Introduction
Material and Method
토양 시료 채취
포트 재배 시험
토양 이화학적 특성 분석
통계 분석
Result and Discussion
토양 개량제 특성 및 처리량
공시 토양 특성 분석 결과
토양 개량제 처리 후 토양 특성 변화
토양 내 교환성 양이온 함량 변화
토양 내 Na+ 저감
작물 생중량 분석 결과
토양 특성 및 작물 생중량 간의 상관관계 분석
Conclusion
Introduction
우리나라는 지속적인 산업화와 농업 생산 활동 인구 감소로 인해 농지의 면적이 꾸준히 감소하고 있어 미래의 식량안보에 영향을 미칠 수 있다 (Lee et al., 2021). 이러한 문제의 해결 방안 중 하나로 간척지 사업이 추진되어 왔는데, 1963년 동진강 간척지 4,000 ha에 대한 개발이 시작되었고, 현재까지 조성된 간척지의 면적은 총 13만 5천 ha 이며 (Kang et al., 2023), 이는 우리나라 농경지 총면적인 약 151만 ha (Statistics, 2023)의 8%에 해당한다.
간척지는 해수의 영향으로 염분 함량이 높은 특성을 가지며 (Qadir et al., 2006), 인공적인 개량 없이 자연 침출에만 의존할 경우, 토양 내 염류를 제거하고 경작 가능한 토양으로 회복되기까지 수십 년 이상의 기간이 소요될 수 있다 (Chen et al., 2025). 이와 같은 조건으로 인해 일반적으로 간척지 토양에서는 담수 재배가 이루어지고 있다. 하지만 쌀 소비량이 감소하고 생산량 과잉 상태가 매년 지속되고 있으며 (Lee and Kim 2024; Lee et al., 2025), 논에서 발생하는 메탄가스 (CH4)는 기후변화 유발 요인으로 작용하는 문제가 발생하고 있다 (Kaur et al., 2024). 이에 따라 우리나라는 새만금 간척지 농생명권역을 콩, 밀, 옥수수 등 식량작물을 재배하는 복합곡물단지로 계획하고 있다 (Jung et al., 2018). 하지만 간척지 토양은 pH가 높고 유기물과 점토 함량이 낮아 양이온 교환 능력이 떨어지며, Mg2+, Na+의 함량이 높고 Ca2+, K+, P2O5, N 등은 부족해 기초적인 양분 성분이 부족하다. 이와 같은 화학성의 영향으로 간척지 토양은 토양 입단 형성 및 통기성 불량, 물리성 악화로 인한 입단 발달 저해 등의 문제점을 가진다 (Al-Soghir et al., 2022; Seo et al., 2023). 특히 높은 Na+의 농도는 토양간 반발력을 증가시켜 작물 생육을 억제하는 원인 중 하나로 지적된다 (Lee et al., 2016; Lee et al., 2020). 물리성이 불량한 토양에서는 식물의 뿌리 발달이 억제되고, 식물생장이 저해된다 (Eavis, 1972). 따라서 간척지 토양을 밭 작물 생육이 가능한 농경지로 사용하기 위해서는 물리·화학적 개량이 병행되어야 하며, 이를 위해 다양한 토양 개량제가 활용되고 있다 (Lee and Yun, 2014).
간척지 토양을 개량하기 위해 제염 효과가 있는 석고를 사용하여 Na+ 함량과 Exchangeable Sodium Percentage (ESP)를 감소시키고 (Mao et al., 2016), 유기물 보충을 위한 퇴비, 볏짚, 가축분 등 유기물 도입 시 유기물 함량, 양이온교환능력 및 미생물 다양성이 증가하는 것으로 보고된 바 있다 (Park et al., 2016), 최근에는 황산철, 퇴비, 미생물제 등을 활용하거나 유기·무기 복합 개량제를 적용한 연구도 수행되고 있다 (Faccini et al., 2018; Liu et al., 2023; Zhang et al., 2025).
하지만 현재까지 간척지를 밭 토양으로 숙전화 할 수 있는 효과적인 방안은 충분히 확립되지 않았으며, 더 많은 연구를 필요로 하고 있다. 따라서 본 연구는 다양한 토양 개량제의 단독 및 복합 처리한 포트실험을 통해 간척지 토양의 물리·화학성 개선 및 작물 생산성을 평가하고, 효과적인 간척지 개량 방안을 모색하고자 수행되었다.
