Introduction
Materials and Methods
문헌 검색 및 데이터 수집
메타분석
Results
토양 산소 조건 및 재배 작물별 N2O 배출에 관한 바이오차의 효과
실험 조건별 N2O 배출에 관한 바이오차의 효과
바이오차 특성별 N2O 배출에 관한 바이오차의 효과
토양 이화학적 특성이 N2O 배출에 미치는 영향
Discussion
토양의 혐기 및 호기 조건별 N2O 배출
실험조건별 N2O 배출
바이오차 특성별 N2O 배출
토양 특성별 N2O 배출
Conclusions
Introduction
기후변화는 육상 생태계에서 가장 큰 탄소 저장고인 토양을 교란하는 등 세계 식량 생산과 온실가스 배출에 결정적으로 영향을 미쳤다 (Lal, 2016; Zhang et al., 2020a). 이에 기후변화 완화와 식량안보 유지는 전 세계 농업분야의 주요 도전과제로 여겨지고 있다 (Zhang et al., 2018). 전 세계적으로 온실가스를 배출하는 다양한 분야 중 농업에서 배출하는 온실가스 배출량은 연간 5.1 - 6.1 Pg으로, 전체 배출량의 10 - 12%에 해당한다 (Cui et al., 2014; Case et al., 2015). 이러한 이유들로 국내에서 2030년의 온실가스 감축 목표가 설정되었고, 농업을 포함한 모든 산업 분야에 온실가스 감축량이 할당되었다 (Lee et al., 2021a). 2021년 10월에 2030년까지의 수정된 감축 목표가 설정되었으며, 농업부문은 2018년 배출량 대비 250만 톤의 온실가스를 감축해야 한다 (JRM, 2021).
농업부문에서 주로 발생하는 메탄 (methane, CH4)과 아산화질소 (nitrous oxide, N2O)의 지구온난화지수 (global warming potential, GWP)는 CO2에 비해 각각 28배, 265배에 이르러 지구온난화에 미치는 영향이 훨씬 크다 (IPCC, 2014; Feng et al., 2018). N2O는 주로 밭 토양에서 배출되고, 논에서는 그 양이 상대적으로 적다. 그러나 논과 밭에서 모두 배출되는 가스이며, 대기 중에 100년 이상 존재할 수 있기 때문에 N2O 배출량 감축은 기후변화 완화를 위해 매우 중요하다 (Deng et al., 2019). 농경지 토양을 효과적으로 관리한다면 농작물 생산에서 중요한 역할을 할 뿐만 아니라 토양 탄소격리에 따른 기후변화 완화와 N2O 배출 감소에도 기여할 수 있다 (Wiesmeier et al., 2014; Gross et al., 2022).
현재까지 연구되고 있는 영농 관리 기술로써 농경지 무경운 기술 (Lee et al., 2010, 2019; Kim et al., 2012; Feng et al., 2018), 휴경기 녹비작물 재배 및 환원 (Lee et al., 2019; Arif et al., 2021), 관개 관리 등 여러 기술들이 연구되어왔다 (Pandey et al., 2014; Lee et al., 2020a; Gwon et al., 2021). 이와 같은 전통적인 영농 관리 기술과 함께 근래에 바이오차를 활용한 온실가스 감축 기술도 주목받고 있다 (Woo, 2013; Lee et al., 2020b, 2021b). 바이오차는 바이오매스 (biomass)와 숯 (charcoal)의 합성어로 바이오매스를 산소가 없는 환경에서 열분해하여 만들어진 탄소 고형물이다 (Lehmann, 2007). 분해에 대한 저항성이 있는 바이오차를 토양에 투입하면 토양 탄소 함량이 증가하여 (Lee et al., 2020b), 토양의 물리 ‧ 화학 ‧ 생물학적 성질 회복을 유도할 수 있다고 평가되고 있다 (Bai et al., 2015; El-Naggar et al., 2018; Han et al., 2021). 더불어 무기태 질소 흡착 (Van Zwieten et al., 2010a), 토양 탈질화 (Uchida et al., 2019; Shi et al., 2022) 등에 직 ‧ 간접적으로 영향을 미침으로써 N2O 배출을 저감하는 것으로 평가되고 있다 (Case et al., 2015; Li et al., 2021). 하지만, 토양의 수분-공기 함량은 공기 순환과 미생물의 산소 가용성을 조절하여 질산화와 탈질화에 관여하기 때문에 N2O 배출에 차이를 발생시킨다 (Cayuela et al., 2014). 여러 가지 변수들로 인하여 N2O 배출량 완화에 미치는 영향은 일관성이 없어 지속적인 연구의 필요성이 제시되었다 (Shakoor et al., 2021a).
