Introduction
수질은 국민 개개인의 건강과 바로 직결되기 때문에 매우 중요하다. 현재 우리나라의 경우 지표수와 지하수를 음용수로 사용하고 있다. 지하수는 지표수와는 다르게 땅속에 위치하고 있어 외부의 영향을 비교적 적게 받고 있지만 지하수 오염에 관한 위험성은 항시 존재하고 있다. 우리나라의 지하수 자원은 지질학적 특성으로 인해 외국의 다른 국가들에 비해 양적으로 부족하나 지하수의 사용량이 지속적으로 증가 (NIER, 2013a)하고 있고 무절제한 지하수 개발과 관리 소홀로 인해 지하수자원이 질적으로 점점 악화되어가고 있는 실정이다 (Lee et al., 2007).
지하수의 이화학적 특성은 수질을 관리하고 활용하기 위한 기준을 정하는데 중요한 역할을 하며 크게 두 가지 요인에 의해 변화한다. 첫번째 요인은 자연적인 기원으로 지하수 수질의 광역적인 변화를 초래하며, 두 번째 요인은 인위적인 기원으로 토지이용, 자원개발, 도시화 등의 부산물에 기인한다 (Kim et al., 2010). 우리나라의 국내 수질기준은 지질의 다양한 특성에도 불구하고 일괄적인 기준을 적용하고 있다. 이러한 문제점을 보완하기 위해 지질과 지하수 수질 간 연관성 등에 연구가 활발히 수행되고 있고 특히 배경농도는 “The concentration of a given element, species or chemical substance present in solution which is derived by not significant anthropogenic influenced processes from geological, biological or atmospheric sources” (EU, 2006)로 정의할 수 있으며 인위적 오염이 배제된 상태에서의 농도를 뜻하는 개념으로, 이를 통해 지하수 함유 대수층의 지질학적/수리지화학적 특성 및 인위적 오염 정도를 파악할 수 있어 해외 선진국에서는 이에 대한 조사가 활발히 이루어지고 있다.
대표적인 사례 중 수질 58개 항목에 대한 지역배경농도와 국가배경농도간 비교 (Kim, 2014), 축산단지 지역에서의 지하수 중 질산성질소 배경농도 조사 (NIER, 2013b) 등이 국지적으로 이루어 졌다. 미국과 일본의 경우 지하수 관리를 위해 우선적으로 고려되어야 할 사항 중 지하수를 함유하고 있는 대수층의 지질학적/수리지화학적 특성에 관한 다양한 연구 및 조사가 이루어 졌다 (Moon and Yu, 2006). 우리나라의 경우 지하수 중 자연기원물질들의 배경농도와 그 산출특성에 관한 이해는 많이 부족한 실정이다.
인위적인 기원에 의한 지하수 오염은 지하수 수질기준에 따른 규제를 통해 관리하고 있다. 국내 지하수 수질기준은 생활용수 기준 19개 항목이며 (NIER, 2013a), 일본은 질산성질소 등 26개 항목의 지하수 환경기준과 클로로포름 등 27개의 요점감시항목을 미국인 경우 주정부 및 지방정부별 지하수 관리기준을 적용하고 있고 일리노이주의 경우 137개를 대상으로 관리하고 있다. 현재 국내 지하수 수질기준에서 금속류는 관리대상이 아니나 일본과 미국은 지하수 관리기준에 금속류에 대한 규제를 포함하고 있다. 금속류의 일반적인 특징은 다양한 산업분야에서 광범위하게 사용되고 있고 일부 금속류의 경우 위해성이 높다. 최근들어 우리나라인 경우 금속류의 사용량 및 배출량은 꾸준히 증가하고 있어 위해성이 높은 금속류에 대한 지하수 수질관리에 관한 제도적인 보완이 필요하고 단계적인 지하수 수질기준의 확대 및 강화가 필요한 실정이다 (NIER, 2013).
