Introduction
우리나라는 산업화로 인하여 공단지역, 광산 등이 급속하게 발달되었지만 이 후 체계적인 관리가 이루어지지 않아 유해물질인 중금속이 유출되어 주변 토양을 오염시켰고 그 사례들이 많이 보고되었다. 특히 2014년 기준으로 국내 금속광산 5,396개소 중 휴․폐광산이 4,803개로 전체의 89%를 차지하고 있는데 (MIRECO, 2014), 이런 폐광산 주변에는 이전의 채광 및 선광․제련과정 등의 광산 활동으로 인하여 발생한 광폐석과 광미가 방치되어 있고 광산폐수가 발생하여 유출되기도 한다. 이들 광산폐기물들은 강우 등에 의해서 하부로 이동․확산되어 농경지와 수계를 오염시켜 국민의 건강을 위협하고 있다 (Jung et al., 2004; Kim et al., 2006). 2012년 보고에 따르면 폐광산 인근에 중금속 우려기준을 초과한 농경지가 논 106곳, 밭 101곳에 달하고 있다 (MoE, 2012). 중금속으로 오염된 농경지에 작물이 재배되면 근권으로부터 흡수된 중금속이 지상부로 전이되어 인간이 실제 섭취하는 가식부에 축적되므로써 인간의 건강에 위험요소가 된다 (Zhuang et al., 2009). 농림축산식품부에서는 이러한 농경지에서 재배된 농산물 중 식품의약품안전처에서 설정한 농산물 중금속 잔류기준 (MFDS, 2009)을 초과한 농산물을 폐기시키는 조치를 취하고 있으나, 이는 기준치를 초과한 농산물의 유통을 일시적으로 막는 것일 뿐 농산물 관련 중금속 위해요소를 근본적으로 해결하는 대책은 될 수 없다. 따라서 잠재적으로 오염 가능성이 있는 농산물 생산을 제어하고 모니터링 하는 관리 방안이 필요한데 이는 작물의 재배과정에서부터 이루어져야 한다 (Kim et al., 2012). 중금속 오염 토양에서 식물이 중금속을 흡수․축적하는 양은 토양 중 중금속의 총 함량 보다 식물에게 유효한 형태의 함량에 의해 결정된다고 보고되고 있다 (Ruby et al., 1993; Kim et al., 2012). 또한 중금속과 토양간의 상호작용에 있어 화학종 (chemical species) 또는 고체상 (solid phase) 간의 서로 상이하고 복잡한 분포 때문에 (Wang et al., 2004) 식물학적 측면에서는 중금속의 총 함량 보다는 유효태 함량이 중요한 의미를 갖는다. 중금속의 식물유효도는 토양 pH, 유기물 함량, 양이온교환용량, 철․망간 산화물 등과 같은 토양특성의 영향을 받기 때문에 이들 각 인자가 토양 중 중금속의 식물유효도에 미치는 영향을 파악하고, 이를 바탕으로 식물유효도 저감을 위한 토양관리 방안이 마련되어야 한다 (Kim et al., 2007).
식물 유효도 저감을 위한 토양관리 방안 중 중금속으로 오염된 토양에 안정화제를 처리하여 식물유효도를 저감시키는 방법이 있는데, 선행연구를 통해 다양한 안정화제들이 개발되어 왔다 (Kim et al., 2007; Kim et al., 2010; Udeigwe et al., 2011). 선행 연구에 사용된 안정화제들을 작용 원리별로 분류해보면 크게 토양 pH 증가를 꾀하여 토양수 중 중금속을 토양 교질에 흡착시키고 침전시키기 위해 이용되는 안정화제와 (Cheng and Hseu, 2002; Hong et al., 2009) 안정화제 자체의 흡착력을 이용하여 중금속을 안정화 시키는 개량제로 구분할 수 있다 (Uchimiya et al., 2010). 대표적인 이 두 가지 방법 외에도 용존유기탄소 (DOC)를 조절하여 식물유효도를 저감할 수 있는 방안이 있다. 토양용액 내 용존유기탄소는 고체상의 중금속을 DOC-중금속 결합형태의 수용상태 (solution phase)로 전환하여 식물에 의한 흡수를 증가시킨다고 알려져 있고 (Christensen and Christensen, 1999; Almas et al., 2000), 결론적으로 용존유기탄소 함량 증가는 중금속의 유효도를 증가시키는 역할을 한다 (Naidu et al., 1994; Gray et al.,1998, 1999; Kim et al., 2007; Kim et al., 2010). 따라서 용존유기탄소 농도를 감소 시킬 수 있는 안정화제를 처리한다면 중금속의 식물유효도가 저감될 것이라 예상된다. 본 연구는 폐광산 인근 중금속 오염 농경지 토양에 용존유기탄소를 감소시킬 수 있는 안정화제를 포함하여 여러 안정화제를 단일, 또는 복합 처리한 후 토양 특성 변화 및 쪽파에 축적된 중금속 농도 변화를 조사하여 안전한 농산물 생산을 위한 안정화제 활용기술 도입을 목적으로 실시하였다.