Material and Method
토양 시료 채취
포트 재배 시험을 위한 토양 시료는 전라북도 군산시, 김제시, 부안군 일원의 새만금 간척지에 위치한 6공구 (35°48'17.5"N 126°39'24.3"E)에서 채취하였다. 토양 시료 채취 방법은 토양 표면의 유기물 층을 제거한 뒤 표토 (0 - 15 cm)를 삽 (drain spade)을 이용하여 채취하였다. 토양 시료 채취 시, 균질성을 위해 중심 지점과 4방위 (5 m) 지점에서 포트 재배에 필요한 시료 300 kg을 채취하여 연구실로 옮겨 풍건 시킨 후 재배 시험에 활용하였다.
포트 재배 시험
시험에 사용된 개량제는 총 7가지로 코코피트 (cocopeat, CO), 블랙피트 (blackpeat, BK), 연질왕겨 (soft rice husk, SRH), 바이오차 (biochar, BC), 부산석고 (gypsum, GS), 제올라이트 (zeolite, ZEO), 하이드로겔 (hydrogel, HG)을 사용하였다. 처리구는 유기물 개량제를 단독으로 처리하였을 때 물리화학성 개선을 비교하기 위한 CO, BK, SRH 단독 처리구와 각 유기물 개량제에 ZEO, HG을 복합처리 하였을 때 효과 증진 정도를 비교하기 위한 복합 처리구로 구성되며, Wagner pot (1:5,000 a)에 풍건 토양 (<5.0 mm)을 6.0 kg씩 넣고, 선별한 개량제와 시비량에 따라 3반복으로 진행하였다. 이와 관련된 내용은 Table 1에 정리하였다. 모든 처리구에는 검정 시비량 (NPK, N:8 kg 10a-1, P: 17.3 kg 10a-1, K: 3 kg 10a-1)으로 무기질비료를 시비하였다. 시험에 활용한 작물은 국립종자원에서 제공하는 ‘대원’ 콩 (Glycine max (L) Mett) 종자를 활용하였으며, 생장량을 비교하기 위해 17 주 후 줄기와 꼬투리를 분리하여 생육 조사를 하였다. 처리구 간 비교를 위한 지표로써 콩 개수, 콩 생중량을 측정하였다. 콩의 개수는 수확한 종실의 개수를 측정하였고 생중량은 수확한 종실들의 무게를 더한 값이며, 두 값 모두 미숙립을 제외하고 완전립만을 측정하였다.
Table 1
Applied amounts of soil amendments in each treatment.
토양 이화학적 특성 분석
토양의 이화학적 특성 분석을 위해 채취한 토양을 풍건 후 2 mm 표준체로 체거름하여 분석에 사용하였으며, 분석 방법은 농촌진흥청 토양 및 식물체 분석법 (NIAST, 2000)에 준하여 분석하였다. 토성 분석은 2 mm 건조 토양을 분산제와 혼합하여 교반 후 비중계법 (hydrometer method)을 활용하여 산정하였다. 토양의 pH와 전기전도도 (electrical conductivity, EC)는 2 mm 건조 토양 시료와 증류수를 1:5 (w/v)로 혼합하여 진탕기 (JSOS-500, JSR, Tokyo, Japan) 150 rpm에서 30분 진탕한 후 각각 pH meter (Orion StarTM A111, Thermo Fisher Scientific, Waltham, MA, USA)와 EC meter (SevenCompactTM Conductivity Meter S230, Mettler Toledo, Columbus, OH, USA)를 이용하여 측정하였으며, EC는 희석배수를 고려하여 산출하였다. 토양 유기물 함량 (Soil organic matter, SOM)은 Walkley-Black법으로 측정하였으며, 토양의 유효인산 함량은 Bray No.1 법으로 추출하여 UV/Vis Spectrophotometer (UV-1800, Shimadzu, Kyoto, Japan)로 비색 정량 하였다. 토양의 양이온교환용량 (Cation Exchange Capacity, CEC)과 교환성양이온 (Exchangeable cation, Ex. cation)은 1M-Ammonium acetate (pH 7.0)로 추출하여 ICP-OES (iCAP PRO X ICP-OES Duo, Thermo Fisher Scientific, Waltham, MA, USA)로 측정하였다. 또한, 측정한 양이온교환용량 및 교환성양이온 값과 아래 Eqs. 1, 2를 통해 나트륨 흡착비 (Sodium adsorption ratio, SAR)와 교환성나트륨퍼센트 (Exchangeable Sodium Percentage, ESP)를 산출하였다.
