고 (Benefield et al., 1982; Kim et al., 2008)가 있어 농축산지역의 지하수 활용 시 철저한 관리를 하여야 할 것으로 판단된다. 이러한 문제점을 보완하기 위해 많은 나라들이 질산성 질소의 관리기준을 운영하고 있다. EU에서는 질산염 관리지침 (Nitrate Directive, 1991)에 의해 질산염 취약지역 (Nitrate Vulnerable Zones, NVZ)을 지정하여 관리하고 있으며 농민들의 비료시비와 가축분뇨 사용 제한을 권고 하고 있다. 영국은 질산염 취약지구 (NVZs)를 선정 (Nitrate pollution prevention regulations, 2008)하여 축산 분뇨와 비료의 농업현장적용법을 시행하고 있다 (European Commission, 2011; Xue et al., 2009). 미국의 경우 국가수질 관리 (National water-quality assessment) 프로그램으로 대수층의 수질을 관리하고 있다. 각국의 질산성 질소 관리 방법 중 질산성 질소를 저감하기 위한 여러 방법을 살펴보면 미국 EPA 에서는 이온교환, 역삼투 및 전기투석 공법을 미국, 프랑스, 스페인, 아일랜드, 한국 등에서는 화학적 탈질을 이용하는 방법 등에 대한 연구를 수행하여 질산성 질소 저감을 하기 위해 각별한 노력을 기울이고 있다.
가축사육에 의해 배출될 수 있는 주요 오염물질로는 암모니아성 질소, 질산성 질소, 염소이온 등이 있고, 암석이나 염수에 대한 영향인자로는 칼슘이온과 나트륨 이온 등이 있으며, 액비 살포지역에서는 총질소가 높게 나타나며 화학비료 살포지역은 인산염의 주요 오염물질로 나타났다 (Hyeon, 2011).
축산지역의 지하수 수질현황은 축산농가에서 사육하는 사육가축의 종류, 사육 가축의 밀집도 등 지하수 수질에 영향을 줄 수 있는 축산계의 영향인자, 광물, 생활하수 등 다양한 원인으로 파악되고 있지만 그 관련정도에 대한 이해가 많이 부족한 상황이고 지하수 수질개선을 위한 축산활동과 지하수 수질과의 관련 연구가 매우 필요할 것으로 판단된다. 본 연구의 목적은 축산지역에서 발생하는 질소성질소의 수질 초과율과 축산계의 영향인자 등의 관련 여부를 평가하여 농축산지역 지하수 수질개선을 위한 질소계 오염원의 관리 방안에 대한 가이드라인을 제시하고자 한다.
Materials and Methods
조사지역선정 및 축산활동에 의한 질소계 오염부하량 산정 경기 ․ 인천지역의 후보군 중 축산활동 의한 영향 가능성 높은 관정이 20개 이상 위치한 지역을 대상으로 강화, 김포, 가평, 여주, 남양주, 안성, 광주, 양평, 포천, 화성, 용인, 평택 지역의 52개 리 ․ 동을 선정하였으며 조사한 시 ․ 도별 각 축종의 사육현황과 면적을 Table 1에 정리하였다. 선정된 지역의 면적은 평균 4.6 (1.01~18.71) km2이며 축산활동 농가는 276개소로 조사되었다. 조사 지역을 주요 사육축종에 따라 구분한 결과 소 33개, 돼지 10개, 가금 7개, 기타축종 (개, 사슴) 2개 지역이며, 각 축종 사육지역의 평균 면적은 소 4.4 km2, 돼지 3.3 km2, 가금류 4.7 km2로 조사되었다.
조사대상 지역을 선정하기 위해 수계오염총량자료를 이용하여 경기도와 인천 지역의 축산계 오염원을 파악하고 전국오염원조사자료, 위성자료, 지적관련 자료 등을 수집 및 검토하였고 현장조사를 통해 선정된 지역의 오염원정밀조사를 진행하였다. 오염원정밀조사는 조사지역의 농가수, 농가주소, 위치 축사시설현황, 축산분뇨처리시설현황, 사육축종 및 두수, 축분처리현황 등을 276곳의 축산농가 설문을 통해 조사하였다.