지하수는 공업용수, 농업용수, 음용지하수로 등록되어 사용하고 있다. 우리나라의 수돗물 수질기준은 58개 항목이 설정되어 있는 반면에 지하수 수질기준은 생활용수 기준 19개 항목만이 설정되어 있다 (Ministry of Environment, 2014). 현재 운용되고 있는 지하수수질측정망 중 지하수수질전용측정망을 제외한 기타 측정망에서는 19개 지하수수질기준항목 (생활용수기준) 및 EC 등 20개 항목에 대한 모니터링만이 이루어지고 있다 (Ministry of Environment, 2013). 지하수인 경우 음용 지하수로 등록된 경우에만 음용으로 사용하여야 함에도 불구하고 일부 관정인 경우 식수로 사용하고 있고 음용이 아닌경우에도 지하수를 활용하는 과정에서 비의도적 섭취나 증기흡입, 피부접촉 등의 노출경로가 존재 (Chen et al., 2006; Fan et al., 2009) 하는 것을 고려하면 먹는물 기준을 지하수에도 적용시킬 필요가 있는 것으로 판단된다.
따라서 본 연구의 목적은 먹는물 수질기준에 포함되어 있으나 국내 지하수 수질기준에는 포함되지 않은 금속류 5종 (셀레늄, 망간, 철, 크롬, 알루미늄)을 대상으로, 지하수 중 오염물질의 노출가능성, 독성, 관심인자, 매체연계기준 등에 대한 평가를 통해 물질간 우선순위를 선정하고 조사대상물질의 지하수 내 분포특성 및 지질별 배경농도 산출을 통해 수질기준 확대 및 조정에 필요한 기초자료를 제공하여 자연적 인자 및 인위적 인자를 포괄적으로 고려하는 합리적인 지하수 관리에 기여하고자 한다.
Materials and Methods
조사대상지점 및 조사대상항목 선정 환경부 지하수 수질측정망 중 전체 측정망 지점수와 설치지점의 지역별 배분율 등을 고려하여 총 110여개 지점을 선정해 2013년부터 2014년까지 2년간 연 2회 (상반기 및 하반기)씩 조사하였으며 전체적인 지점분포는 Fig. 1과 같다. 과거 먹는물 수질기준항목 중 금속류를 대상으로, 지하수 수질기준에 포함되지 않은 물질들인 셀레늄, 망간, 철, 크롬, 알루미늄, 구리, 아연 등 7종을 후보물질로 선정하여 이를 대상으로 지하수 오염물질 우선순위항목 선정기법 (NIER, 2008)을 적용해 그에 따른 각 후보물질들의 평가기준별 점수 (Table 1)의 합산을 통해 우선순위를 선정하고, 그 중 우선순위가 가장 높은 구리와 아연의 배경농도에 관한 조사가 진행된 이력이 있다 (Jeon et al., 2016). 그러나 모든 평가기준에 따른 점수의 합산인 우선순위가 상대적으로 낮다 하더라도, 노출가능성이나 독성 등의 개별 평가기준에 대한 점수는 우선순위가 높은 물질과 비슷하거나 더 높게 부여된 경우도 있으며, 각 물질들의 검출률 및 검출농도에 따라 더 높은 위해도를 나타내는 경우도 충분히 존재할 수 있는 바, 상대적으로 낮은 우선순위에 의해 조사가 진행되지 못한 물질들의 국내 배경농도에 대한 연구도 필요한 것으로 사료되어 상대적으로 우선순위가 낮게 평가된 셀레늄, 망간, 철, 크롬, 알루미늄 등 5개 물질을 본 연구의 조사대상물질로 선정하였다. 본 연구에서의 조사대상물질에 대한 각 개별 인자들의 점수를 비교한 결과, 생물축적성, 잔류성, 유통량 등을 고려한 노출가능성은 망간이 가장 높은 점수를 나타내었으며, 급성, 아만성 독성 및 발암성 등을 포함하는 독성은 셀레늄이 가장 높은 점수를 보였다. 규제 국가 수, 물질특성, 국내외 사고사건사례 등을 반영하는 관심인자 항목의 경우 알루미늄이 가장 높은 것으로 나타났고, 토양기준 및 수질기준의 존재여부를 고려하는 매체연계기준 점수는 전 항목이 해당되지 않았고 자료 신뢰도는 셀레늄이 8.5점으로 가장 높았다. CROWN 기법을 이용해 노출가능성, 독성, 관심인자, 매체연계기준, 자료 신뢰도 등 각각의 항목을 수치화하여 산정한 총점으로 우선순위를 판단한 결과, 셀레늄이 62.5점으로 가장 높은 우선순위를 보였고, 망간이 60점으로 2번째로 높음을 확인할 수 있었다 (Table 2).
