Introduction
Materials and Methods
처리구설정 및 재배관리
토양 시료 채취 및 탄소 축적량 평가
탄소분획 분석
토양 화학적 특성 분석
통계분석
Results and Discussion
작물생육 및 토양 특성 평가
투입 유기물원에 따른 토양 유기 탄소, 용적밀도 및 토양유기탄소 저장량
유기물원 종류에 따른 토양 층위별 탄소 및 질소의 축적 양상
토양 내 휴믹산과 풀빅산의 변동
Introduction
토양 유기물은 토양의 비옥도 및 건정성을 나타내는 주요 인자이며 (Christensen and Johnston, 1997; Carter, 2002; Yoon, 2004; Kim et al., 2012), 농업의 지속가능한 생산성 확보 및 체계적인 토양관리 체계를 위한 평가수단으로도 이용되고 있다 (Seo et al., 2015). 또한 토양의 입단 안정화도와 수분 보유력과 같은 물리성을 향상시키는 역할을 통해 작물의 생산성뿐만 아니라 토양의 물리·화학적 특성을 향상시킨다고 알려져 있다 (Lugato et al., 2007; Kim et al., 2012). 양분 보유력이 상대적으로 낮은 화강암과 화강편마암이 국토의 약 70% 차지하고, 기후특성 상 계절별 온도 차이가 크며 여름철 강우가 집중되는 환경 특성으로 우리나라 토양은 유기물함량이 낮아 화학비료에 의존하여 작물을 재배해왔다 (Yeon et al., 2007; Kim et al., 2012). 따라서 지속가능한 토양의 생산성과 건전성 확보를 위해 수확 후 잔재물, 퇴비, 풋거름작물 과 같은 유기물원 시용 (Kim et al., 2020)을 주요 토양관리방안으로 활용한다.
최근 기후변화가 극심해지고 있고 이를 해결하기 위한 방법의 일환으로 농경지의 토양 탄소 저장능력에 대한 연구가 활발히 진행되고 있다. 국내 토지이용에 따른 총 탄소 저장량은 413 Gg C이며, 이 가운데 농경지 탄소저장량은 157 Gg C 이다 (Hong et al., 2013; Seo et al., 2015). 토양내 탄소의 경우 투입되는 유기물원과 토양특성 등에 따라 다양한 형태로 존재하여 분획을 통해 정밀하게 분석된다 (Christl et al., 2000; Lee et al., 2004; Michael and Hayes, 2006). 토양 내 탄소의 분획은 산과 알칼리에 대한 용해도 차이를 이용하여 풀빅산, 부식산 및 휴민으로 구분하며, 산과 알칼리에 대한 용해도가 높을 때 이분해성, 낮을 때 난분해성으로 구분한다. 이와 같은 토양내 탄소를 이분해성과 난분해성으로 평가하고 고찰하는 것이 토양내 탄소 축적 양상을 예측하는데 중요할 것으로 판단된다.
본 연구는 유기물원을 장기간 투입하였을 때 유기물원의 특성에 따라 탄소의 축적양상이 다를 것이라고 판단하였다. 이에 특성이 다른 우분퇴비와 옥수수 잔재물을 투입하여 작물 생육 및 토양화학성을 평가하였으며 토양내 탄소를 이분해성 및 난분해성으로 분획하여 투입되는 유기물원에 따른 탄소의 축적양상을 평가하였다.
Materials and Methods
처리구설정 및 재배관리
본 연구는 2014년부터 현재까지 전북 완주군 이서면에 위치한 시험포장에서 수행되고있다. 시험처리구는 화학비료구 (NPK), 화학비료를 포함한 잔재물 (Residue) 환원구 (NPKR), 화학비료, 퇴비 및 잔재물환원구 (NPKRC)로 설정하였으며, 대조구로 무비구를 설치하였다. 각 처리구는 난괴법으로 3반복 하였으며, 시험에 사용된 옥수수 품종은 일미찰로 재식거리는 이랑 폭 60 cm × 주간 거리 25 cm였다. 표준시비량에 따라 N-P2O5-K2O = 132:30:55 시비하였으며, 우분퇴비는 20 ton ha-1, 잔재물은 가식부를 제외한 옥수수 전체 biomass로 토양에 환원하였다. 투입된 퇴비와 잔재물의 화학적 특성은 Table 1에 나타냈다.
Table 1.
