Introduction
Materials and Methods
조사 대상 지점 선정 및 시료채취 방법
토양시료 전처리 및 화학성분 분석방법
Results and Discussion
연도별 과수원 토양 화학성분 변화
토양화학성 적정 분포 비율
Conclusions
Introduction
경북지역 과수원 면적은 우리나라 과수원 면적 158,830 ha 대비 52,695 ha로 약 30%를 차지하며 (KOSIS, 2024), 경북은 우리나라 과수 생산량 1,918,343 ton 중 582,700 ton을 생산하는 우리나라 주요 과수 생산지이다. 전국 과수 생산량의 50% 이상을 차지하는 경북지역 주요 생산 과수는 사과, 복숭아, 포도 등이 있다 (KOSIS, 2023). 과수는 영년생이기 때문에 노지 채소와 다르게 1년마다 갱신하거나 새로 파종할 수 없어 생육 초기의 토양환경 조성이 매우 중요하다 (Kim et al., 2024). 또한 토양 중 유기물 함량이 높은 토양의 경우 완충능력이 있어 화학성이 쉽게 변하지 않아 적정범위를 벗어나면 되돌리기 어려울 수 있으며, 과수원의 토양화학성 및 양분관리는 과실의 품질 및 생리장해와 밀접한 관련이 있어 초기 재배지 선정과 시비 관리는 작물 생산성을 확보와 과일의 품질향상에 중요한 요인으로 작용한다 (Han, 2006; Kim et al., 2021). 또한 복숭아 엽의 질소 함량은 토양 유기물 함량과 유의한 양의 상관관계를 나타냈고, 토양화학성은 복숭아 수체와 생육에 직접적으로 영향을 미치는 것으로 보고되었다 (Lee et al., 2024). 이처럼 과수 생장은 토양 화학성과 밀접하게 연관되어 있으므로, 정기적 모니터링과 토양검정을 통한 시비 처방이 필수적이다. 우리나라는 1964 - 1968년에 ‘토양비옥도 조사’ 사업을 통해 체계적인 토양검정을 도입하였고, 1998년에 토양비옥도 데이터베이스를 구축하였다. 이어 1999년부터는 ‘농업환경변동 모니터링’ 사업을 시작하여, 현재까지 4년 주기로 토양화학성 등을 조사하고 있다 (RDA, 2009). 따라서 본 연구에서는 경북지역의 과수원 토양을 2002년부터 2022년까지 4년 주기별 300개 지점을 대상으로 표토와 심토에 따른 토양화학성 차이를 조사 및 분석하였다.
Materials and Methods
조사 대상 지점 선정 및 시료채취 방법
경북지역 과수원 토양의 화학성분 변동을 주기적으로 파악하기 위해서 토양 유형, 지형 및 분포면적 비율을 기준으로 경산 42, 구미 6, 군위 26, 김천 28, 문경 14, 상주 20, 안동 13, 영주 13, 영천 29, 예천 14, 의성 16, 청도 42, 청송 30, 포항 7 등 300지점을 선정하였으며, 대상 과수는 감, 단감, 대추, 배, 복숭아, 사과, 자두 및 포도이며 2002년부터 2022년까지 4년 주기로 조사를 하였다. 또한 시료채취지점은 평균적으로 지점수의 5% 미만이 변경되었다. 토양은 4월에서 5월에 채취하였으며 분석에 사용하는 토양시료는 표토 (0 - 20 cm) 및 심토 (20 - 40 cm)로 구분하여 500 g을 3 반복으로 채취하였다.
토양시료 전처리 및 화학성분 분석방법
채취한 토양은 실험실에서 7일간 풍건하여 2 mm 체를 통과한 것을 사용하였으며, 화학성분 분석은 농촌진흥청 농업과학기술 연구조사분석기준 (NAAS, 2010)을 적용하여 pH는 토양과 증류수의 비율을 1:5로 추출하여 pH meter (Orion Star Azll pH meter, Thermo Scientific, Indonesia)로 측정하였고, EC는 전기전도도측정기 (Orion 3 Star Conductivity Benchtop, Thermo Scientific, Singapore)를 이용하여 측정하였다. 유기물은 Tyurin 법으로 적정하였으며, 유효인산은 Lancaster법으로 실험하여 분광광도계 (Cary 300 UV-Vis Agilent Technologis, Malaysia)로 측정하였다. 교환성 칼륨, 칼슘, 마그네슘 등의 양이온은 암모늄아세테이트 (CH3COONH4) 침출법으로 실험하여 ICP (Optima 8300, PerkinElmer, USA)로 분석하였다. 토양화학성 분석 결과는 R 프로그램 (버전 4.5.1, 2025)을 이용하여 상관분석을 실시하여 통계처리를 하였다.