시료채취 및 시료 분석 지하수 시료채취는 먹는물 수질공정시험기준 (Ministry of Environment, 2012), 수질오염공정시험기준 (Ministry of Environment, 2011) 및 환경시험 ․ 검사 QA/QC 핸드북 (NIER, 2011)에 의하여 행하였다. 시료채취 전 휴대용 멀티측정기 (Orion 5 Stars, Thermo)를 이용하여 온도, pH, Eh, EC, DO 등 5개 의 현장항목을 측정하였다. 측정은 퍼징과 동시에 연속적으로 이루어졌으며 측정값의 변동이 거의 없을 때까지 기다린 후 안정화 된 이후의 값을 사용하였다 (USGS, 2010). 시료채취는 현장측정항목 중 pH, 전도도 및 온도가 안정화 된 후 실시하였으며, 0.45 µm 멤브레인 필터를 사용해 여과 후 폴리에틸렌 재질의 1 L 용기에 채취하였고 양이온 및 금속류 분석을 위한 시료에는 추가로 진한 질산 1.5 mL을 첨가하였다.
조사대상물질 중 크롬, 망간, 알루미늄, 철 등 4개 물질과 Ca2+, Mg2+, Na+, K+등 주요 양이온은 수질오염공정시험기준 및 US EPA 200.7에 따라 ICP-OES (720-ES, Varian)을 사용하여 분석하였으며 셀레늄은 ICP-MS (7500 series, Agilent)를 사용해 분석하였다. Cl-, NO3-, SO4- 등 주요 음이온의 분석에는 IC (CH-850, Metrohm)를 사용하였으며 HCO3-는 이산화탄소의 용출을 막기 위해 0.05N HCl을 사용한 산중화적정법으로 현장에서 신속하게 측정하였다 (Hounslow, 1995). 조사의 신뢰도를 확보하기 위해 수질오염공정시험기준 및 먹는물수질공정시험기준에 따라 본 연구의 조사대상 항목인 셀레늄, 크롬, 망간, 알루미늄, 철에 대한 정도보증/정도관리를 실시하였으며 그 결과는 Table 3과 같다.
배경농도 도출방법(사전선택법) 연구대상물질들의 배경농도를 산출하기 위하여 사전선택법을 적용해 조사하였다. 사전선택법 (Pre-Selection method)은 특정 물질지표가 일정 수준의 농도를 초과하는 시료는 해당 지하수체가 외부의 인위적인 오염의 영향을 받은 것으로 간주하여 전체 자료에서 제외시킨 후 나머지 시료들의 통계자료를 바탕으로 배경농도를 산출하는 방법으로, EU에서 배경농도 및 문턱값 설정을 위한 지침으로 활용되고 있다. 인위적인 오염을 지시하는 물질 지표 및 산출방법에는 여러 가지가 사용되고 있으며 (Table 4), 본 연구에서는 EU에서 사용되고 있으며 또 여러 연구에서 가장 많이 사용되는 방법인 NO3-의 농도가 10 mg L-1을 초과하는 지점을 인위적인 영향을 받은 것으로 간주해 제외 후 나머지 시료들에 대한 90 percentile의 값을 배경농도로 취하는 방법을 사용하였다.