조사한 오염원 현황을 이용하여 축산지역의 발생부하량과 토지환원부하량을 산정하기 위하여 ‘수계오염총량관리기술지침’(2014)에서 제시한 방법을 적용하였으며, 축산활동에 의한 발생부하량은 축산농가 전수조사표를 통해 조사된 각 지역별 축산두수와 수계오염총량관리기술지침에 게시된 축종별 축산분뇨 발생부하원단위(Table 2)를 활용하여 조사지역의 축산시설에서 발생되는 BOD, T-N, T-P의 발생부하량을 산정하였다.
축산계발생부하량 (kg day-1) = 축산폐수발생부하량 + 축산고형물발생부하량 (Eq. 1)
지하수는 토양을 통해 영향을 받는 것을 반영하기 위해 축산활동 지역에서 발생된 오염부하량이 토지로 환원되는 양(자원화개별삭감량, 농지삭감량 등)의 산정에도 수계오염총량관리기술지침의 자원화개별삭감량, 관거이송량, 농지환원량, 위탁자원화에 의한 개별배출량, 강우배출비를 고려하여 산정 하였다.
지표투입부하량 (kg day-1) = (자원화개별삭감대상량 – 고형물관거유입량 + 폐수처리농지환원량 + 위탁자원화물 개별배출량) × 강우배출비 (Eq. 2)
오염부하량밀집도는 축종과 더불어 분뇨 발생량에 절대적으로 영향을 주는 인자로 판단되며 행정구역 (동 ․ 리) 면적에 대한 사육두수와 일일발생부하량으로 계산하였으며, 질소계 오염물질에 대한 지하수 수질의 영향을 관찰하기 위해 총질소에 대한 부하량밀집도를 이용하여 대상지역을 선정하였다.
(Eq. 3)
산출된 오염부하량밀집도에 log를 취한 후 정규분포의 형태로 전환하고 평균과 표준편차를 이용하여 대상지역을 분류하였다. 정규분포를 이용하여 분류된 지역은 밀집도 저, 중, 고 3개로 분류하였으며 분류기준 중 저는 121 ≤ 부하량밀집도 < 1,495 g day-1 km-2 기준, 중은 1,495 ≤ 부하량밀집도 < 7,982 g day-1 km-2사이, 고는 경우 부하량밀집도 ≥ 7,982 g day-1 km-2 이상이었다.
지역별 조사관정을 선정하기 위한 각 축산단지의 이용관정 현황은 국가지하수정보센터 (GIMS)의 지하수 이용자료와 조사지역내에서 공간적 분포를 고려하여 최종 조사 대상 1,100개 관정을 선정하였다. 선정된 지하수 관정에 대한 자료조사 및 확인을 위해서 관정의 설치현황 (직경, 굴착심도, 일양수량 등) 및 용도 (음용, 생활용, 농업용 공업용) 등의 자료를 이용하였으며, 자료가 없거나 부족한 부분은 현장 설문조사를 통해 확인하였다.
시료 채취 및 현장항목 측정 지하수 시료는 2012 (300개 관정), 2013 (400개 관정), 2014년도 (400개 관정)에 상 ․ 하반기 각각 1회씩 총 2,200개 시료를 채취하였다. 현장수질측정 항목중 대기와의 접촉 및 온도 변화에 민감한 5개 항목 (수소이온농도 (pH), 전기전도도 (EC), 산화환원전위 (ORP), 용존산소 (DO), 수온) 등은 현장에서 직접 측정하였다. 현장수질측정은 연속흐름 방식으로 실시하여 대기접촉 등에 의한 교란을 방지하였고 시료의 채취는 미국지질조사소 (USGS, 2010)의 지침에 따라 현장수질측정 항목의 값들이 안정화될 때까지 충분히 퍼징을 실시한 후 실시하였다. 지하수 시료채취 과정도 양수량을 조절하여 교란이나 기포가 발생하지 않도록 하였으며, 공기접촉으로 인한 시료의 변질을 방지하기 위해 채수병 상부에 빈공간이 발생하지 않도록 주의하여 시료를 채취하였다. 채취된 지하수 시료는 분석항목에 따라 현장에서 0.45 µm 여과 및 질산 처리를 즉시 실시하였고, 시료의 운반 및 보관은 냉장상태 (0~4°C)를 유지하여 변질을 방지하였으며, 오염도가 높을 것으로 예상되는 시료는 별도로 분류하여 운반 및 보관하였다.