통계 분석
모든 처리구는 3회 반복으로 진행하였으며, 분석 실험은 3회 반복 수행하여 평균값과 표준편차를 표시하였다. 또한, 데이터의 평균 비교를 위해 statistical package for social science (SPSS) version 26.0 (SPSS Inc., Chicago, IL, USA)을 이용하여 일원배치 분산분석 (one way ANOVA)을 95% 수준의 신뢰성으로 검증하였으며, 사후분석 (Duncun)을 진행하였다. 토양 특성과 작물 생산량의 상관 관계 분석은 spearman 상관계수 분석을 통해 p < 0.05 또는 p < 0.01 값의 인자를 선별하여 유의성을 평가하였다.
Result and Discussion
토양 개량제 특성 및 처리량
본 연구에 사용된 토양 개량제는 유기물 개량제인 코코피트 (Cocopeat, CO) 블랙피트 (Blackpeat, BK) 연질 왕겨 (Soft rice husk, SRH)와 물리성 개량제인 부산 석고 (Gypsum, GS), 바이오차 (Biochar, BC), 제올라이트 (Zeolite, ZEO), 하이드로겔 (Hydrogel, HG)로 구분된다. CO는 낮은 용적밀도 (0.1g cm-1), 높은 수분 함량 (58%)과 탄소 함량 (49%)을 나타내어 물리성 및 유기물 개선 효과가 기대된다. BK는 장기간 고도로 부숙된 피트로 pH가 4.2인 산성 개량제이며, 비교적 높은 용적밀도 (0.59 g cm-1)값을 가지며 질소 함량 (4.8%)이 다른 바이오차 원료보다 높아 C/N (8.0) 비가 낮은 특성이 있다. 따라서 초기 분해 시 토양 산성화를 유발할 가능성이 있으며, 단기간 내 질소 공급원으로 기능할 수 있다. SRH는 볏 껍질과 같은 식물 섬유 잔사를 원료로 하여, 알칼리 용액에 담그는 등의 연질화를 거쳐 제조된 토양개량제로 중성에 가까운 pH 6.6, C/N비 19.8, 용적밀도 (0.1 g cm-1)의 특성을 보이며, 토양의 통기성과 구조 개선에 긍정적인 영향을 미칠 것으로 예상된다. 각각의 탄소함량은 38.5%, 39.5%로 유기물 함량 증가 효과를 기대하였다. 물리성 개량제인 BC는 목재 바이오매스로 만들어졌으며, 강한 알칼리성 (pH 9.3) 및 높은 CEC (30.2 cmol kg-1)을 나타냈으며 ZEO 역시 높은 CEC (20.3 cmol kg-1) 특성으로 토양 이온 교환능 향상을 기대했다. GS는 낮은 EC (0.01 ds m-1)와 pH (2.91)을 나타냈고 반고체 (Semisolid)형태의 물질인 HG은 99% 수분함량과 0.95 g cm-1의 용적 밀도로 수분 유지에 뛰어난 개량제로 판단된다. 각 개량제의 물리·화학적 특성은 Table 2에 정리하였다.
Table 2
Characteristics of soil amendments used in this experiment.
|
Bulk density |
Water contents | pH | EC | CEC | C | N | C/N | P | ||
| (g cm-3) | (%) | (1:5) | (dS m-1) | (cmolc kg-1) | (%) | (%) | (%) | |||
| Organics | CO1 | 0.10 | 58.0 | 6.0 | 0.5 | 17.7 | 49.0 | 0.06 | ||
| BK | 0.59 | 50.1 | 4.2 | 0.2 | 14.9 | 38.5 | 4.8 | 8.0 | 0.10 | |
| SRH | 0.10 | 6.6 | 0.1 | 10.7 | 39.5 | 2 | 19.8 | 0.09 | ||
| Inorganics | BC | 0.15 | 64.2 | 9.3 | 3.2 | 30.2 | ||||
| GS | 2.91 | 0.01 | ||||||||
| ZEO | 0.85 | 13.1 | 9.5 | 0.4 | 20.3 | |||||
| HG | 0.95 | 99.0 | 5.7 | 0.8 | 0.9 |
유기물 개량제의 시용은 선행 연구 및 문헌 자료와 경제성을 고려하여 퇴비 2 ton 10a-1을 기준으로 산출하였다 (National Academy of Agricultural Science, 2010). Yi et al. (2019)의 선행 연구에 따르면, 밭토양에서 BC의 적정 사용량을 200 kg 10a-1로 보고한 바 있다. GS의 경우, 선행 연구에 따르면 염해지 토양에 적정 사용량을 200 - 300 kg 10a-1로 제시하였는데 (Hwang et al., 1990), 본 실험에서는 BC의 시용으로 인한 pH 증가 가능성을 고려하여 400 kg 10a-1로 처리하였다. ZEO의 경우, 선행연구에 따르면 간척지 토양에 왕겨 1,500 kg 10a-1와 ZEO 200 kg 10a-1를 사용한 처리구에서 토양 입단화 개선 효과가 가장 뚜렷하다 보고된 바 있다 (Baek et al., 2010).