메타분석은 여러 조건에서 연구된 데이터를 종합하여 정량화하기 위한 통계적 접근법이다 (Shakoor et al., 2021a). 메타분석은 다양한 공간적 시간적 규모에서 연구된 결과들을 체계적으로 정량화하기 위해 수행된다 (Freeman et al., 1986). 현재까지 바이오차의 온실가스 감축 효과 관련 메타분석은 세계적인 단위에서 진행된 바 있다 (Cayuelaet al., 2014; Shakoor et al., 2021a; Xu et al., 2021; Das et al., 2022). 농경지임에도 불구하고 논과 밭은 영농방식 및 토양 조건이 다르기 때문에 배출되는 온실가스 및 경향이 다르다 (Liu et al., 2019a).
그러나 기존의 메타분석은 이러한 구분 없이 N2O 배출에 대한 바이오차의 효과를 연구하였다 (Cayuelaet al., 2014; Shakoor et al., 2021b; Xu et al., 2021). 아시아 국가들은 전 세계 농경지 질소 투입량의 55%를 차지하고 있으며, 대기 중으로 배출되는 질소의 약 70%를 차지하고 있다 (Liu et al., 2010a). 이 중 동아시아권 농경지도 N2O 배출에 상당부분 기여하고 있다 (Liu et al., 2010b). 동아시아에서는 볏짚과 볏짚을 포함한 대나무와 작물 잔여물이 바이오차 원료로 널리 사용되고 있지만 (Oo et al., 2018; Wang et al., 2018; Yamamoto et al., 2019), 유럽에서는 목재와 가축 분뇨를 사용하는 경우가 많다 (Cayuela et al., 2014; Subedi et al., 2016; Gross et al., 2022). 동아시아 농경지가 전 세계 N2O 배출량에 크게 기여하고 있음을 고려할 때 (Liu et al., 2010b), 바이오차의 실용화를 위해 동아시아 국가들을 대상으로 N2O 감축 효과에 대한 종합적 평가가 필요하다 (Lee et al., 2021c). 또한, 호기 및 혐기 조건에 따라 N2O 배출량에 차이가 있기 때문에 산소 조건에 따른 바이오차 투입 효과도 종합적으로 분석할 필요가 있다.
따라서 이 연구는 기후변화 완화를 위해 바이오차의 종합적이고 정량적인 효과를 알아보고자 하였다. 이를 위해 (1) 동아시아권 농경지의 혐기 및 호기 조건별로 N2O 배출에 대한 바이오차의 효과를 종합 분석하고, (2) 실험조건 및 토양, 바이오차 특성이 N2O 배출에 미치는 영향을 분석하였다. 이 연구 결과는 향후 논과 밭 토양에 바이오차를 투입함으로써 발생되는 N2O 배출량을 예측할 수 있는 기초 자료로 활용될 수 있을 것으로 기대된다.
Materials and Methods
문헌 검색 및 데이터 수집
이 연구는 Google Scholar, ScienceDirect, SCOPUS, PubMed, KCI (Korea citation index) 검색 엔진을 사용하여 2010년부터 2022년 3월까지 발표된 연구를 수집하였다. 연구 성격에 맞게 국내 연구를 최우선적으로 선택하였고, 검색 키워드는 “Biochar”, “Nitrous dioxide”, “N2O”, “Greenhouse gas”, “Agricutural land”, “Cropland”, “Upland”, “Paddy”를 사용하였다. 연구 선정은 다음과 같이 a) 적어도 하나 이상의 대조군과 처리군 비교를 통한 실험 연구, b) 바이오차의 물리적 화학적 특성을 제시한 연구, c) 국가 및 기후대를 제시한 연구, d) 표준편차 또는 표준오차를 제시한 연구, e) 토양의 물리적 화학적 성질을 제시한 연구로써, 이 모든 조건을 만족하는 연구들만 선택하였다. 대부분의 문헌은 표에서 제시한 배출량 데이터를 사용하였다. 그림으로 제시된 배출량 및 표준편차 데이터의 경우 Plot Digitizer (Ver. 2.6.9) 소프트웨어를 실행하여 최종 데이터를 추출하였다. 각 연구 문헌에서 제시한 누적 평균 N2O 배출량 값을 추출하였으며, 각기 다른 단위들은 kg ha-1로 변환하였다. 메타분석을 위해 위 조건을 모두 만족하는 연구 42개의 논문을 최종 수집하였다 (Table 1).