Chemical properties of organic amendment used for this study.
| Type | TC | TN | C/N | P2O5 | K2O | CaO | MgO |
| (%) | |||||||
| Residue | 27 | 0.93 | 29 | 0.48 | 0.03 | 0.47 | 0.70 |
| Compost | 23 | 1.64 | 14 | 3.02 | 0.93 | 3.68 | 1.83 |
토양 시료 채취 및 탄소 축적량 평가
토양시료 채취는 유기물 층을 제거한 다음, 토양 깊이 0 - 10 cm, 10 - 20 cm 와 20 - 30 cm 에서 채취하였다. 토양 시료는 풍건 및 분쇄하여 2 mm 체에 통과된 시료를 분석에 사용하였다. 코어 (diameter: 7.5 cm, height: 7.5 cm) 샘플링을 통해 용적밀도를 산정하였다. 토양 탄소 축적량은 다음의 식을 이용하였다 (Eq. 1).
탄소분획 분석
토양의 가용성 유기탄소 (Dissolved organic carbon, DOC)와 총질소 (Dissolved nitrogen, DON)는 water extraction 과 Hot water extraction법을 이용하였다 (Ghani et al., 2003). 토양 3 g에 증류수 30 mL (토양:증류수 = 1:10)을 넣은 다음 1시간 진탕 후 원심분리 (3,750 rpm) 20분으로 상등액을 구분한다. 상등액을 0.45 um membrane 여과지에 여과한 여액을 TOC 분석기 (TOC-V 5050A, Shimadzu)로 측정하여 water extractable carbon, nitrogen (WEC, WEN) 산정하였다. 남은 침전물에 증류수 30 mL을 넣고 10초간 voltexing 후 80°C 에서 16시간 정치한 후 원심분리 (3,500 rpm) 20분으로 상등액 구분하여 0.45 um membrane으로 여과한 여액을 위와 동일한 기기로 분석한다.
휴믹산 (Humic acid, HA)과 풀빅산 (Fulvic acid, FA)은 Schnitzer (1982) 에 보고된 실험방법을 이용하였다. 3 g 토양에 0.5 N NaOH 30 mL넣어 21시간 동안 진탕 후 30분간 원심분리 (3,000 rpm)하여 휴믹산과 풀빅산이 포함된 상등액을 분리한다. 2N HCl을 이용해 산에 녹는 풀빅산을 분리하여 풀빅산과 휴믹산의 탄소농도를 원소 분석기로 분석하였다. 부식화율 (Humification rate, HR)은 다음의 식을 이용하여 산정하였다 (Ciavatta et al., 1990; Putra et al., 2016; Hwang et al., 2019) (Eq. 2).
CHA+FA : 풀빅산 및 휴믹산의 탄소농도 합 , Corg : 유기탄소 농도
토양 화학적 특성 분석
토양의 pH와 전기전도도 (EC, Electrical conductivity)는 토양과 증류수의 비율을 1:5로 추출하여 측정하였고, 토양 탄소 및 질소는 원소분석기 (CHNS-932, Leco)로, 유효인산은 Lancaster법으로 추출하여 720 nm에서 비색계 (U-3000, Hitachi)로, 치환성 양이온은 1M NH4OAc (pH7.0) 완충용액으로 추출하여 유도결합 플라즈마 발광광도계 (ICP-OES, GBC)로 측정하였다 (NIAST, 2000).
통계분석
실험데이터는 SAS프로그램 (v.9.2)을 이용하여 ANOVA 검증을 통해 분석하였다. p < 0.05의 범위에서 최소유의차 검정 (LSD)을 실시하였으며 Duncan’s multiple test를 수행하였다.
Results and Discussion
작물생육 및 토양 특성 평가
투입되는 유기물원에 따른 옥수수의 생산량은 Fig. 1과 같다. 생산량은 NPKRC (13,202 ± 443 kg ha-1) > NPKR (11,352 ± 656 kg ha-1) > NPK (10,241 ± 971 kg ha-1) > Control (2,699 ± 846 kg ha-1) 순으로 잔재물 + 가축분퇴비 처리구가 가장 높았다. 본 연구와 마찬가지로 Kim et al. (2002)에 따르면 27년간 퇴비를 3요소 비료와 혼용시 3요소 비료 단독 처리보다 수량이 10% 증가하는 경향이었다고 보고였다. 그리고 잔재물처리구가 잔재물 + 퇴비 처리구에 비해 낮은 생산성을 보인 이유는 볏짚의 CN비가 높기 때문에 질소의 함량이 높은 퇴비가 투입된 처리구에 비해 작물생육에 필요한 영양소의 공급이 상대적으로 낮은 것이 원인이라고 판단된다 (Seo et al., 2015).