Results and Discussion
연도별 과수원 토양 화학성분 변화
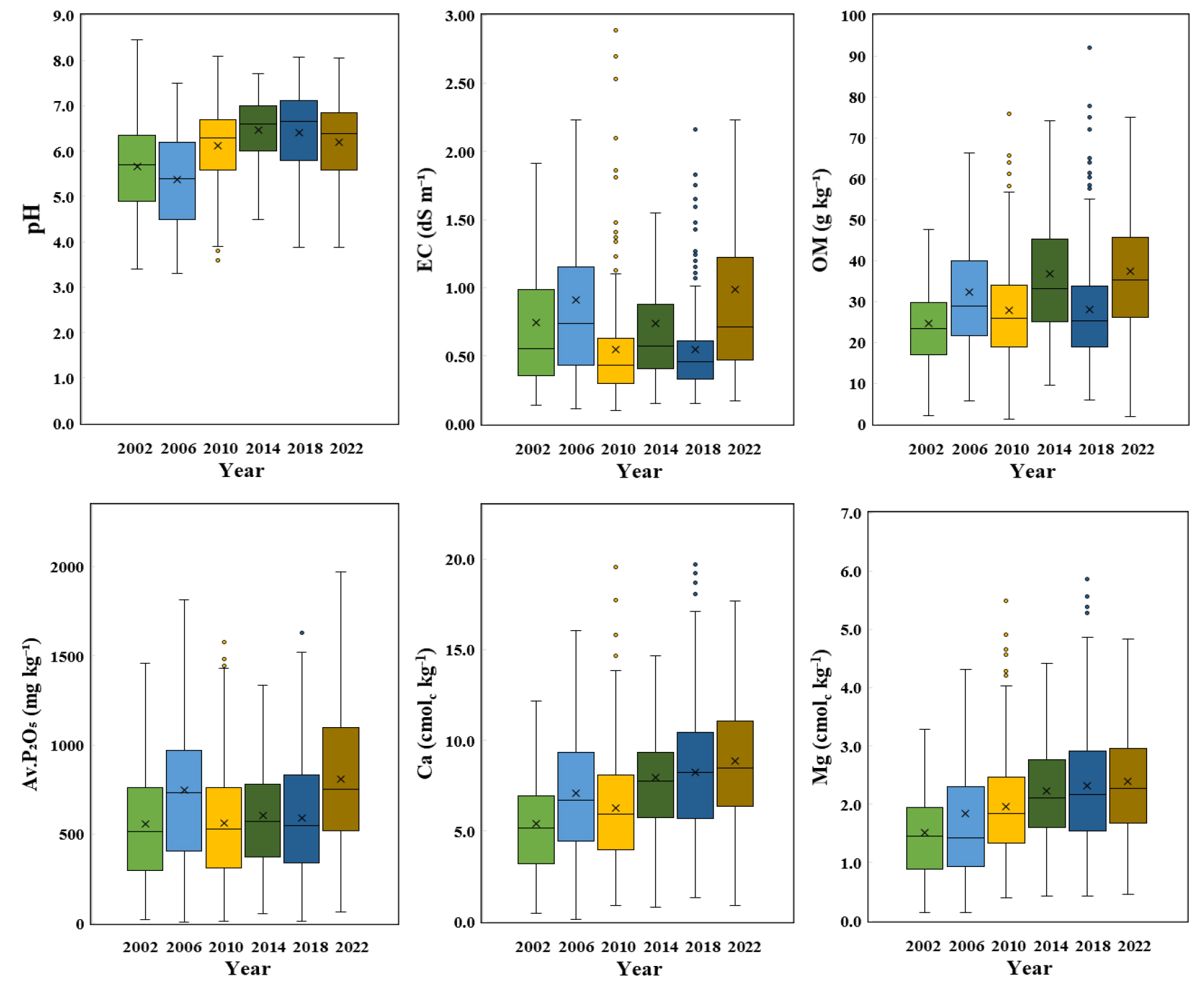
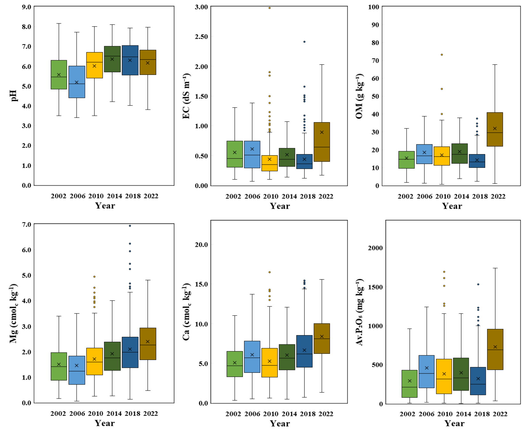
경북지역 과수원의 표토 및 심토의 화학성분 평균 함량 변동은 Fig. 1 및 Fig. 2와 같다. 표토의 경우 심토에 비해 화학성분 함량이 높은 경향을 보였다. 표토의 토양 pH 평균값은 2002년에서 2006년은 5.7에서 5.4로 감소하였고, 2010년에서 2018은 6.1에서 6.4로 증가했으며, 2022년에는 다시 6.2 수준으로 감소하는 경향이 보였으며 2010년부터 표토와 심토에서 적정수준인 6 - 7을 만족하는 것을 확인했다(NAS, 2019). 표토에서 교환성 Ca의 경우 2002년을 제외하고는 계속 적정수준 (5.0 - 6.0 cmolc kg-1)을 초과하였고, 심토에서는 2014년까지는 적정수준이었으나 이후 초과하였다. 교환성 Mg는 표토에서 2014년부터 적정수준 (1.5 - 2.0 cmolc kg-1)을 초과하였고, 심토에서는 2018년부터 기준을 초과하였다. pH와 교환성 Ca 및 Mg의 관계를 확인하기 위해 상관분석을 진행하여 Table 1에 상관계수를 제시하였다. 분석 결과 pH와 교환성 Ca, pH와 교환성 Mg 간에 높은 양의 상관관계가 관찰되었으며, p < 0.01의 고도로 유의한 차이를 보였고, 이는 토양 pH가 증가에 교환성 Ca와 Mg의 함량이 영향이 미치는 것을 나타내며, 이러한 결과는 2008년 이후 농림축산식품부의 토양개량제로 사용되는 