N2O 배출에 영향을 미치는 잠재적 요인의 효과 평가를 위해, 각종 데이터를 범주화 하였다 (Liu et al., 2019a; Shakoor et al., 2021b). 농경지의 혐기성 조건은 논으로 구분하고, 호기성 조건은 밭으로 구분하였다. 실험 유형은 Field, Incubation, Pot로 구분하였으며, 실험기간은 ≤0.5 year, ≤1 year, ≤2 year, >2 year로 구분하였다 (Zhang et al., 2020a). 토성은 Fine (silt clay, clay, sandy clay), Medium (loam, clay loam, silt, silty clay loam, silt loam), Coarse (sandy clay loam, sandy loam, loamy sand)로 구분하였다. 토양 pH는 ≤6.5 (acidic), 6.6 - 7.3 (neutral), 7.3 (alkaline)으로 구분하였고, 토양 C/N은 ≤10, >10으로 구분하였다 (USDA, 1999). 바이오차 원료는 Herbaceous (straws, bamboo, green-waste), Biosolids (sewage sludge from treatment plants), Wood (willow, pine, oak, sycamore, wood mixtures), Manure (from pig, poultry, cattle), Lignocellulosic waste (rice husk, nuts shells)로 구분하였다. 바이오차 열분해 온도는 ≤400, ≤500, ≤600, >600으로 구분하였으며, 바이오차 투입량 (ton ha-1)은 ≤10, ≤20, ≤30, ≤40, >40으로 구분하였다. 바이오차의 pH는 ≤6.5 (acidic), 6.6 - 7.3 (neutral), >7.3 (alkaline)으로 구분하였으며, 바이오차 C/N은 ≤50, ≤150, ≤300, >300으로 구분하였다 (Cayuela et al., 2014; Table 1).
Table 1.
Factors categorized as predictive variables in this meta-analysis.
메타분석
이 연구에서 각기 다른 개별연구들의 표준화를 위해 반응비율 (response ratio)을 사용하여 아래와 같은 효과 크기를 계산하였다 (Hedges et al., 1999).
여기서, Xt는 바이오차를 투입한 실험 처리구의 값을 의미하고, Xc는 대조구의 값을 의미한다. 만약, 표준편차 (standard deviation, SD)가 아닌 표준오차 (standard error, SE)만 제시된 경우, SD는 다음과 같은 방정식을 이용하여 변환하였다.
여기서, N은 반복수를 나타내며, 95% 신뢰구간 (confidence interval, CI)은 다음과 같이 계산하였다.
95% 신뢰구간이 0과 겹치지 않으면 N2O 배출에 대한 바이오차 개량 효과가 유의미한 것으로 간주하였다. 범주화된 변수의 평균은 95% 신뢰구간과 겹치지 않는 경우 유의한 것으로 해석하였다 (Zhang et al., 2020a).
개별 효과크기 및 평균 효과크기의 계산은 R 소프트웨어에서 “metafor” 패키지 (Viechtbauer, 2010)의 “ROM” 함수를 사용하여 분석하였다. R 소프트웨어를 사용하여 데이터 세트의 평균 효과 크기를 분석했으며, 95% 신뢰구간 (confidence interval, CI)은 실험구와 대조구 간의 N2O 배출량의 차이가 통계적으로 유의한지 여부를 결정하기 위해 계산되었다.
반응비율로 도출된 효과크기는 이해의 용이성을 위해 다음과 같이 백분율로 변환하였다 (Shakoor et al., 2021a; Das et al., 2022).
Results
토양 산소 조건 및 재배 작물별 N2O 배출에 관한 바이오차의 효과
토양 산소 조건에 따른 바이오차의 효과를 분석한 결과, 바이오차 투입으로 농경지에서 배출되는 N2O를 약 33.0 ± 15.0% 감축하는 것으로 분석되었다 (p < 0.001). 혐기 조건인 논에서는 37.5 ± 4.1%의 N2O를 저감하는 것으로 나타났고, 호기 조건인 밭에서는 28.1 ± 2.0%를 저감하는 것으로 나타났다. 다만, 밭에서 배출되는 N2O는 평균 8.9 ± 1.0 kg ha-1로, 논에서 배출되는 N2O 배출량 2.0 ± 0.3 kg ha-1에 비해 4배 이상 많기 때문에 호기 조건에서 감축 효과가 더 높다 (Fig. 1).
과수원을 제외하고, 대부분의 작물 재배지에서 바이오차 투입으로 N2O가 30.9 ± 29.7% 감축되는 것으로 나타났다 (p < 0.009). 옥수수 재배지에서 67 ± 7.3%로 N2O 감축 효과가 높았으며, 2개 이상의 작물 재배지에서 59.3 ± 10.5%, 쌀 37.5 ± 4.1% 순으로 N2O 감축 효과가 높았다 (Fig. 1).