Results and Discussion
현장측정항목 및 일반항목 지하수의 수질특성을 파악하기 위해 현장측정항목 및 일반항목을 조사한 결과 현장측정항목은 Table 5, 주요 양음이온은 Table 6과 같은 통계를 나타내었으며, 이를 바탕으로 지하수의 수리지질학적 특성 파악을 위해 Piper Diagram을 통해 수질유형을 분류하였다 (Fig. 2). 이는 지하수의 화학특성을 표시하는데 널리 사용되는 방법으로 지하수 내 주요 양이온과 음이온의 당량농도 (meq L-1)의 비율에 따른 지하수의 유형을 나타내는데, 양이온 영역에서는 Na+와 K+의 당량농도의 합과 Ca2+와 Mg2+의 당량농도의 합을 비교하여 Na+와 K+의 당량농도의 합이 크면 Na유형, Ca2+와 Mg2+의 당량농도의 합이 크면 Ca유형으로 나뉘고 음이온 영역에서는 HCO3-의 당량농도와 SO42-, Cl-의 당량농도의 합을 비교해 HCO3-의 값이 더 큰 HCO3 유형과 SO42-와 Cl-의 합이 더 큰 Cl 유형으로 표현되어 최종적으로 Ca-HCO3, Na-HCO3, Ca-Cl, Na-Cl 의 총 4가지 유형으로 분류된다 (Seo, 2005). 이 중 Ca-HCO3유형은 오염의 영향을 받지 않은 천부지하수를 지시하며 Na-HCO3유형은 Ca-HCO3유형이 주변 지질매체의 영향을 받아 변한 것으로 볼 수 있고 Ca-Cl 유형은 인위적인 오염의 영향을 받은 지하수, Na-Cl 유형은 해수의 영향을 받은 것으로 보인다 (Ministry of Land, Transport and Maritime Affairs, 2009). 본 연구의 조사결과에 따른 Piper Diagram은 Fig. 2와 같다. 수질유형 분류 결과 총 430개 시료 중 오염의 영향을 받지 않은 천부지하수를 지시하는 Ca-HCO3 유형 및 Na-HCO3 유형이 총 404개로 전체의 94.1%를 차지하였으며, 인위적 오염의 영향을 받은 Ca-Cl 유형과 해수의 영향을 받은 것으로 판단되는 Na-Cl 유형은 총 26개로 5.9%로 나타났다.

조사대상물질의 분포특성 전체 지점에 대한 분포특성은 Fig. 3과 같다. 불검출을 제외한 농도분포와 평균농도는 셀레늄 0.0004~0.0041 mg L-1, 0.0004 mg L-1, 크롬 0.003~0.011 mg L-1, 0.0001 mg L-1, 망간 0.001~2.675 mg L-1, 0.083 mg L-1, 알루미늄 0.010~0.290 mg L-1, 0.008 mg L-1, 철 0.002~11.978 mg L-1, 0.174 mg L-1 로 나타났으며 망간, 철은 상대적으로 넓은 농도분포범위를 보였고, 크롬과 알루미늄, 셀레늄은 상대적으로 적은 검출개수로 인해 평균농도가 최소값보다 낮게 나타났다. 이 중 망간, 알루미늄, 철은 국내 먹는물 수질기준을 초과하는 지점이 존재하는 것으로 나타났으며, 각각의 초과개수는 망간 34개 지점, 알루미늄 3개 지점, 철 26개 지점으로 나타났다.
각각의 반기별 평균농도는 Fig. 4와 같다. 상관분석결과 각 물질의 상/하반기간 유의확률은 모두 0.001 이하로 통계적으로 유의한 것으로 나타났으며 상/하반기 각각 망간은 0.087 mg L-1 /0.081 mg L-1, 알루미늄은 0.009 mg L-1 /0.008 mg L-1, 철은 0.184 mg L-1 /0.168 mg L-1로 강우의 영향을 받는 하반기에 더 낮은 농도를 나타내었고 셀레늄은 0.00092 mg L-1 /0.00095 mg L-1, 크롬은 0.00007 mg L-1/0.00012 mg L-1로 하반기에 더 높은 농도를 나타내었다.