지하수 수질 분석 지하수 수질 분석방법은 지하수 용도에 따라 먹는물공정시험기준과 수질오염공정시험기준의 방법을 적용하여 분석하고, 이들 시험기준에 없는 분석항목 (항목추가)은 표준시험방법 (Standard Method, APHA, 1998)에 따라 분석하였다. 분석항목은 주요 양이온 (K+, Na+, Ca2+, Mg2+) 과 음이온 (Cl-, SO42-, NO3-), 총질소, 총유기탄소, 인산염인, 암모니아성 질소, 알칼리도, 총대장균군 (군) 등 13개 항목이다. 분석된 자료는 파이퍼다이어그램을 이용하여 Ca-(Cl+NO3)유형 (인위적 오염원의 영향을 받은 지하수), Ca-HCO3유형 (오염되지 않은 천부지하수), Na-Cl유형 (해수의 영향이 있을 수 있는 지하수), Na-HCO3 (지질매체에 의한 영향이 있는 지하수)등 총 4가지로 분류하였다 (Chadha, 1999; Jeon et al., 2011; NIER, 2016).
Results and Discussion
발생부하량 및 발생부하밀집도의 상관관계 선정한 52개 지역의 발생부하량을 산출한 결과 총질소의 평균 발생부하량은 77.0 kg day-1이고 범위는 0.01~574.7 kg day-1, 총인산의 평균 발생부하량이 27.7 kg day-1, 범위는 0.0~ 205.0 kg day-1, 생물학적산소요구량 (BOD)의 평균 발생부하량은 349.2 kg day-1, 범위는 0.1~2,680.0 kg day-1로 산출되었으며, 총질소, 총인산, BOD에 대한 발생부하밀집도는 총질소의 평균 2.2 kg day-1 km-2 범위는 0.0~329.0 kg day-1 km-2, 총인산의 평균 11.5 kg day-1 km-2 범위 0.0~118.7 kg day-1 km-2, BOD는 평균 139.9 kg day-1 km-2이며 범위는 0.0~1,551.8 kg day-1 km-2으로 계산되었다
팔당호 주변 축산단지의 발생부하밀집도에 대하여 총인산은 평균 7.3 kg day-1 km-2, 최소 1.5 kg day-1 km-2, 최대 22.8 kg day-1 km-2, BOD는 평균 80.0 kg day-1 km-2, 최소 18.1 kg day-1 km-2 ~ 최대 245.2 kg day-1 km-2으로 (Kim et al., 2014)보고한 연구결과를 고려하여 경기 및 인천 지역을 대상으로 산출한 본 연구의 발생부하밀집도와 비교한 결과 상수원 보호지역인 팔당호 주변보다 경기 및 인천지역의 일반 농축산지역이 발생부하밀집도가 높은 것을 확인하였다.
조사대상 지역들의 발생부하밀집도를 토대로 지하수 수질조사를 위해서 저 밀집지역, 중 밀집지역 및 고 밀집지역 3개의 구간으로 나누어 조사한 결과 각 구간의 평균 발생부하밀집도 중 저 밀집지역은 371 g day-1 km-2, 중 밀집지역은 3,724 g day-1 km-2, 고 밀집도 지역에서 67,390 g day-1 km-2으로 구분하였다. 조사한 지역들의 총질소에 대한 평균 발생부하량과 지역별 발생부하밀집 수준을 Fig. 1에 나타내었다.