석회 공급 확대가 토양 pH 상승에 일정 부분 기여했을 가능성을 시사한다(Lee et al., 2010). EC의 경우 표토와 심토에서 2002년부터 2022년까지 평균값이 0.6 - 1.0 dS m-1 사이를 유지하였고 이는 적정수준인 2 dS m-1이하 안에 들어오는 것을 확인했다. 심토의 유효인산 평균은 적정 수준 (300 - 550 mg kg-1)이었으나, 과수원 표토는 2006년과 2022년에 각각 746과 810 mg kg-1까지 증가하였고, 다른 연도에도 559 - 604 mg kg-1을 유지하여 20년 동안 적정 수준의 상한값 (550 mg kg-1)을 지속적으로 초과하였다. 이러한 결과는 과수원에서의 정기적인 인산질 비료 시용에 의한 표토층 인산 축적을 시사한다. 또한 Fig. 1에서 2006년과 2022년에 유기물 함량이 증가한 것으로 보아, 퇴비 시용이 유효인산 농도 증가에 기여했을 가능성이 있다. 일반적으로 퇴비에는 상당량의 인산이 함유되어 있어 무기질비료 와 함께 토양 인산 축적의 주요 원인으로 작용할 수 있다 (Shen et al., 2011). 유효인산의 과다 축적은 작물 생육에는 직접적인 저해 효과를 미치지 않으나, 환경적 측면에서는 토양으로부터 인의 용탈 시 수계 부영양화를 유발할 수 있는 잠재적 위험성을 내포하고 있다 (Kim et al., 2002). 유기물의 경우 표토가 심토에 비해 평균값이 높았으며 심토는 2002년에서 2018년까지 유기물 함량 평균값이 적정수준 (20 - 30 g kg-1)보다 낮은 것을 확인했으며 2022년에는 32 g kg-1로 초과하였다.