실험 조건별 N2O 배출에 관한 바이오차의 효과
호기 조건에서는 실험 방법 (-45 ± 43.3%) 및 실험 기간 (-31.6 ± 29.7%), 비료 투입량 (-22.9 ± 22.1%)에 따라 바이오차 투입효과가 유의미하게 나타났다 (p < 0.01, p < 0.004, p < 0.009). 실험 방법 3가지 유형 중 포트 실험에서 -71.3 ± 49.2%로 가장 효과가 높게 나타났으며, 현장 실험에서 -27.4 ± 2.0%로 가장 낮게 나타났다. 실험 기간에 따른 바이오차 효과의 경우, 바이오차 투입 후 2년 초과하는 기간의 감축 효과가 -50.8 ± 29.7%로 가장 높게 나타났다. 비료 투입량에 따른 바이오차 투입 효과는 150 - 300 kg ha-1 구간에서 유의하게 높은 것으로 나타났다 (Fig. 2).
혐기 조건에서 실험 방법 (-30 ± 29.7%) 및 비료 투입량 (-28.8 ± 27.1%)에 따른 바이오차의 효과는 유의미하게 나타났지만 (p < 0.01, p < 0.029), 실험 기간에 따른 효과는 유의미하지 않은 것으로 분석되었다. 호기 조건과 마찬가지로 3가지 실험 방법 중 포트 실험에서는 -39.3 ± 15%로 감축 효과가 가장 높았으며, 현장 실험 또한 -38.7 ± 4.1%로 포트 실험과 유사하게 나타났다. 비료 투입량에 따른 바이오차 투입 효과는 500 kg ha-1 초과 시 유의하게 높은 것으로 나타났다 (Fig. 2).
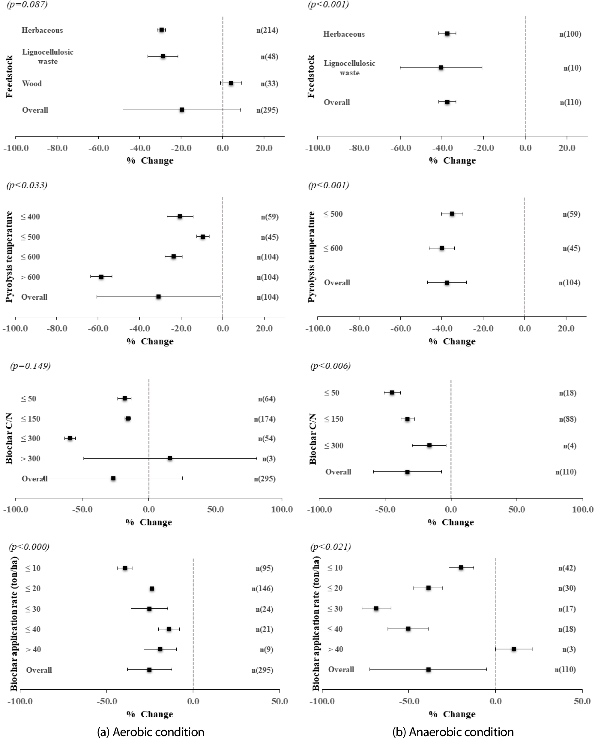
바이오차 특성별 N2O 배출에 관한 바이오차의 효과
호기 조건에서 바이오차 특성에 따른 N2O 감축 효과를 분석한 결과, 바이오차의 열분해 온도 (-30.9 ± 29.7%)와 투입량 (-25.2 ± 12.7%)에 따른 N2O 감축 효과는 유의미하게 나타났지만 (p < 0.033, p < 0.000), 바이오차의 재료 (-19.7 ± 28.4%)와 C/N 비율 (-26.7 ± 52.2%)의 감축 효과는 증명되지 않았다. 개별 요소들의 분석결과, 바이오차 재료 중에서는 왕겨와 같은 목질계 부산물이 -29.5 ± 2.0%로 N2O 감축 효과가 높았다. 그밖에 열분해 온도는 600°C 이상에서 -58.5 ± 5.1%, C/N 비율은 150 - 300 이하에서 -58.9 ± 4.1%, 투입량은 10 ton ha-1 이하에서 -39.3 ± 4.1%로 N2O 감축 효과가 있는 것으로 나타났다 (Fig. 3).
혐기 조건에서는 바이오차의 재료 (-19.7 ± 28.4%), 열분해 온도 (-30.9 ± 29.7%), C/N (-26.7 ± 52.2%), 투입량 (-25.2 ± 12.7%)에 따라 모두 N2O 감축에 관여하는 것으로 나타났다. 개별적으로 살펴보면 작물의 짚 관련 재료 (-29.5 ± 2.0%)의 감축 효과가 높았고, 열분해 온도는 500 - 600°C 이하 (-40.0 ± 6.2%), C/N 비율은 50 이하 (-44.6 ± 6.2%), 투입량은 20 - 30 ton ha-1 (-68.7 ± 8.3%)에서 N2O 감축 효과가 가장 높은 것으로 분석되었다 (Fig. 3).