조사 지점으로 선정된 지역의 발생부하량, 발생부하밀집도, 토지환원량의 관계를 Fig. 2로 분석하였다. 발생부하량이 높은 지역일수록 발생부하밀집도와 토지환원부하량이 증가하는 경향을 나타내었으나, 폐기물을 처리하는 방식에 따라 이송 또는 위탁처리 방법으로 배출량의 대부분을 처리하는 지역에서는 토지환원량이 급감하는 것으로 확인되었다.
밀집도 및 축종별 토지침투부하량 조사지역의 축산활동에 의한 발생부하량 중 T-N에 대하여 지표로의 토지침투부하량을 구하였다. 평균 침투부하량은 42,917 kg day-1으로 최소 0.00, 최대 459.7 kg day-1으로 확인 되었으며 T-N의 발생부하량 대비 토지침투부하량의 비율은 평균 71.4%의 비율로 확인되었으며, 발생된 축산폐기물의 처리방법에 따라 주로 이송 또는 위탁하여 처리하는 경우 최소 0.0%, 퇴비화 또는 축사에서 자원화 등의 방법으로 처리하는 경우 최대 100.0%의 비율을 보였다.
오염부하밀집도에 따라 구분했을 때 토지침투부하량은 고 밀집지역에서 평균 91,352 kg day-1, 범위는 248~ 459,725 kg day-1, 중 밀집지역 평균 15,271 kg day-1, 범위는 14~44,755 kg day-1, 저 밀집지역 평균 2,148 kg day-1, 범위는 9~10,906 kg day-1으로 확인되어 발생부하밀집도가 높은 지역에서 토지로 침투되는 양도 많은 것으로 집계되었으며, 발생부하량에 대한 토지환원부하량의 비율을 밀집수준별로 구분한 결과가 고 밀집사육 지역 평균 63.8%, 중 밀집사육 지역 73.6%, 저 밀집사육 지역 79.4%로 집게 되어 발생부하밀집도가 낮은 저 밀집사육 지역의 발생부하량 대비 토지환원부하량의 비율이 가장 높은 것으로 나타났다.
축종별 토지침투부하량을 분석한 결과 소 사육지역 평균 42,193 kg day-1, 범위는 187~459,725 kg day-1, 돼지 사육지역 평균 72,082 kg day-1, 범위는 14~183,332 kg day-1, 가금 사육지역 평균 16,892 kg day-1, 범위는 9~44,755 kg day-1이었으며, 발생부하량에 대한 비율은 소 80.4%, 돼지 54.2%, 가금 51.1%로 토지 침투부하량은 돼지를 사육하는 지역에서 월등히 높았으나 토지침투비율은 소를 사육하는 지역이 가장 높고 돼지와 가금을 사육하는 지역은 비슷한 수준으로 확인되었다. 이는 대규모로 가축을 사육하는 축산농가가 발생부하량에 대하여 위탁이나 이송 등의 방법으로 폐기물을 처리하는데 반해 소규모 축산농가에서는 자체처리 혹은 주변 농지로 살포하는 등의 방식으로 폐기물을 처리하는 경향과 소 폐기물보다 돼지나 가금류에서 발생한 폐기물의 이송처리비율이 높은 것과 유의한 결과로 판단된다.