Materials and Methods
공시 토양 본 연구에서 사용한 토양은 충청남도 공주시 탄천면 삼각리에 위치한 금속광산 주변 중금속 오염지에서 채취한 토양이다. 채취한 토양의 일반적인 화학적 특성은 Table 1과 같으며, As, Cd, Pb 함량이 환경부 ‘토양환경보존법’에 명시된 토양오염우려기준 (As: 25 mg kg-1, Cd: 4 mg kg-1, Pb: 200 mg kg-1)을 초과하였다.
안정화제 본 연구에서는 토양 중 중금속의 식물유효도에 영향을 미치는 기작에 따라 총 6가지 안정화제를 선택하였다. 먼저 토양 pH 증가를 유도하여 중금속 식물 유효도를 감소시키는 석회비료, 유기 (흡착)교질물에 의한 중금속 흡착 및 유기물과 중금속 간의 안정한 복합체 형성 (Castaldi et al., 2005; Kumpiene et al., 2007)을 유도하여 중금속 식물유효도를 감소시킬 수 있는 퇴비와 폐버섯배지, 그리고 토양 pH 증가와 흡착교질물질로써 동시 역할 (Beesley and Marmiroli, 2011; Park et al., 2011; Khan et al., 2013; Moon et al., 2013)을 할 수 있는 것으로 알려진 바이오차를 이용하였다. 마지막으로 용존유기탄소 (DOC) 감소를 유도하여 중금속 식물유효도를 감소시킬 것으로 예상되는 석고를 포함하였다. 토양수에 가수분해 되어 양전하의 Ca 이온을 만들어 내는 석고는 음전하를 띄고 있는 용존유기탄소의 전기적 반발력을 감소시켜, 결국 제타포텐셜 (zeta potential)을 감소시키고 콜로이드의 플럭 (floc)을 형성하고 응집 (coagulation)시켜 토양 수 중 용존유기탄소의 농도를 감소시킬 수 있다 (Park et al., 2005; Song et al., 2005). 이 밖에도 안정화제의 복합적인 (상승효과) 효능을 평가하기 위해 위에 선정된 개별 안정화제를 복합처리 하는 방안을 포함하였다. 또한 오염되지 않은 비오염토양을 처리하여 중금속 총 함량과 유효태 함량을 동시에 낮추는 방법도 실험에 포함하였다. 각 안정화제의 화학적 특성은 Table 2에 나타냈다.

†EC: electrical conductivity.
처리 및 작물재배 중금속 오염 토양 25 kg (건토 기준)에 각각의 안정화제를 토양 무게 대비 3%씩 혼합한 후 (석회는 소석회로 토양 무게 대비 1%, 비오염토양은 오염토양의 무게에 25%를 넣어 혼합) 높이 50 cm, 폭 30 cm 포트 (pot)에 충진하였다. 안정화제 복합처리구는 석회 1% + 퇴비 3% (L.M + C.P), 석회 1% + 석고 3% (L.M + G.S), 석회 1% + 폐버섯배지 3% (L.M + S.M.C), 희석토양 25% + 석회 1% (S.C + L.M), 희석토양 25% + 석회 1% + 퇴비 3% (S.C + L.M + C.P)로 구성하였다. 쪽파 재배 실험은 안정화제 처리 후 2년이 경과한 시점에 각 처리구별로 3반복 (3개의 포트)으로 실시하였다.