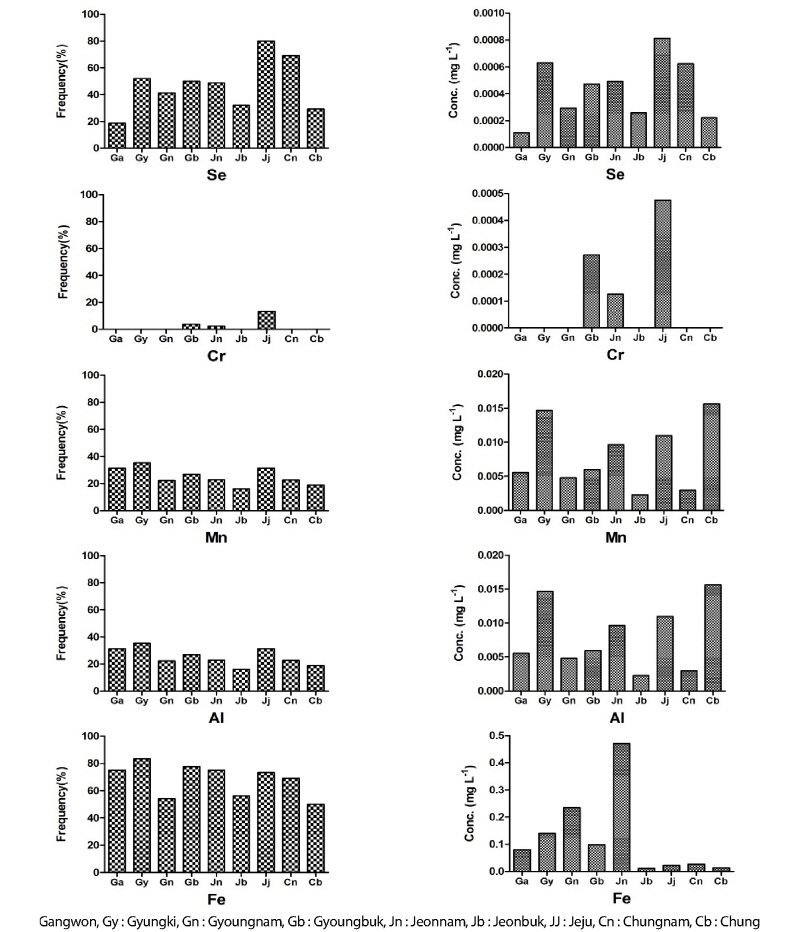
조사대상물질의 지역별 검출률은 Fig. 5와 같다. 셀레늄과 크롬은 제주지역에서 각각 80.0%, 13.3%로 가장 많이 검출되었으며 망간, 알루미늄, 철은 경기 지역에서 각각 89.4%, 35.4%, 83.3%로 가장 높은 검출률을 나타내었다. 지역별 평균농도를 살펴보면, 셀레늄과 크롬은 각각 0.0008 mg L-1, 0.0005 mg L-1로 제주지역에서 가장 높은 평균농도를 보였으며, 망간은 경기지역, 알루미늄은 충북지역, 철은 전남지역에서 각각 0.216 mg L-1, 0.016 mg L-1, 0.471 mg L-1로 가장 높은 평균농도를 나타내었다.
금속류의 지질별 분포특성은 Fig. 6과 같다. 불검출을 제외한 농도분포와 평균농도는 화성암 지역에서 각각 셀레늄 0.0004~0.0041 mg L-1, 0.0005 mg L-1, 크롬 0.003~0.008 mg L-1, 0.0001 mg L-1, 망간 0.001~1.679 mg L-1, 0.051 mg L-1, 알루미늄 0.010~0.290 mg L-1, 0.008 mg L-1, 철 0.004~11.978 mg L-1, 0.148 mg L-1로 나타났으며, 변성암 지역에서 셀레늄 0.0004~0.0018 mg L-1, 0.0003 mg L-1, 망간 0.001~1.272 mg L-1, 0.114 mg L-1, 알루미늄 0.005~0.100 mg L-1 , 0.005 mg L-1, 철 0.004~5.975 mg L-1, 0.276 mg L-1로 나타났고 크롬은 변성암지역 전 지점에서 검출되지 않았다. 퇴적암 지역에서는 셀레늄 0.0005~0.0021 mg L-1, 0.0003 mg L-1, 크롬 0.0036~0.0113 mg L-1, 0.0003 mg L-1, 망간 0.001~2.675 mg L-1, 0.139 mg L-1, 알루미늄 0.010~0.263 mg L-1, 0.015 mg L-1, 철 0.004~3.024 mg L-1, 0.127 mg L-1인 것으로 나타났다.