지하수용도 및 항목별 수질 현황 전국 지하수를 대상으로 조사된 2015년 지하수수질측정망 운영결과 6,900개 관정의 수질기준 초과율이 음용지하수에서 13.0%, 비음용지하수에서 7.4%로 용도별로 생활용은 8.8%, 농업용은 6.3%, 공업용은 5.1% 초과한 것으로 보고되었다 (NIER, 2016). 경기 ․ 인천 지역의 2,200개 지하수시료는 용도별로 음용 814개, 공업용 90개, 생활용 1,170개, 농업용 126개 이며, 각 용도별 기준초과시료는 음용 316개 (38.8%), 비음용 73개 (5.3%)로 확인되어 경기 및 인천지역 축산단지의 음용지하수 기준초과율이 전국의 음용지하수 기준 초과율 보다 비교적 높았다. 초과된 항목 중 음용수는 총대장균군 193개 (23.7%), 질산성 질소 154개 (18.9%) 시료가 기준치를 초과하였고, 비음용수는 68개 (4.9%) 시료가 질산성 질소 기준치를 초과하였으며, 2,200개 시료의 질산성질소 농도수준으로 계수한 결과 불검출~10 mg L-1의 수준이 1,681개, 10~20 mg L-1의 범위는 404개, 20~40 mg L-1의 범위에서 105개, 40 mg L-1을 초과하는 시료가 10개로 분석되어 분석대상 시료 중 23.6%의 시료가 음용수의 질산성질소 허용기준을 초과하는 것으로 나타났다.
오염부하 밀집도에 따른 수질 현황 지하수의 오염원 추적을 위해 각 조사지역별 지하수수질의 평균값을 이용하여 파이퍼다이어그램으로 도식화한 결과 모든 밀집도 그래프에서 Ca-(Cl+NO3) 유형과 Ca-HCO3유형이 동시에 나타나고 있다 (Fig. 3). 52개 지역을 유형별로 구분한 결과 오염부하 고 밀집 지역 24지역 중 17개 지역 (70.8%)이, 오염부하 중 밀집 13개 지역 중 5개 지역 (38.5%), 저 밀집 15지역 중 5개 지역 (33.3%)에서 Ca-(Cl+NO3)유형으로 나타나 오염부하 고 밀집 지역의 지하수에서 인위적 영향으로 인한 오염이 중 또는 저 밀집 지역의 지하수보다 매우 높은 것으로 평가되었다. 이는 오염부하의 밀집 정도에 의한 영향 외에도 지역적 특징이 있을 것으로 추측되며, 이에 대한 추가적 조사가 필요하다. 조사 지역 중 Na-Cl 유형으로 분류된 지역이 없는 것으로 나타나 조사대상 지역 중 바다와 근접한 조사지역에 대해서도 지역적으로 염수 또는 해수의 영향을 특정 할 수 있는 지역이 없음을 확인하였다.
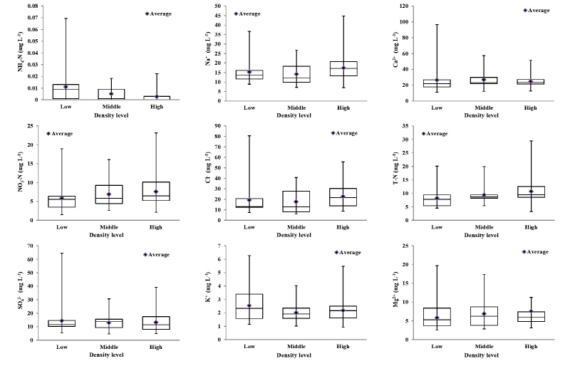
가축사육에 의해 배출될 수 있는 주요 오염물질로는 암모니아성 질소, 질산성 질소, 염소이온 등이 있고, 암석이나 염수에 대한 영향인자로는 칼슘이온과 나트륨 이온 등이 있으며, 액비 살포지역에서는 총질소가 높게 나타나며 화학비료 살포지역은 인산염의 주요 오염물질로 나타난다 (Hyeon, 2011). 양이온들의 평균농도를 보면 암모니아성 질소는 저, 중, 고 밀집지역에서 0.010 mg L-1, 0.005 mg L-1, 0.003 mg L-1으로 분석되었으며, 나트륨 이온은 각각 14.5 mg L-1, 14.1 mg L-1, 17.4 mg L-1, 칼슘이온은 26.5 mg L-1, 26.9 mg L-1, 24.8 mg L-1으로, 칼륨이온은 저, 중, 고 구간에서 2.5 mg L-1, 1.9 mg L-1, 2.3 mg L-1으로, 마그네슘이온은 5.0 mg L-1, 6.8 mg L-1, 6.1 mg L-1으로 나타났다 (Fig. 4).