공시 토양 특성 분석 결과
공시 토양 분석 결과 pH (9.52), 전기전도도 (EC) 5.0 ds m-1, 유기물함량 (OM) 0.1%로 우리나라 밭 토양의 특성인 pH 6.1, EC 0.75 ds m-1, OM 2.5% (Kim et al., 2019)와 비교했을 때 pH가 높고 EC, OM이 낮은 특성을 보였다. 양이온교환용량 (CEC)은 4.96 cmolc kg-1이었고, Ca2+, Mg2+, Na+, K+ 등의 양이온 함량이 각각 0.8, 1.3, 2.0, 0.8 cmolc kg-1인 ESP가 40%가 넘는 염토양의 특성을 나타냈다. 토성은 모래 64%, 점토 20%인 Sandy clay loam로 나타났으며, 분석결과는 Table 3에 정리하였다.
Table 3
Physicochemical properties of soil used in the pot experiment.
토양 개량제 처리 후 토양 특성 변화
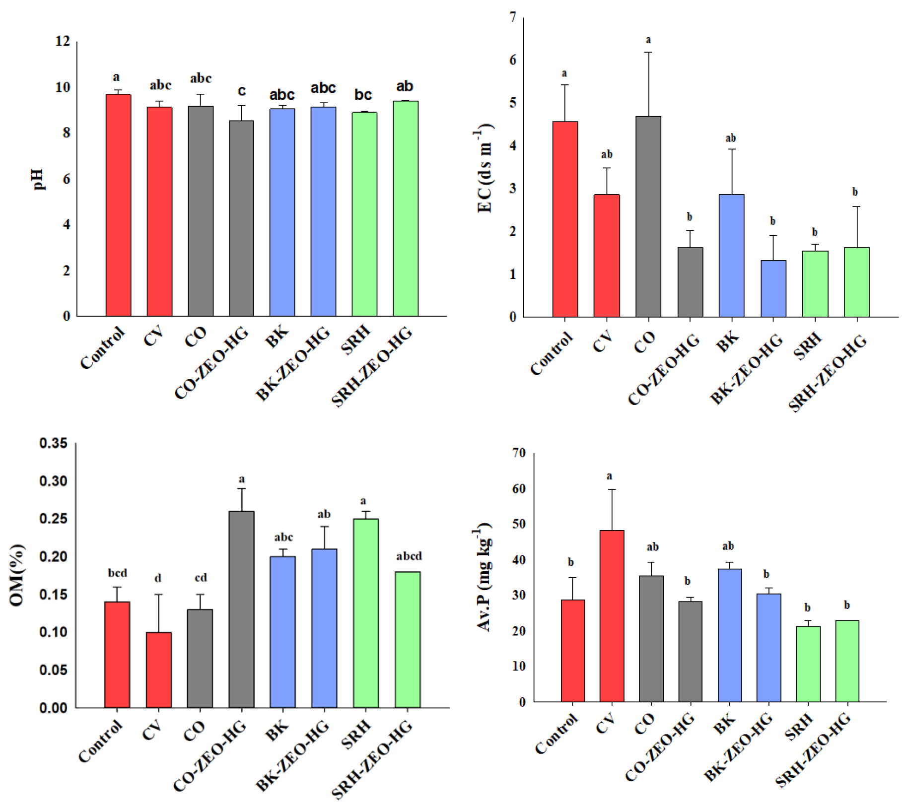
각 처리에 따른 토양 화학성 변화는 Fig. 1에 정리하였다. pH는 모든 처리구에서 대조구 대비 감소하였으며, 감소율은 SRH (9.2%) > BK (6.6%) > CO (5.2%) 순으로 나타났다. 복합처리의 경우 CO 처리에서만 단일처리보다 개선 효과를 보였으며, 11.7% 감소하였다. 다만 단일처리와 복합처리 간 통계적 유의성이 없어, 복합처리가 pH 개선에 미치는 효과는 제한적인 것으로 판단된다. 선행 연구를 살펴보면, 간척지 토양 pH 개선에 유기물 개량제의 효과가 유의하지 않으며 (Li et al., 2022), ZEO 역시 pH 변화에 제한적인 효과를 보인다 보고된 바 있다 (Hwang et al., 2025).