쪽파 (Allium wakegi Araki)는 육묘장에서 1달 정도 재배한 것을 이용하였고, 각 포트당 3대의 쪽파를 2016년 8월 3일에 정식하였다. 쪽파 재배는 관행 농법에 따라 비료를 시비하고 정식한 후 필요한 제초작업을 해주며 관수는 이틀에 한번 점적관수를 실시하였고 2016년 11월 24일에 분석을 위한 시료채취를 하였다.
토양 및 식물체 분석 쪽파는 식물 전체를 수확하여 뿌리 부분과 표피를 제거하고 수돗물과 증류수로 세척하였다. 이 후 70°C 오븐에서 72시간 동안 건조시켜 분쇄하여 분석용 시료로 이용하였다. 토양시료는 포트의 전층을 포함시키기 위해서 토양시료채취 장비인 오거 (auger)를 사용하여 포트 내 전층을 채취하였으며, 채취한 토양은 풍건한 후 2 mm 체로 걸러서 분석에 이용하였다.
토양 pH는 토양과 증류수를 1:5의 비율로 1시간 교반 후 pH 측정기 (MP220, Mettler Toledo, Switzerland)로 측정하였다. 토양의 용존유기탄소 (DOC)는 50 mL 시험관에 풍건한 토양시료 5 g과 증류수 25 mL를 넣어 1시간 동안 교반하여 3000 rpm에서 원심분리한 후 유리섬유 필터 (< 0.45 µm)로 여과하고 TOC 분석기 (2100S, Analytik Jena, Germany)로 측정했다. 쪽파의 중금속 농도를 측정하기 위해서 1 g의 건조시료와 진한 질산 9 mL, 과염소산 2 mL을 분해관에 넣고 흑연블럭분해기 (OD-98-001, ODLAB, Korea)로 완전 분해하여 syringe filter (0.45 µm)로 여과한 후 용액 중 중금속의 함량을 ICP-OES (8300DV, Perkin Elmer, USA)로 측정하였다. 표준시료 (1570a trace elements in Spinach, National Institut of Standards & Technology)와 공시료 (blank)를 동시에 분해하여 분해과정을 검정하였다.
데이터 분석 실험 결과는 무처리구를 포함한 12개 시험구의 3반복 실험 결과에서 평균값과 표준편차를 도출하여 그래프를 작성하였다. 처리별 유의성 분석은 SAS 프로그램 (SAS version 9.1, SAS Inc., USA)을 이용한 분산분석 (ANOVA)을 통해 12개 시험구의 토양 pH, 용존유기탄소 (DOC), 쪽파의 As, Cd, Pb 농도가 처리별로 유의한 차이가 있는지 확인하였다.
Results and Discussion
토양 pH와 용존유기탄소 (DOC) 변화 각각의 안정화제 처리 후 쪽파를 재배한 토양의 pH 평균값을 비교해 보았을 때 석고 단일 처리구를 제외하고는 모든 처리구에서 무처리구보다 높은 수치를 보였으며 (p < 0.05), pH 증가를 목적으로 처리한 석회 처리구의 경우 무처리구 (6.0)보다 1.5 높은 7.5를 나타냈다 (Fig. 1). 반면 석고 (CaSO4․2H2O)는 석회와 같이 Ca이 토양에 공급되어 pH가 증가 할수 있으나 동시에 SO4가 공급되어 pH가 증가하지 않은 것으로 판단된다. 토양 중 중금속의 식물유효도에 가장 크게 영향을 미치는 단일 환경인자는 토양 pH라는 것이 이미 많은 문헌들을 통해서 입증되었으며 (Cheng and Hseu, 2002; Kim et al., 2007; Hong et al., 2009), 본 연구에서도 석회를 포함한 여러 안정화제 처리에 의해서 변화한 pH가 추후 쪽파의 중금속의 축척농도에 영향을 미칠 것으로 판단되었다.