조사대상물질 각각의 지질에 따른 농도 분포를 조사한 결과, 셀레늄은 화성암 지역에서 가장 높은 평균농도를 보였으며 크롬, 망간, 알루미늄은 퇴적암 지역에서, 철은 변성암 지역에서 각각 가장 높은 평균농도를 보였다.
사전선택법을 이용한 배경농도 도출 사전선택법을 이용해 총 430개의 지점 중 NO3-의 농도가 10 mg L-1을 초과하는 지점들을 제외한 나머지 266개의 지점만을 대상으로 하여 90 percentile에 해당하는 값을 배경농도로 산출하였으며 그에 따른 배경농도는 Table 7과 같다. 전체 지점에 대한 배경농도는 셀레늄 0.0010 mg L-1, 망간 0.297 mg L-1, 알루미늄 0.027 mg L-1, 철 0.208 mg L-1로 나타났으며 크롬은 배경농도가 0으로 나타났다. 과거 환경부 지하수 수질측정망 중 배경수질전용측정망 조사결과를 대상으로 검출률 및 다양한 통계기법을 고려한 국가배경농도는 셀레늄 0 mg L-1, 크롬 0 mg L-1, 망간 0.21 mg L-1, 알루미늄 0.12 mg L-1, 철 0.08 mg L-1로 조사된 바 (Kim, 2014) 있다. 본 조사에서 산출된 지질별 배경농도는 화성암 지역에서 셀레늄 0.0010 mg L-1, 망간 0.084 mg L-1, 알루미늄 0.017 mg L-1, 철 0.083 mg L-1로 나타났으며 변성암 지역에서 셀레늄 0.0008 mg L-1, 망간 0.460 mg L-1, 알루미늄 0.014 mg L-1, 철 1.574 mg L-1로 나타났고 퇴적암 지역에서는 셀레늄 0.0010 mg L-1, 망간 0.236 mg L-1, 알루미늄 0.029 mg L-1, 철 0.100 mg L-1로 나타났다. 셀레늄과 알루미늄은 0.0010 mg L-1, 0.029 mg L-1로 퇴적암 지역에서 가장 높은 배경농도를 보였으며 망간과 철은 각각 0.460 mg L-1, 1.574 mg L-1로 변성암 지역에서 가장 높은 배경농도를 나타내었다.

배경농도 초과지점의 지질별 특성은 Table 8과 같다. 배경농도를 초과한 지점의 개수는 셀레늄이 38개로 가장 많았으며, 알루미늄, 철, 망간, 크롬의 순으로 각각 19지점, 14지점, 13지점, 4지점씩에서 배경농도를 초과하였다. 배경농도 초과지점의 지질별 특성을 살펴보면, 셀레늄, 크롬, 망간은 퇴적암 지역에서 각각 14.9%, 1.1%, 4.8%로 가장 높은 배경농도 초과율을 보였으며 알루미늄은 변성암 지역에서 5.7%, 철은 화성암 지역에서 3.8%로 가장 높은 배경농도 초과율을 보였다. 셀레늄은 일반적으로 화성암 지역에서 낮은 농도분포를 보이고 셰일 등의 일부 퇴적암에서는 높은 농도를 보이는 경향이 있고 크롬은 변성암 계열의 암석에서 비교적 높은 농도로 검출되는 경향이 있으며 철과 망간은 같이 생성되는 경우가 많으며 화성암 계열인 고철질암에서 높게 검출되고 알루미늄은 지각에 전반적으로 많이 분포하는 것으로 알려져 있는 바 (Pendias, 2001), 셀레늄과 철은 이와 유사한 경향을 나타내었다. 크롬과 망간은 일반적인 산출특성과는 다른 경향을 보이기는 하나, 지질대별 산출특성은 해당 세부지질에 따라 달라질 수 있는 점과 데이터 개수가 대표성을 나타내기에는 부족한 것에 기인하는 것으로 보이며 이는 차후 더 많은 지점에 대한 모니터링 등을 통해 보완이 가능할 것으로 사료된다.