전기전도도 (EC)는 CO 단일처리를 제외한 모든 처리구에서 감소하였으며, CO와 BK 복합처리 시 EC 값이 감소한 반면 SRH는 단일처리와 비슷한 수준을 나타냈다. 감소율은 BK (71.2%) > CO ≈ SRH (64.4%)로 나타났다. Aiad et al. (2021)에 따르면 염류 토양에 퇴비와 ZEO를 복합 처리한 경우 EC가 37 - 41% 감소한 것으로 보고된 바 있다.
유기물 함량 (OM)은 CO 단일 처리를 제외한 모든 처리에서 증가하였고, CO와 BK에서는 증가한 반면, SRH에서는 감소하였다. 증가율은 CO (85%) > BK (50%) > SRH (29%) 순이었다. 유기물 개량제는 토양 내 유기물 함량을 증가시켜 토양 내 물리성을 개선할 수 있으며 (Park and Hong, 2019), 이로 인해 생성된 산 또는 산 생성 복합체는 토양 내 염들의 용해도를 증가시켜 식물 흡수 또는 침출을 촉진한다 (Manzoor et al., 2024). 따라서 OM의 증가가 EC 감소에 기여할 수 있으며, 이러한 작용은 복합 처리 시 증대되는 것을 확인하였다. ZEO, HG은 토양의 밀도 및 공극률 등 물리성을 개선하고, 미생물 활성을 증가시킨다 (Bikkinina et al., 2020; Fangze et al., 2020). 따라서 OM 증가 및 EC 감소 효과가 보다 크게 나타난 것으로 판단된다.
한편, SRH의 경우 단독 처리구 중 가장 높은 OM 증가율을 보였으나, 복합 처리 시 오히려 감소하였다. 왕겨 (rice husk)의 경우, 미생물이 쉽게 이용할 수 있는 단순한 탄소 구조를 가지고 있으며, 방향족 탄소의 함량이 낮아 화학적으로 불안정하다. 따라서 유기물 분해 속도가 퇴비나 바이오차 대비 4배 빠르다는 보고 (Benbi and Yadav, 2015)에 근거할 때, SRH의 유기물이 빠르게 분해되었기 때문으로 판단된다. 이러한 효과는 복합처리에 의해 촉진되었을 것으로 보인다.
유효 인산 (available phosphorus)은 CO와 BK 단일 처리에서 대조구 대비 각각 23.4%, 30.1% 증가하였으나, 복합 처리에서는 감소하는 경향을 보였다. 이와 같은 결과는 유기물 함량의 급격한 증가로 토양 내 C/P (total carbon to total phosphorus)의 불균형이 유도되었으며, 이에 따라 토양 내 유효 인산이 미생물에 의해 생물학적 고정되었음을 가능성을 시사한다. Zhang et al. (2018)에 따르면 유기물 투입 시 토양의 C/P 비율이 증가할 경우, 미생물이 생장에 필요한 인산을 확보하기 위해 유효 인산을 생체 내로 흡수 및 고정하여, 식물이 이용 가능한 인산의 가용성이 저하될 수 있다고 보고된 바 있다. 본 연구에서는 토양의 총 인 (total phosphorus, TP)에 관해 분석하지 않았으나, CO, BK, SRH 모두 C 함량이 높고 P 함량이 낮은 개량제라는 것을 감안하였을 때 C/P의 비율이 증가했을 것으로 판단된다. 특히 SRH의 경우, 유기물 분해 속도가 상대적으로 빠르기 때문에 단일처리만으로 C/P 비율의 증가가 크게 발생했을 것이라 판단된다. Reinhart et al. (2024)에 따르면, Ca2+의 농도가 증가하면 인의 고정화가 강화되어 식물의 인 흡수가 제한 될 수 있음이 보고되었다. 토양 내 교환성 양이온 함량 변화 결과를 살펴보면, Ca2+(Fig. 2)는 모든 단일 처리구에서 대조구 대비 증가했으며, 복합 처리시 더욱 증가하는 것을 확인할 수 있다. 따라서 Ca-P 화합물의 생성이 촉진되었을 것으로 판단된다. 이에 따라 단일 처리 (26.3%) 및 복합 처리 (20.8%) 모두에서 대조구에 비해 유효 인산이 감소하는 결과를 나타냈다. 결과를 종합하면, 토양의 일반 화학성 (pH, EC, OM, Av.P) 개선 측면에서 복합 처리가 단일 처리보다 전반적으로 우수한 결과를 보이며, CO-ZEO-HG 처리가 가장 효과적인 처리로 판단된다.