토양 이화학적 특성이 N2O 배출에 미치는 영향
호기 조건에서 토양 특성에 따른 N2O 감축 효과를 분석한 결과, 토양 pH는 유의미한 효과가 나타나지 않았으나, C/N 비율 (-30.9 ± 30.9%) 및 토성 (-13.9 ± 4.1%)은 유의미한 효과가 있는 것으로 나타났다 (p < 0.048, p < 0.000). 토양의 C/N 비율이 10을 초과할 때 바이오차의 투입 효과가 -42.3 ± 3.0%로 높게 나타났다. 토성은 사토 계열 토양을 제외하면 양토 계열에서 -12.2 ± 3.0%, 점토 계열에서 -15.6 ± 2.0%로 N2O 감축 효과가 있는 것으로 나타났다 (Fig. 4).
혐기 조건에서는 토양 pH (-34.3 ± 18.5%)와 C/N 비율 (-41.1 ± 20.9%)은 N2O 감축에 유의미한 효과가 있는 것으로 나타났으나, 토성은 유의미한 효과가 나타나지 않았다. 개별 요소별로 확인한 결과, 토양 pH는 중성에서 -40.5 ± 19.7%로 효과가 가장 높았으며, C/N 비율은 10 이하에서 -46.2 ± 6.2%로 상대적으로 감축 효과가 더 높았다 (Fig. 4).
Discussion
토양의 혐기 및 호기 조건별 N2O 배출
토양에서 배출되는 N2O는 질산화 및 탈질화 등 질소 순환 과정에서 생성되는 부산물 및 중간 생성물로써, 미생물에 의해 발생한다 (Xie et al., 2020). 이러한 미생물 활동은 토양 수분함량 60%에서 가장 활발하게 일어난다 (Xie et al., 2020; Zhang et al., 2020b). Oo et al. (2018) 연구에서 토양수분 90%와 비교할 때, 50% 조건에서 질산염 (NO3-) 및 암모늄 이온 (NH4+)이 증가하였고, N2O 배출량 또한 4% 더 많이 배출되었다. 호기 조건에서 무기태 질소의 증가는 미생물에 의한 산화환원 반응으로 N2O 배출을 증가시킨다 (Oo et al., 2018; Lee et al., 2022). 이는 질산화의 최적 조건이 높은 NH4+ 함량과 높은 토양 온도 및 호기성 조건이기 때문이다 (Norton and Stark, 2011). 반면, 탈질화는 토양 온도, pH, 수분 상태, 산소, 질소, 탄소의 가용성과 같은 기후 요인간의 복잡한 상호 작용에 따라 달라진다 (Case et al., 2015). 이러한 이유들로 수분함량이 낮은 호기 조건에서는 상대적으로 수분 함량이 높은 혐기 조건보다 N2O 배출이 용이해진다.
바이오차 투입을 통한 N2O 배출 억제 메커니즘 중 한 가지는 질소 고정화로써, 토양 질산화 세균 및 탈질소 세균에 대한 무기질소의 이용 가능성을 제한하는 것이다 (Case et al., 2015). 농경지 토양의 바이오차 투입은 표면의 반응성 유기 작용기를 통해 NH4+, NO3-와 같은 무기 질소를 흡착 및 유지하여 토양 다공성과 통기성을 증가시킨다 (Ameloot et al., 2013; Bai et al., 2015; Liu et al., 2019b). 바이오차 투입을 통해 호기 조건에서는 NH4+의 가용성이 억제되어 질산화가 억제되고, 혐기 조건에서는 토양 통기성 개선을 통한 탈질화가 억제되어 N2O를 저감할 수 있다고 평가된다 (Van Zwieten et al., 2010a; Case et al., 2015).
이 연구에서 혐기 및 호기 조건 모두에서 N2O가 저감되는 것으로 나타났다. 밭과 같은 호기 조건 토양에서 바이오차 개량으로 약 28.1%의 N2O를 감축할 수 있는 것으로 나타났다. 논과 같은 혐기 조건 토양에는 37.5%의 N2O를 감축할 수 있는 것으로 나타났다. 이러한 결과는 바이오차가 N2O 배출을 완화한다는 이전 메타분석 결과들 (Cayuela et al., 2014; Jeffery et al., 2016; Liu et al., 2019a; Shakoor et al., 2021b)과도 일치하였다. 다만, 혐기 조건의 평균 N2O 배출량은 2.0 ± 0.3 kg ha-1로 호기 조건의 평균 N2O 배출량 8.9 ± 1.0 kg ha-1의 약 22.4% 수준이었다. 비록 혐기 조건에서 바이오차의 감축 효과는 37.5%로 높았으나, 대기 중으로 배출되는 양을 생각해 볼 때 혐기 조건은 0.75 kg ha-1, 호기 조건은 2.5 kg ha-1를 감축하는 효과가 있다. 대기 중으로 배출되는 N2O의 양적인 측면에서 호기 조건 시 바이오차 투입 효과가 더 높다고 할 수 있다. 결과적으로, 밭 토양의 바이오차 개량은 논 토양 개량보다 N2O 배출을 완화하는데 더 나은 성과를 낼 수 있을 것으로 기대된다 (Liu et al., 2019a).