Fig. 1
Chemical properties of orchard topsoil in Gyeong-buk province from 2002 to 2022 (n = 300). The boxes represent interquartile ranges (IQRs), horizontal lines and × marks within the boxes indicate the median and average value, respectively, and uppermost and lowermost whiskers indicate the 75% plus 1.5 IQR and the 25% minus 1.5 IQR, respectively. Bar means max and min value, excluding outliers.

Fig. 2
Chemical properties of orchard subsoil in Gyeong-buk province from 2002 to 2022 (n = 300). The boxes represent interquartile ranges (IQRs), horizontal lines and × marks within the boxes indicate the median and average value, respectively, and uppermost and lowermost whiskers indicate the 75% plus 1.5 IQR and the 25% minus 1.5 IQR, respectively. Bar means max and min value, excluding outliers.
Table 1
Correlation coefficients between soil pH and exchangeable cations (Ca and Mg) in orchard soils of Gyeong-buk province from 2002 to 2022.
| 2002 | 2006 | 2010 | 2014 | 2018 | 2022 | |||||||
| TS1 | SS2 | TS | SS | TS | SS | TS | SS | TS | SS | TS | SS | |
| Ca | 0.68 | 0.72** | 0.64** | 0.65** | 0.62 | 0.53** | 0.63** | 0.61 | 0.73** | 0.58 | 0.49** | 0.49** |
| Mg | 0.44** | 0.57** | 0.45** | 0.46** | 0.36** | 0.33** | 0.46** | 0.45** | 0.48** | 0.38** | 0.29** | 0.26** |
토양화학성 적정 분포 비율
경북지역 과수원 표토 및 심토의 화학성분 적정 수준에 범위 안에 해당하는 분포 비율은 Fig. 3 및 Fig. 4와 같다. 과수 뿌리는 대부분 50 cm에 분포하지만 100 cm 까지도 분포한다 (Ricardo et al., 2023). 따라서 표토뿐만 아니라 심토의 화학성분이 적정수준인 것이 중요하다. EC는 2002년에서 2018년까지 표토와 심토에서 99%의 지점이 적정수준에 해당했으나, 2022년은 92% 지점이 적정수준을 만족했다. 유기물의 경우 심토에서 적정수준 미만인 지점의 비율이 높아졌고, pH는 표토와 심토에서 거의 비슷한 경향을 보였다. 유효인산 및 교환성양이온은 같은 연도에서 표토에 비해 심토가 적정수준을 미만인 지점의 비율이 높았다. 교환성 Ca는 2002년에 비해 2022년 적정수준을 초과하는 지점의 비율이 31%에서 77%로 증가했다. 해당 결과는 Figs. 1 - 2에서 나타난 pH 평균 상승과 교환성 Ca, Mg 증가와 유사한 경향을 보였으며, 앞서 기술한 토양개량제 공급량 확대가 적정 수준 충족 비율에도 영향을 미쳤음을 보여준다. 또한 Fig. 4에 따르면, 교환성 K와 Mg의 적정수준 미만 지점 비율은 2022년까지 감소하였으며, 이는 과수원의 양분 결핍 완화를 시사한다. 하지만 심토에서는 적정수준 미만 지점 비율이 23 - 40% 였으며, 기준 미만인 지점의 경우 토양검정으로 적정량을 시비 하지 않을 경우 양분 결핍으로 과수에 영향을 미칠 것으로 예측이 되었다.
Conclusions
2002년부터 2022년까지 경북지역 과수원 300지점에 대해 표토와 심토를 조사한 결과 표토에 비해 심토에서 적정수준 미만인 지점이 많았다. 그리고 2002년에 비해 2022년에는 대부분의 토양 화학성분의 평균값이 증가하는 경향이 나타났으며, 특히 2022년은 적정수준을 초과하는 지점이 유의하게 증가하였다. 따라서 지속가능한 과수 생산을 위해서는 적정수준을 초과하는 양분의 과다 투입을 방지하기 위한 토양검정 기반 정밀시비 체계 도입과 더불어, 토양 화학성 변화를 지속적으로 추적할 수 있는 정기적인 토양 모니터링 체계 구축이 필수적이다. 또한 이러한 연구 성과는 경북지역 과수원 토양의 장기적 변화 양상에 대한 과학적 근거를 제시함으로써 과수 연구자 및 재배 농업인에게 중요한 기초 자료로 활용될 것으로 기대된다.