투입되는 유기물원에 따른 옥수수 수확 후 토양 화학성 변화는 Table 2와 같다. 토양 pH 및 EC가 유기물을 시용함에 따라 증가하는 경향이었으며 NPKRC에서 가장 높게 증가하는 경향이었다. 이러한 결과는 Hwang et al. (2013)의 볏짚과 볏짚퇴비를 장기간 연용하였을 때 pH 및 EC가 증가하는 것과 유사한 경향으로, 이는 토양에 유기물을 투입하면 비료만 투입했을 때보다 EC가 증가하고 이로 인해 pH가 증가한다고 알려져 있다 (Hodges, 1987; Kim et al. 2005). 유기물 함량 (OM) 또한 증가하는 경향이었으며 이러한 OM의 증가는 잔재물 처리구보다 잔재물 + 퇴비처리구가 더 높은 것으로 나타났다. 그러나 유기물원을 투입하지 않은 NPK처리구나 Control에서 유기물의 함량이 크게 저하되지 않은 이유는 옥수수 뿌리나 그루터기에 의한 것으로 생각된다 (Yang et al., 2006; Hwang et al., 2013).
Table 2.
Soil chemical properties after 5 years of different agricultural practices.
총 질소 (TN) 및 유효인산 (Avail. P2O5)도 유기물원을 투입한 처리구에서 증가하였으며 특히 퇴비를 처리한 처리구에서 유효인산이 급격히 증가한 이유는 퇴비 내 높은 인산함량과 무기질비료의 인산이 퇴비와 결합하여 인산의 고정을 억제했기 때문이라고 판단된다 (Yoon, 1983; Kwak et al., 1990; Yang et al., 2006; Hwang et al., 2013).
투입 유기물원에 따른 토양 유기 탄소, 용적밀도 및 토양유기탄소 저장량
투입 유기물원에 따른 토양유기탄소 (soil organic carbon, SOC), 용적밀도 및 토양유기탄소 저장량 (SOC stock)의 변화는 Table 3과 같다. SOC 함량은 NPKRC (4.71 g kg-1) > NPKR (3.36 g kg-1) > NPK (2.90 g kg-1) > Control (2.20 g kg-1) 순으로 NPKRC가 Control에 비해 2.1배가량 많은 SOC가 축적되었으며 용적밀도는 처리구간 유의적인 차이가 없었다. 선행연구에 따르면 퇴비를 장기간 시용시 토양의 SOC 함량이 증가한다고 보고하고 있으며 (Six et al., 1999; Mukherjee, 2008; Rasool et al., 2008; Hong et al., 2013; Lee et al., 2013) 본 연구 또한 7년간 운영된 시험포장으로 선행연구와 유사한 경향이었다. SOC stock은 NPKRC 처리구가 21.8 kg C ha-1로 가장 많은 토양유기탄소를 저장하는 것으로 나타났다. 볏짚이나 옥수수대 같은 잔재물은 낮은 질소함량으로 C/N비가 높고, 리그닌과 같은 난분해성 화합물의 비율이 높기때문에 SOC 격리능이 높다고 알려져 있다 (Hwang et al., 2019). 본 연구 결과에서는 Control 및 NPK처리구에 비해 잔재물을 투입한 NPKR 처리구가 더 높은 SOC 저장량을 보였으며, 퇴비 처리구는 잔재물 뿐만 아니라 퇴비를 통한 탄소 투입량으로 가장 높은 SOC 저장량을 보였다.
Table 3.
Soil organic carbon (SOC) content, bulk density and SOC stock.
| Treatment |
SOC content (g kg-1) |
Bulk density (kg m-3) |
SOC stock (kg C ha-1) |
| Control | 2.20 | 1.65 | 10.9 |
| NPK | 2.90 | 1.64 | 14.3 |
| NPKR | 3.36 | 1.63 | 16.4 |
| NPKRC | 4.71 | 1.54 | 21.8 |
유기물원 종류에 따른 토양 층위별 탄소 및 질소의 축적 양상
Table 4는 투입 유기물원 종류에 따른 토양 층위별 탄소 및 질소의 축적 양상에 대한 결과이다. 탄소 및 질소를 증류수 및 열수 추출에 따라 분석한 결과 탄소의 경우 층위별로 유의적인 차이는 없었으나 투입되는 유기물원에 따라서는 유의적인 차이가 있었다. 퇴비를 투입한 처리구에서 가장 높은 WEC (999 g kg-1) 및 HWEC 함량 (2,072 g kg-1)을 보였다.