실험조건별 N2O 배출
이 연구에서 혐기 및 호기 조건 모두 포트 실험이 현장 실험에 비해 N2O 감축 효과가 더 높은 것으로 분석되었다 (Fig. 2). 이는 상대적으로 포트 및 배양 실험은 현장 실험에 비해 실험 기간이 짧고, 바이오차를 다량으로 투입할 수 있기 때문이다 (Lee et al., 2021c). 단기적으로 바이오차는 NO3-를 흡착 및 유지할 수 있어 N2O 배출량 감축 효과가 높게 나타날 수 있다 (Ameloot et al., 2013). 또한 바이오차 표면의 풍부한 산화환원 반응성 유기 작용기는 N2O 배출 완화에 중요한 역할을 한다 (Liu et al., 2019b).
그러나 바이오차가 장시간 토양 내 노출되면 산화를 통한 화학적 특성에 변화 (Mia et al., 2017)와 유기물 또는 미생물, 중금속 및 기타 화합물 등에 의한 물리적 특성 변화가 발생하여 표면적에 변화가 생길 수 있다 (Ameloot et al., 2013). 또한 이 모든 것은 N2O 방출을 완화하기 위해 바이오차 반응성을 감소시킬 수 있으며, 이는 아마도 N2O 완화에 부정적인 영향을 초래할 수 있다 (Spokas, 2013; Duan et al., 2018). 때문에 단기적인 실험이 장기적인 실험보다 N2O 감축 효과가 더 높게 나타날 수 있다. 타 연구들 (Liu et al., 2019a; Lee et al., 2021c)도 이번 연구와 마찬가지로 현장 실험과 비교할 때 포트 실험의 N2O 감축 효과가 높은 것으로 나타났다.
하지만 혐기 조건에서 2년 이상의 바이오차 연구는 N2O 감축 효과가 가장 높은 것으로 나타났다 (Fig. 2). Qin et al. (2016); Liu et al. (2019b)은 혐기 조건인 논에 장기간 바이오차를 투입한 결과 토양 용적밀도는 낮아졌고, 양분 함량은 증하였다고 보고한 바 있다. 혐기 조건에서 지속적인 바이오차 투입을 통한 통기성 개선은 용적밀도를 낮추고, 메탄 산화에 유리한 조건을 만들기 때문이다 (Van Zwieten et al., 2010a; Jeffery et al., 2016; Feng et al., 2018).
이러한 대조적인 결과는 실험 기간 및 바이오차 투입량 이외에도 작물재배 시스템의 차이일 수 있다 (Feng et al., 2018; Wang et al., 2019). 단일 작물 재배와 이모작 재배에 따라 온실가스 배출량에 차이가 나타날 수 있으며 (Feng et al., 2018), 바이오차와 같이 투입하는 비료의 양에 따라 차이가 발생할 수 있다 (Wang et al., 2019). 이와 같이 결과들은 실험 방법 이외에도 N2O 감축 효과에 관여하는 요소들이 다양하다는 것을 시사한다. 따라서 향후 이러한 요소들을 제어한 상태에서 실험 방법별 바이오차의 N2O 감축 효과를 정량화하는 연구가 필요할 것으로 사료된다.
바이오차 특성별 N2O 배출
N2O 배출 관련 바이오차의 효과는 공급 원료 (Liu et al., 2016; Subedi et al., 2016), 투입량 (Amoakwah et al., 2020; Duan et al., 2021), 제조 온도 (Deng et al., 2021; Han et al., 2021) 토양 조건 (Van Zwieten et al., 2014; Nguyen et al., 2020) 바이오차와 관련한 다양한 변수들은 바이오차 연구에 난해성을 제시할 수 있지만 반대로 토양 N2O 배출을 감축하는 궁극적인 목표를 가진 연구들에게 바이오차 개발 가능성을 제공할 수 있다 (Cayuela et al., 2014).