사전선택법을 이용한 배경농도는 특정 지표를 고려해 선별된 나머지 시료 전체를 대상으로 배경농도를 산출하므로, 특정 물질이 고농도로 나타나는 지점이 포함된 경우, 특정 통계값을 취한다고 해도 산출되는 배경농도가 고농도 지점의 영향으로 상대적으로 높게 나타나게 된다. NO3-를 지표로 선택하여 조사한 본 연구결과에서도 철 항목은 변성암 지역의 배경농도가 다른 지질에서의 배경농도에 비해 10배 이상으로 나타났는데, 이는 변성암 지역에서 조사결과 4회의 평균농도가 2 mg L-1을 초과하는 고농도 지점들이 제외되지 않은 것에서 기인한다. Table 4를 보면 NO3- 외에도 여러 연구에서 NH4+,NaCl, Eh, DO 등의 지표가 제안되었고, EU에서도 구체적인 수치는 제시하지 않고 있으나 인위적인 오염의 영향 As, Cd, Pb, NH4+ 등을, 해수 또는 기타 침투 영향에 의한 지표로 NaCl 및 EC 등을 추가로 제안하고 있다. 따라서 사전선택법을 이용한 배경농도 도출 시에는 여러 연구에서 제시된 다양한 추가적인 지표들을 고려한 지점 선별이 필요할 것으로 사료된다.
Conclusions
본 연구는 먹는물 수질기준에는 포함되어 있으나, 지하수 수질기준에서는 규제되지 않은 금속류 중 셀레늄, 크롬, 망간, 알루미늄, 철 등 5종 물질의 분포 특성을 파악하고 지질별 배경농도를 도출해 향후 기준 확대 및 조정 시 그 기초자료를 제공하고자 실시되었다. 셀레늄을 제외한 크롬, 망간, 알루미늄, 철은 하반기에 더 낮은 농도를 나타내었으며, 지역별로는 망간은 경기지역, 알루미늄은 충북지역, 철은 전남지역, 셀레늄과 크롬은 제주지역에서 가장 높은 평균농도를 보였다. 지질별 농도분포를 살펴보면, 셀레늄은 화성암 지역에서 가장 높은 평균농도를 나타내었고 크롬, 망간, 알루미늄은 퇴적암 지역에서 가장 높은 평균농도를 나타내었으며 철은 변성암 지역에서 가장 높은 평균농도를 보였다. 사전선택법을 이용해 산출된 지질별 배경농도를 비교한 결과 셀레늄과 알루미늄은 0.0010 mg L-1, 0.029 mg L-1 로 퇴적암 지역에서 가장 높은 배경농도를 보였으며 망간과 철은 각각 0.460 mg L-1, 1.574 mg L-1 로 변성암 지역에서 배경농도가 가장 높은 것으로 나타났다. 배경농도를 초과한 지점의 지질별 특성을 살펴보면, 셀레늄, 크롬, 망간은 퇴적암 지역에서 각각 14.9%, 1.1%, 4.8%로 가장 높은 배경농도 초과율을 보였으며 알루미늄은 변성암 지역에서 5.7%, 철은 화성암 지역에서 3.8%로 가장 높은 배경농도 초과율을 보였다. 철의 경우는 변성암 지역에서 다른 지질에 비해 10배 이상 높은 배경농도를 나타내었는데, 이는 사전선택법에 의한 배경농도 산출 시 고농도를 나타낸 지점이 제외되지 않은 것에 기인한다. 따라서 사전선택법에 따른 배경농도 도출 시에는 보다 다양한 지표들을 고려한 지점 선별이 필요할 것으로 사료된다.