총질소의 발생부하량은 저 밀집지역이 평균 7.7 mg L-1, 중 밀집지역은 평균 9.4 mg L-1, 고 밀집지역은 평균 10.7 mg L-1로 분석되었다. 음이온류인 질산성 질소는 저, 중, 고 밀집 지역에서 각각 5.0 mg L-1, 6.9 mg L-1, 7.6 mg L-1, 염소이온은 저, 중, 고 각 구간에서 평균 5.0 mg L-1, 6.9 mg L-1, 7.6 mg L-1으로, 황산이온은 저 밀집지역 14.8 mg L-1, 중 밀집지역 12.7 mg L-1, 고 밀집지역 13.4 mg L-1으로 분석되었다. 주요 양이온항목 (K+, Ca2+, Mg2+)은 발생부하밀집도에 따른 연관성이 관찰되지 않았으나 황산이온을 제외한 음이온 (Cl-, NO3-)과 총질소 항목은 밀집도가 높은 지역일수록 평균값이 높아 유의성이 있음을 알 수 있다.
사육축종에 따른 수질 현황 주요 사육 축종 (소, 돼지, 가금류)에 따른 조사지역별 평균 지하수 수질 결과를 파이퍼다이어그램으로 해석한 결과 (Fig. 5) 모든 축종별 지하수 수질 결과에서 Ca-(Cl+NO3) 유형과 Ca-HCO3유형이 동시에 나타나고 있으나 소와 돼지를 사육하는 지역의 경유 소 33지역 중 17개 지역 (51.5%)이, 돼지 10개 지역 중 7개 지역 (70.0%)이 Ca-(Cl+NO3)유형으로 가금류 사육 지역의 경우 7개 중 2개 지역 (28.6%)에서 Ca-(Cl+NO3)유형의 지하수로 분류되었다.
지하수에는 다양한 양이온 (Na+, K+, Mg2+, Ca2+)과 음이온 (Cl-, SO42-, NO3-, HCO32-)이 포함되어 있는데 이러한 이온들은 광물에 의한 영향 외에 인위적 오염원의 영향을 받기도 한다. 나트륨이온은 생활하수, 제설제 (NaCl, CaCl2), 해수에 의한 영향, 칼슘이온은 주로 생활하수, 제설제의 영향이 원인이며, 칼륨이온은 비료에 의한 영향, 마그네슘이온은 화학 비료, 유기물 분해, 염수 등에 의한 영향을 받는 것으로 알려져 있다. 염소이온은 해수나 농약, 생활하수에 대한 영향, 질산이온은 생활하수나 분뇨의 영향에서 기인하며, 황산이온은 대기중의 아황산가스나 유기물의 분해에서 유래할 수 있다 (Park et al., 2015).
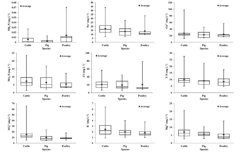
주요 사육 축종별 지하수의 이온농도를 분석한 결과 암모니아성 질소의 평균농도는 소 사육지역에서 0.006 mg L-1, 돼지 사육지역에서 0.003 mg L-1, 가금류 사육지역에서 0.014 mg L-1로 분석되었다. 소와 돼지를 사육하는 지역보다 가금류를 사육하는 지역의 암모니아성 질소 농도가 높게 나타나고 있으나 그 농도가 매우 낮아 축산활동에 의한 직접적인 영향으로 판단하기 어렵다.