이 연구에서 목재를 제외한 모든 바이오차 원료가 유의하게 N2O 감축 효과가 있는 것으로 나타났다. 타 연구들 (Cayuela et al., 2014; Liu et al., 2019a; Shakoor et al., 2021b)에서는 목재 바이오차의 N2O 감축 효과가 높게 나타났다. 그러나 이 연구의 메타분석에 포함된 목재 바이오차 연구의 경우, 질소비료 투입량이 타 연구에 비해 3배 이상 더 투입되었기 때문으로 판단된다. 질소 비료 투입이 토양 N2O 배출에 영향을 미치는 중요한 요인이 될 수 있다 (Feng and Zhu, 2017). Chen et al. (2015) 연구에서 바이오차와 요소 투입은 다량의 질소 투입과 무기 질소 흡착 및 유지 효과에 의해 N2O 배출량을 증가시켰다고 보고하였다. 이 연구에서 볏짚과 같은 작물 잔여물 바이오차의 표본 수가 214로 가장 많았고, 목재 바이오차의 표본 수는 33개밖에 되지 않았다. 이는 동아시아권에서는 볏짚과 볏짚을 포함한 작물 잔여물이 상대적으로 더 많이 발생하고 가공이 쉽기 때문으로 판단된다 (Oo et al., 2018; Wang et al., 2018; Yamamoto et al., 2019). 추후 동아시아권에서 목재 바이오차 관련 개별 연구들이 필요할 것으로 판단된다.
호기 조건과 혐기 조건에서 바이오차의 제조 온도 (호기: -30.9 ± 29.7%, 혐기: -37.5 ± 9.4%)와 투입량 (호기: -25.2 ± 12.7%, 혐기: -38.7 ± 33.6%)에 따른 유의미한 효과가 공통적으로 발견되었다. 이 연구에서 600°C 이상으로 열분해 된 바이오차의 경우, 호기 조건은 -58.5 ± 5.1%, 혐기 조건 -40.0 ± 6.2%로 N2O 감축 효과가 가장 높은 것으로 나타났다. 이는 고온에서 바이오차를 열분해하면 적당한 표면적과 바이오차의 작용기가 생성되기 때문으로 판단된다 (Beesley et al., 2011; Lee et al., 2021c). 바이오차의 열분해 온도를 높이면 탄화 정도가 증가하여 표면적이 증가하고, 결과적으로 유기 오염물질을 흡착하는 바이오차의 능력이 증가한다 (Beesley et al., 2011). 이는 NO3- 및 NH4+의 흡착을 통해 대기 중으로 배출되는 N2O를 감축하기 때문에 열분해 온도는 N2O 배출과 관계가 있다 (Ameloot et al., 2013).
바이오차 투입량은 N2O 배출량에 미치는 영향을 결정하는 데 가장 큰 영향을 미치는 변수이다 (Shakoor et al., 2021a). N2O 배출은 높은 바이오차 투입량에 의해 크게 영향을 받았다 (Shakoor et al., 2021a). 이전의 메타분석 연구들 (Cayuela et al., 2014; Liu et al., 2019a; Zhang et al., 2020a)에서도 동일한 경향을 보였다. 다만, 개별적인 측면에서 바이오차의 투입량에 따른 효과는 호기 조건의 경우 10 ton ha-1에서 효과가 가장 높았고, 혐기 조건은 20 - 30 ton ha-1에서 가장 효과가 높았다. 이러한 결과는 상대적으로 낮은 표본 수 혹은 기타 비료 처리 및 토양 특성 등의 다른 요소에 영향이 있을 것으로 판단된다. 작물 생육 및 온실가스 배출 완화 측면에서 바이오차의 재료 및 적정 비율에 대한 명확한 연구는 여전히 미흡한 수준이다. 그러므로 상황에 맞게 바이오차의 재료 및 투입량을 정량적으로 제시할 수 있는 연구가 필요할 것으로 사료된다 (Beesley et al., 2011).
토양 특성별 N2O 배출
N2O에 대한 바이오차의 효과는 토양 조건에 따라서도 차이를 보인다 (Van Zwieten et al., 2014; Nguyen et al., 2020; Lee et al., 2022). 이 연구에서 토양 C/N은 호기 조건 (p < 0.048)과 혐기 조건 (p < 0.001) 모두에서 N2O 감축에 유의미한 효과가 있는 것으로 나타났다. 토양 C/N은 질소 순환을 제어하는 중요한 변수이며, 특히 NH4+와 유기탄소 가용성을 제어함으로써 N2O 배출에 영향을 미치는 무기화, 질산화 및 부동화에 관여한다 (Klemedtsson et al., 2005). 질산화는 N2O를 생성할 뿐만 아니라 탈질소에 의한 N2O 생성의 기질인 NO3-를 공급하기 때문에 C/N이 낮은 토양 (예: <25 - 30)은 C/N이 높은 토양보다 N2O 배출량이 더 높다고 보고되었다 (Klemedtsson et al., 2005). 따라서, 본질적으로 더 높은 N2O 생산 잠재력 때문에 낮은 C/N을 가진 토양에서 바이오차에 의한 N2O 감소가 더 효과적일 가능성이 높다 (Lee et al., 2021c).