Table 4.
Water extractable carbon, nitrogen (WEC, WEN), hot-water extractable carbon, nitrogen (HWEC, HWEN) content from different fertilization and soil depth.
†Contorl, no fertilization; NPK, chemical fertilizer; NPKR, NPK+Residue; NPKRC, NPK+Residue+Compost. Numbers with the same letter within a column are not significantly differed (Duncan’s test, p < 0.05). *WEC, water extractable carbon; WEN, water extractable nitrogen; HWEC, hot-water extractable carbon; HWEN, hot-water extractable nitrogen.
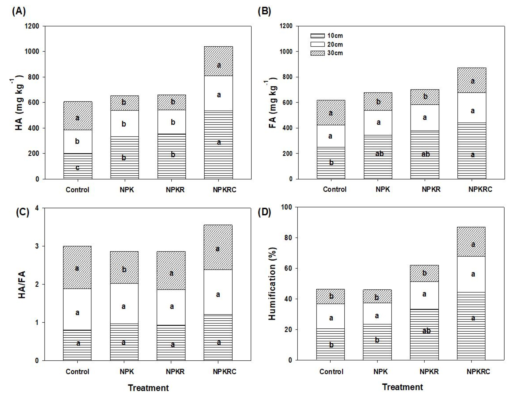
토양 내 휴믹산과 풀빅산의 변동
Fig. 2는 처리구 및 토양 깊이별 휴믹산 (humic acid, HA) 및 풀빅산 (fulvic acid, FA)를 분획한 결과이다. Hwang et al. (2019)에 따르면 퇴비 및 잔재물을 투입할 경우 HA 및 FA함량이 17 - 25%가량 증가된다고 보고하고 있으며 Arlauskiene et al. (2010)은 11 - 28%를 증가시킨다고 보고하였다. 본 연구결과 HA 함량은 NPKRS가 1,040mg kg-1로 가장 높았으며 NPKR (662 mg kg-1) ≒ NPK (654 mg kg-1) ≒ Control (677 mg kg-1) 순이었으며, Control 및 NPK처리구에 대비한 HA 증가율은 34.9 - 37.1%였다. 그리고 FA함량은 NPKRC처리구 (874 mg kg-1) > NPKR처리구 (703mg kg-1) > NPK처리구 (677 mg kg-1) ≒ Control (670 mg kg-1)였으며, FA 증감율은 22.5 - 23.3%였으며 선행연구의 결과와 유사한 경향이었다. Tavares and Nahas (2014)에 따르면 토양 깊이에 따라 HA 및 FA의 함량이 줄어든다고 하였으나 본 연구에서는 유의적이지는 않지만 증가하는 경향이었다. 이는 경운으로 토양 깊이별에 따른 교란이 원인이라고 판단된다 (Hwang et al., 2019). HA/FA 비는 모든 처리구에서 0.96 - 1.19의 범위로 나타났으며, 난분해적 특성을 지닌 잔재물과 이분해적 특성을 지닌 퇴비를 혼용하였기 때문으로 판단된다.
본 연구는 투입되는 유기물원에 따라 작물생육, 토양특성의 변화를 조사하고 축적되는 탄소를 분획하여 탄소 축적양상을 평가하고자 하였다. NPK처리구 대비 잔재물 혼합 시 4%, 잔재물과 퇴비를 함께 시용 시 21%의 수량 증수를 확인하였다. 토양 탄소 함량 또한 유기물 투입량 증가와 함께 증가하였으며, 난분해성 및 이분해성 탄소가 최대 37 및 23% 증가하였다. 토양의 물리적 특성을 나타내는 대표적인 항목인 용적밀도 값을 통해 7년간의 볏짚과 퇴비 투입에 따라 토양의 공극과 입단발달효과를 확인하였다. 이를 통해 유기물원의 투입은 작물의 생산량을 증대효과 뿐만 아니라 유기물 축적에 따른 토양 건전성확보에 효과적임 확인하였다. 대체로 질소 함량이 낮은 작물 잔사와 비교적 질소 함량이 높은 가축분 퇴비를 혼용함으로서 유기물 분해 속도를 조절하여 양분 공급과 탄소 축적 효과를 높힐 수 있어 퇴비와 작물잔사를 함께 시용하는 토양관리방법을 제안할 수 있다. 본 연구를 기반으로 주요 작물들의 부산물과 퇴비의 혼용방법 및 효과를 연구하여 농업부산물 활용방법을 개발 할 수 있다고 판단된다.