평균 나트륨이온은 소를 사육하는 지역에서 17.1 mg L-1, 돼지 사육지역에서 13.6 mg L-1, 가금류 사육지역에서 14.1 mg L-1, 평균 칼슘이온은 소 27.5 mg L-1, 돼지 22.5 mg L-1, 가금류 24.2 mg L-1이었으며 평균 질산성 질소는 소 7.3 mg L-1, 돼지 6.5 mg L-1, 가금류 5.4 mg L-1이었다. 평균 총질소의 각 사육 지역별 분석결과 소 10.04 mg L-1, 돼지 9.08 mg L-1, 가금류 8.35 mg L-1로 분석되었고, 평균 염소이온의 경우 소 20.9 mg L-1, 돼지 19.6 mg L-1, 가금류 20.4 mg L-1으로 나타났다. 각 이온들의 분석결과 암모니아성 질소를 제외한 나트륨, 칼슘, 칼륨, 마그네슘이온과 질산성 질소, 염소이온, 황산이온, 총질소 항목에서는 소를 가축하는 지역의 평균 농도가 가장 높아 소를 사육하는 지역과 지하수수질의 상관관계가 있음을 확인 할 수 있었다 (Fig. 6).
Conclusions
축산활동으로 인한 경기 ․ 인천 지역의 지하수 수질특성을 파악하기 위하여, 오염부하밀집도의 수준을 달리하여 축산단지 52개 지역의 지하수와 축산활동현황을 조사하였다. 대상지역을 오염부하밀집도에 따라 ‘저’, ‘중’, ‘고’ 3개 수준으로 분류하였으며, 총 1,100개 관정을 선정하여 2012, 2013, 2014년도에 걸쳐 상 ․ 하반기 연 2회 지하수의 수질을 분석하였다.
조사대상 지역의 발생부하밀집도는 저밀집 사육 지역의 평균 371 g day-1 km-2, 중밀집 사육 지역의 평균 3,724 g day-1 km-2, 고밀집 사육 지역은 평균 67,390 g day-1 km-2으로 구분되었으며, 오염부하밀집도별 토지환원부하량은 저밀집 사육지역 평균 2,148 kg day-1, 중밀집 사육지역 평균 15,271 kg day-1, 고밀집 사육지역에서 평균 91,352 kg day-1으로 확인되어 발생부하밀집도가 높은 지역에서 토지로 환원되는 오염부하량도 많은 것을 확인하였다. 축종별 토지환원부하량을 분석한 결과 소 사육지역 평균 42,193 kg day-1, 돼지 사육지역 평균 72,082 kg day-1, 가금 사육지역 평균 16,892 kg day-1, 이며, 발생부하량에 대한 토지환원부하량의 비율은 소 80.4%, 돼지 54.2%, 가금 51.1%로 토지환원부하량은 돼지를 사육하는 지역에서 월등히 높았으나 토지침투비율은 소를 사육하는 지역이 가장 높고 돼지와 가금을 사육하는 지역은 비슷한 수준으로 확인되었다. 오염부하밀집수준별 지하수수질 특성을 파이퍼다이어그램에 의해 분석한 결과 고 밀집도 지역의 22개 중 16개 지역, 중 밀집도 지역 15개 중 5개 지역, 저 밀집도 지역 12개 중 3개 지역이 Ca-(Cl+NO3) 유형으로 분류되어 오염부하밀집도가 높은 지역일수록 Ca-(Cl+NO3)특성의 지하수 비율이 높게 확인됨에 따라 고 밀집지역 에서의 인위적 오염과 지하수 수질의 관계가 유의함을 확인하였다. 음이온인 염소, 질산성 질소 및 총질소의 평균농도가 오염부하량이 높은 지역일수록 증가하는 경향을 나타냄에 따라 축산활동에 의한 질소계 오염물질과 지하수 수질이 양의 상관관계가 있음을 확인하였다. 본 연구 결과 경기 및 인천의 축산활동 지역에 대한 질소계 오염원과 지하수 수질 조사를 통하여 지하수 중 대표적인 기준초과 항목인 질산성 질소와 가축사육 밀집도가 유관한 것으로 검토되었다. 따라서 질산성 질소 등으로 인한 지하수의 오염관리를 위해 보다 적극적으로 주요 질소계 오염원인 축산분뇨와 농업활동을 관리 할 수 있는 방안이 마련되어야 할 것이다.