그밖에 토양 pH와 토성 또한 N2O 배출에 상당한 영향을 미칠 수 있다 (Zhang et al., 2020a; Shakoor et al., 2021b). 토양 pH는 호기 조건에서는 유의미한 N2O 감축 효과가 나타나지 않았지만 (p = 0.122), 혐기 조건에서는 유의미한 N2O 감축 효과가 있는 것으로 나타났다 (p < 0.006). 바이오차를 투입하면 토양 pH가 증가하며 (Van Zwieten et al., 2010b; Dong et al., 2015), 통기성이 개선된다 (Zhao et al., 2019). 증가된 토양 pH가 N2O 환원효소의 활성을 증가시키고, 질화 및 탈질 단계에서 발생하는 N2O 생성물 비율을 감소시킬 수 있기 때문에 산성 토양에서 바이오차 투입은 N2O 완화에 더 효과적일 것으로 생각됐다 (Van Zwieten et al., 2010b; Lee et al., 2021c). 그러나 Xiao et al. (2019) 연구에서는 산성인 토양에서 질산화를 촉진하는 암모니아 산화고균 (ammonia oxidizing archaea, AOA)과 암모니아 산화세균 (ammonia oxidizing bacteria, AOB)의 다양성을 증가시켰다고 보고했다. 또한 Lee et al. (2021c)의 바이오차 효과 리뷰 연구에서도 pH에 따른 정량적인 효과를 찾지 못하였으며, 일부 연구에서는 토양 pH의 단순한 변화가 바이오차에 의한 N2O 완화의 유일한 이유가 아닐 수 있다고 보고하였다 (Cayuela et al., 2014). 따라서 토양 pH가 토양 미생물 활동에 영향을 미치는 변수이기 때문에 N2O 배출과 관계가 없지 않지만, 절대적인 변수는 아닐 수 있다고 판단된다.
토성에 따른 바이오차의 효과는 호기 조건에서 유의미하게 N2O 감축 효과가 나타났지만 (p < 0.001), 혐기 조건에서는 유의미한 N2O 감축 효과가 나타나지 않았다 (p = 0.776). 타 메타분석 연구에서도 유의미한 효과가 있었던 연구들 (Cayuela et al., 2014; Liu et al., 2018, 2019a; Zhang et al., 2020a)이 있는 반면, 유의미한 효과가 없는 연구들 (Lee et al., 2021c; Shakoor et al., 2021b)이 있는 것으로 비춰볼 때 보다 토성과 관련한 기초 연구가 필요할 것으로 판단된다.
종합해보면, 토양의 N2O 배출은 공급원료 (분뇨, 목재, 초본 등), 지역 토양 조건 (pH, 산소, 수분, C/N, 토성 등), 농업 관리 활동 (퇴비, 비료 등) 및 기후의 영향을 받을 수 있다 (Suddick and Six, 2013). 그러나 바이오차 개량으로 N2O 가스를 줄이기 위한 메커니즘은 여전히 미흡하며 보다 정량적인 데이터가 필요하다. 동아시아권의 N2O 감축 효과에 대한 메커니즘 연구는 더욱더 제한적이다 (Lee et al., 2021c). 바이오차의 N2O 감축 효과는 다양한 변수들에 의해 변할 수 있기 때문에 향후 이러한 변수들에 대한 우선순위가 명확하게 증명될 수 있는 연구가 필요할 것으로 사료된다.
Conclusions
동아시아 농경지의 바이오차 투입은 토양으로부터 배출되는 N2O를 저감하는 것으로 나타났다. 바이오차 개량을 통해 농경지에서 배출되는 N2O를 약 33.0 ± 15.0% 감축할 수 있으며, 혐기 조건인 논에서는 37.5 ± 4.1%, 밭과 같은 호기 조건에서 28.1 ± 2.0%를 감축할 수 있을 것으로 나타났다. 비록 혐기성 조건에서 N2O 감축 효과가 더 높았으나, 호기 조건에서 배출되는 N2O가 약 4배 더 많았기 때문에 대기 중으로 배출되는 N2O를 고려하면 호기성 조건에 투입 시 N2O 감축 효과가 더 높을 것으로 사료된다. 이는 밭과 같은 호기성 조건 토양에서 논과 같은 혐기성 조건 토양보다 바이오차 투입 효과가 더 높을 수 있다는 것을 시사한다. 이 연구에서는 농경지에서 배출되는 3대 온실가스 중 N2O 배출에 관한 바이오차의 효과만을 분석하였으며, 질소와 관련 있는 암모니아 (ammonia, NH3) 휘산에 대한 결과를 포함하지 못한 것에 한계가 있다. 따라서 향후 CO2, CH4, NH3를 포함한 연구가 필요할 것으로 판단된다. 그럼에도 불구하고, 이 연구 결과는 향후 논과 밭 토양에 바이오차를 투입함으로써 발생되는 N2O 배출량을 예측할 수 있는 기초 자료로 활용될 수 있을 것으로 기대된다.