Fig. 1
Effect of soil amendment treatments on soil chemical properties in reclaimed soil. Different lowercase letters above the bars indicate significant differences among treatments according to Duncan’s multiple range test (p < 0.05). Bars sharing the same letter do not differ significantly. Values represent mean ± standard deviation (n = 3).
토양 내 교환성 양이온 함량 변화
각 처리에 따른 양이온 함량 변화는 Fig. 2에 정리하였다. Ca2+의 경우, 모든 처리구에서 대조구에 비해 함량이 증가하였으며, 복합처리에서 단일처리보다 높게 나타났다. 복합처리 시 Ca2+의 함량 증가율은 CO (47.4%) > BK (46.3%) > SRH (45.2%) 순이었다. Na+ 함량은 모든 처리에서 감소하였고, 복합처리에서 더 큰 감소폭을 보였으며, 감소율은 CO (49.5%) > BK (47.4%) > SRH (47%) 순이었다.

Fig. 2
Effect of soil amendment treatments on exchangeable cation (Na+, Ca2+, K+, Mg2+) and cation exchange capacity (CEC) in reclaimed soil. Different lowercase letters above the bars indicate significant differences among treatments according to Duncan’s multiple range test (p < 0.05). Bars sharing the same letter do not differ significantly. Values represent mean ± standard deviation (n = 3).
이러한 변화는 처리된 개량제의 특성에 기인한 것으로 판단된다. 석고 (CaSO4)는 칼슘 성분이 풍부하여 토양 입자에 흡착된 Na+을 Ca2+와 치환함으로써 이온 불균형을 개선할 수 있으며, Na+ 함량의 감소는 입자 간 반발력을 줄여 토양 입단 형성을 촉진하고 물리성을 개선하는 데 기여한다 (Lebron et al., 2002; Lim et al., 2011).
또한, 유기물의 투입은 토양 내 유기물 함량을 증가시켜 입단 안정화 및 공극률 증가, 수분 보유력 향상 등의 긍정적 효과를 유도하는데 (Carter, 2002; Leuther et al., 2022), 이러한 변화는 토양 입자에서 탈착된 Na+의 용탈을 유도했을 것으로 판단된다.
복합 처리에 포함된 ZEO는 높은 양이온 보유능을 가지며, 사용량 증가에 따라 토양 CEC가 증가하는 경향을 보인다 (Ippolito et al., 2011). HG 또한 수분 보유력이 뛰어난 SAP (super absorbent polymer)로서 토양 수분 함량을 증가시켜 보비력을 향상시키며, 이에 따라 토양 내 Na+의 용탈을 촉진시킬 수 있다 (Kim et al., 2023). 이와 같은 결과는 복합 처리가 Na+ 함량 감소 및 Ca2+ 공급 효과를 증가시키는 데 유효함을 보이며, Na+에 의한 토양 반발력을 낮추어 입단 형성을 유도하고, Ca2+의 식물체 내 흡수를 원활하게 했을 것으로 판단된다.
그러나 SRH는 복합 처리에서 다른 처리에 비해 개선 효과가 낮았는데, 이는 SRH의 빠른 분해 특성으로 생산된 유기산 혹은 유기 복합체의 영향으로 판단된다. ZEO와 유기물의 동시 처리 시 유기물이 ZEO의 표면을 덮거나, 미생물 활성 증가로 생성된 유기산의 영향으로 ZEO의 CEC 기능이 감소했다고 보고된 바 있다 (Kukowska and Szewczuk-Karpisz, 2025).
이러한 결과를 종합하면, 간척지 토양의 주요 문제인 고염 및 Na+ 축적 문제를 해결하기 위해서는 복합 개량제의 활용이 효과적이며, 그 중에서도 CO–ZEO–HG 처리가 가장 우수한 제염 효과를 나타낸 것으로 평가된다.