용존유기탄소 (DOC)는 무처리구 102.7 mg kg-1에 비해 폐버섯배지, 바이오차, 퇴비 처리구에서 각각 133 mg kg-1, 118 mg kg-1, 113 mg kg-1으로 증가하였는데 이는 유기물 또는 유기탄소 투입에 의해 토양용액 내 용존유기탄소가 증가한 것으로 판단된다. 반면 석고를 처리한 모든 처리구는 석고 68 mg kg-1, 석고 + 석회 64 mg kg-1로 무처리구에 비해 모두 용존유기탄소가 감소하였다. 이는 석고에 의해 용존유기탄소가 응집 (coagulation)되어 감소한 것으로 보여 진다 (Park et al., 2005; Song et al., 2005; Kim et al., 2016). 용존유기탄소의 농도가 토양 중 중금속 유효도에 영향을 미친다는 다양한 선행연구 결과를 바탕으로 석고 처리에 의한 용존유기탄소 감소가 토양 pH 변화와 더불어 쪽파의 중금속 축척 농도에 영향을 미칠 것으로 판단되었다.
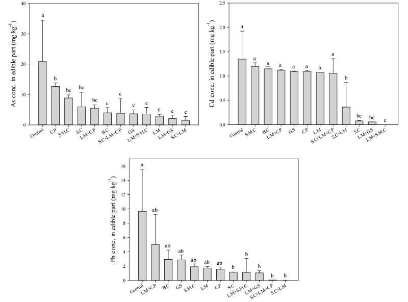
쪽파의 As, Cd, Pb 축적농도 현재 우리나라의 쪽파 중금속 축척 농도 기준 (생체중 기준)은 Cd 0.05 mg kg-1, Pb 0.1 mg kg-1이다 (MFDS, 2009). 본 연구의 무처리구에서 재배한 쪽파 중금속 농도 (건물중 기준)는 Cd 1.3 mg kg-1, Pb 10 mg kg-1이었는데, 이를 쪽파 수분 함량 (90%)을 고려하여 생체중 기준으로 계산하면 Cd 0.13 mg kg-1, Pb 1.0 mg kg-1으로 나와 기준보다 카드뮴은 약 2.6배, 납은 약 10배 높게 축척된 것으로 확인되었다 (Fig. 2). 또한 무처리구 재배 쪽파의 As 함량 (건물중 기준)은 20.8 mg kg-1으로 Choi et al. (2010)의 연구에서 조사되었던 우리나라 일반 농경지에서 재배되는 쪽파의 As 함량인 0.03 mg kg-1보다 약 700배 높게 나타났다 (Fig. 2).
단일 안정화제 처리에 의한 쪽파의 중 (준)금속 (비소, 카드뮴, 납) 축척량을 보면 희석 처리구에서 재배한 쪽파의 카드뮴 함량을 제외하고는 무처리구에 비해서 감소하였으며, 감소 정도는 중 (준)금속 종류에 따라 차이는 있으나 석회 > 석고 > 퇴비 > 바이오차 > 폐버섯배지 순이었다. 석회 처리구에서는 pH 상승 효과와 더불어 석회에서 공급된 Ca이 준금속인 As와 As-Ca complexes를 형성함에 따라 (Kumpiene et al., 2008) 다른 처리구 보다 높은 저감효과를 나타낸 것으로 보이며, 무처리에 비해 쪽파의 As, Cd, Pb 함량이 각각 86%, 20%, 82% 저감하였다. 반면 폐버섯배지 처리구는 토양 pH 상승 효과는 있었지만, 다른 처리구에 비해 As와 Cd 저감효과가 상대적으로 낮았다 (As 57%, Cd 11%, Pb 80%). 이는 용존유기탄소에 따른 영향으로 보여진다. 일반적으로 용존유기탄소는 음으로 하전되는 가변전하를 가지기 때문에 토양교질 및 유기성 콜로이드와 반발력이 발생하여 DOC-중금속 형태의 토양수에 용존하는 중금속의 농도를 증가시킨다 (Hartley et al., 2010; Kim et al., 2010). 따라서 폐버섯배지 처리에 의해 토양 pH는 높아졌으나, 동시에 DOC도 상승하여 중 (준)금속 흡수 저감 효과가 다른 처리구에 비해 상대적으로 낮았던 것으로 판단된다. 바이오차와 퇴비 처리구에서도 무처리구보다 토양 pH와 DOC가 모두 증가하였으나, 폐버섯배지 처리구보다 상대적으로 토양 pH가 높고 DOC 농도가 낮은 것으로 나타나 중 (준)금속 안정화 효과가 폐버섯배지보다 높게 나타났다. 석고 처리구에서는 무처리구와 토양 pH가 비슷한 수준이었으나 쪽파의 중금속 축척 농도가 무처리구 대비 As 82%, Cd 19%, Pb 70% 감소한 것을 볼 수 있는데, 이는 석고가 용존유기탄소의 응집 (coagulation)을 유도하여 DOC-중 (준)금속 형태로 용존하는 중 (준)금속의 유효태 농도를 감소시켰기 때문으로 볼 수 있다. 각 단일 처리를 비교해 본 결과 석회와 석고 처리에서 쪽파의 중금속 축척 농도가 낮았다. 그러나 만약 오염토양의 pH가 이미 7 이상일 경우에는 석회 처리가 작물 생육에 지장을 줄 수 있을 정도로 토양 pH를 증가시킬 수 있으므로 석고를 처리하여 중 (준)금속의 유효태 농도를 저감시키는 것이 효과적일 것으로 판단된다.
복합 처리구에 의한 쪽파의 중금속 축적농도는 모두 대조구보다 낮았다. 특히 석고 + 석회 처리구는 토양 pH 상승 및 용존유기탄소 감소 현상이 동시에 나타나 중 (준)금속의 유효태 농도 저감에 매우 효과적인 결과로 나타났다. 퇴비나 폐버섯배지가 포함된 복합 처리구에서는 이들 안정화제를 단일로 처리한 시험구 보다는 축척농도가 감소는 하였으나 다른 복합처리구에 비해서는 축척농도가 다소 높게 나타났다. 희석 처리구에서도 무처리구와 비교해서 쪽파의 중 (준)금속 축척농도가 저감되는 것을 확인하였으며, 희석 + 석회 처리구는 쪽파의 As, Cd, Pb 농도가 전체 처리구 중 가장 낮은 수준을 나타냈다.
결론적으로 무처리구에 비해 안정화제 처리구의 쪽파 중금속 축적농도가 감소하였으며, 작물의 중금속 축적농도와 직결되는 토양의 중 (준)금속 유효도는 토양 pH 증가와 용존유기탄소 (DOC) 농도 감소로 저감시킬 수 있는 것으로 판단되었다. 그리고 안정화제를 단일로 처리하는 것 보다 복합으로 처리하는 것이 효과적인 것으로 나타나 석회 + 석고, 희석 + 석회 처리구에서 쪽파의 중 (준)금속 축척농도가 가장 낮은 수준이었다.
안전한 농산물을 생산하기 위한 안정화제 중 석회와 같이 pH를 증가시킬수 있는 안정화제들은 현재까지 많은 연구가 진행되어 왔다. 그러나 본 연구에서 보여준 석고와 같이 토양용액 내 용존유기탄소 (DOC)를 저감시켜 중 (준)금속의 유효태 농도를 감소시킬 수 있는 안정화제들의 연구는 아직 부족하므로 본 연구를 바탕으로 석고뿐 아니라 용존유기탄소의 농도를 감소시킬 수 있는 다양한 안정화제에 관한 연구 및 개발이 이루어질 필요가 있다.
Conclusions
금속광산의 영향으로 중금속으로 오염된 농경지에서 안전한 농산물을 생산하기 위해 유효도 개념을 도입하고 중금속 유효도를 낮출 수 있는 안정화제 처리가 필요하다. 다양한 안정화제를 토양에 처리한 후 재배한 쪽파의 중금속 축적농도를 측정한 결과 토양 pH 증가를 유도하는 석회나 용존유기탄소의 농도를 감소시켜 중 (준)금속의 유효태 농도를 감소시키는 석고가 작물의 중금속 축적농도 저감에 효과적이었다. 더욱이 석회와 석고를 동시에 처리하였을 때 고농도로 오염된 토양에서도 쪽파의 카드뮴과 납 축적농도가 농산물 허용기준치에 준하는 수준까지 낮아졌다. 본 연구의 결과는 pH 증가를 유도하는 석회와 용존유기탄소 (DOC) 감소를 유도하는 석고와 같은 안정화제를 안전한 농산물을 생산하기 위한 실용 기술로 활용할 수 있음을 시사한다.