토양 내 Na+ 저감
각 처리구의 나트륨 흡착비 (SAR) 및 교환성 나트륨 비율 (ESP)은 Fig. 3에 정리하였다. 처리 결과, 모든 처리구에서 SAR과 ESP는 대조구 대비 유의하게 감소하였으며, 특히 복합 처리에서 단독 처리보다 큰 개선 효과를 보였다. 복합 처리 시 SAR의 감소율은 CO (55.0%) > BK (52.9%) > SRH (52.1%) 순이었으며, ESP의 경우 CO (43.9%) > BK (41.9%) > SRH (41.2%) 순으로 나타났다. 비록 일부 복합 처리에서 CEC가 감소하는 경향이 있었으나, Na+ 함량의 절대적 감소로 인해 SAR과 ESP의 유의미한 개선이 확인되었다. 이러한 결과는 간척지 토양의 조기 숙전화를 위한 복합 개량제 활용의 효과를 입증하며, 간척지의 생산성 향상 가능성을 시사한다. SAR과 ESP의 감소는 토양의 나트륨 독성을 완화하고, 입단 형성 촉진 및 작물의 생육 환경 개선에 직접적인 영향을 미친다고 보고된 바 있다 (Noor-Us-Sabah et al., 2012). 이는 앞서 기술한 바와 같이 Na+의 감소가 토양 입자 간 반발력을 줄이고 구조 안정성을 향상시켜 작물 생육 저해 요인을 경감시키는 데 기여하기 때문으로 해석된다.

Fig. 3
Effect of soil amendment treatments on soil Change in sodium adsorption ratio (SAR) and exchangeable sodium percentage (ESP). Different lowercase letters above the bars indicate significant differences among treatments according to Duncan’s multiple range test (p < 0.05). Bars sharing the same letter do not differ significantly. Values represent mean ± standard deviation (n = 3).
작물 생중량 분석 결과
각 처리구에 따른 콩의 생육 정도는 Fig. 4에 정리하였다. 개량제를 처리한 간척지 토양에서 포트 재배된 콩의 개수 및 생중량 결과를 보면, 복합 처리된 토양에서 단독 처리보다 전반적으로 우수한 생육 결과를 나타냈다. 이는 복합 처리를 통한 토양의 SAR 및 ESP가 감소가 Na+에 의한 입단 반발력을 완화하고, Ca2+ 및 유기물 함량 증가시켜 작물 생장에 유리한 환경이 조성되었기 때문으로 해석된다. 특히 CO 및 BK 단독 처리구에서는 SAR, ESP, EC 등의 개선 효과가 미비하여 콩의 생육 (개수 및 생중량)에 유의한 차이가 없었으나, 복합 처리 시 콩 개수는 BK (185.7%) > CO (157.1%), 생중량은 BK (200.0%) > CO (133.9%)로 대조구 대비 뚜렷한 증가를 보였다. 반면 SRH 처리구에서는 단독 및 복합 처리 모두 콩 개수는 증가하였으나 생중량은 오히려 감소하였다. 이는 SRH의 빠른 유기물 분해 특성으로 인해 SAR, ESP, EC 개선은 어느 정도 이루어졌으나, 동시에 유효 인산 함량이 감소하여 정상적인 생육에 필요한 인산 공급이 제한되었기 때문으로 판단된다. 인산은 질소 다음으로 중요한 식물 필수 영양소로서, 식물의 에너지 대사, 유전자 발현, 광합성, 생장 조절 등 다양한 생리작용에 관여하는 핵심 요소이다 (Yun and Cheong, 2016). 따라서 본 연구 결과를 종합해보면, 간척지 토양의 숙전화 및 작물 생육 촉진을 위해서는 SRH보다는 CO 또는 BK와 같은 유기물 개량제를 사용하는 것이 바람직하며, ZEO 및 HG의 복합 처리를 병행할 경우 작물 생육 향상에 더욱 효과적인 것으로 판단된다.

Fig. 4
Effect of soil amendment treatments on soybean growth parameters: fresh weight and number of bean. Different lowercase letters above the bars indicate significant differences among treatments according to Duncan’s multiple range test (p < 0.05). Bars sharing the same letter do not differ significantly. Values represent mean ± standard deviation (n = 3).
토양 특성 및 작물 생중량 간의 상관관계 분석
본 연구에서 작물 생육에 유의한 상관 관계를 보인 인자는 EC, SAR, ESP로 나타났다. 콩의 개수와 각각의 상관계수는 -0.715*, -0.838**, -0.838**로 유의한 음의 상관관계를 보였으며, 생중량의 경우 SAR (-0.786*), ESP (-0.786*)의 유의한 상관관계가 확인되었다. 본 연구 결과와 유사하게 EC, SAR, ESP가 감소할수록 작물의 생육양이 증가하는 음의 상관관계가 보고된 바 있다 (Aiad et al., 2021; El-Akhdar et al., 2025). 이는 토양 내 EC, SAR, ESP의 감소가 작물 생육 개선에 긍정적인 영향을 미친다는 점을 시사한다. 또한 본 연구 결과에서는 유의성이 낮지만 OM이 증가함에 따라 Av.P가 감소하는 음의 상관관계 (-0.19)를 나타냈으며, 선행연구에서도 음의 상관관계 (-0.753*) 결과가 보고된 바 있다 (Hossain et al., 2014). 이는 증가한 유기물이 분해되면서 생성된 유기산이 토양 내 금속이온과 결합하여 인산염 복합체를 형성했을 가능성을 시사한다. Spearman 상관관계 분석 결과는 Table 4에 정리하였다.
Table 4
Spearman’s rank correlation coefficients among soil chemical properties and soybean growth characteristics.
| pH | EC | OM | Av.P | CEC | SAR | ESR | Weight | EA | |
| pH | 1.000 | ||||||||
| EC | 0.429 | 1.000 | |||||||
| OM | -0.707 | -0.723* | 1.000 | ||||||
| Av.P | -0.252 | 0.193 | -0.190 | 1.000 | |||||
| CEC | 0.156 | 0.711* | -0.452 | -0.071 | 1.000 | ||||
| SAR | 0.563 | 0.831* | -0.690 | -0.071 | -0.714* | 1.000 | |||
| ESP | 0.563 | 0.831* | -0.690 | -0.071 | -0.724* | 1.000* | 1.000 | ||
| Weight | -0.108 | -0.675 | 0.381 | 0.048 | -0.595 | -0.786* | -0.786* | 1.000 | |
| EA | -0.211 | -0.715 | 0.371 | 0.263 | -0.671 | -0.838* | -0.838** | 0.946** | 1.000 |
Conclusion
본 연구는 유기물 개량제 (CO, BK, SRH)의 단독 처리보다 ZEO, HG의 복합 처리가 간척지 토양의 조기 숙전화에 보다 긍정적인 영향을 미칠 것이라는 가설에서 출발하였다. 실험 결과, 복합 처리 시 간척지 토양의 주요 문제인 Na+ 함량이 감소로 SAR 및 ESP가 유의하게 개선되는 것을 확인하였다. CO와 BK의 경우, 단독 처리했을 때 보다 ZEO 및 HG와의 복합 처리 시 EC 감소 및 OM 증가가 나타났으며, Na+ 함량이 감소함에 따라 SAR 및 ESP 수치가 개선되었다. Spearman 상관분석 결과에 따르면, EC와 OM이 상관성 (-0.723*)을 보였으며, 이는 증가한 유기물의 분해 산물이 EC에 영향을 주었기 때문으로 판단된다. 콩의 생중량과 개수에 상관성을 보인 인자는 SAR (-.726*, -.838*), ESP (-.786*, -.838*), EC (-.715*)였으며, CO와 BK 복합 처리구에서 이들 지표가 크게 개선되었다. 이러한 결과는 토양의 물리·화학성 개선을 통해 Na+의 용탈이 촉진되고, Ca2+ 함량이 증가함으로써 작물 생육에 긍정적인 영향을 미친 것으로 해석된다. 반면 SRH는 복합 처리와 단독 처리 간 큰 차이를 보이지 않았으며, 이는 SRH의 특성상 유기물의 분해가 매우 빠르게 이루어져 복합 처리의 영향이 제한적이었기 때문으로 판단된다. 이와 같은 특성은 C/P 증가로 인해 토양 내 유효 인산 함량에 부정적인 영향을 미쳐 생육량 감소를 초래하였다. 따라서 간척지 토양의 조기 숙전화를 위한 유기물 개량제로는 SRH보다 CO 및 BK의 활용이 더 효과적이며, 개량제 단독 처리보다는 ZEO와 HG의 복합 처리가 염류 제거 및 물리·화학성 개선에 유리함을 확인하였다. 다만, 모든 복합 처리구에서 유효 인산 및 CEC가 감소하는 경향을 보였으며, 이에 대한 보완 연구가 필요하다. 아울러 본 연구는 포트 재배를 통해 토양과 작물 생육 변화를 평가한 것으로, 실제 간척지 포장에서의 현장 실증 연구로의 확대 및 시용효과의 장기적인 모니터링, 생물학적 효과, 경제성 효과 등의 종합적인 평가가 필요하다.



