Introduction
Materials and Methods
토양 비료 처리
센서를 이용한 토양 EC 모니터링
토양 양분 함량 분석
통계분석
Results and Discussion
고추 생육 기간 내 센서를 이용한 토양 EC 모니터링
밑거름 처리에 따른 토양 양분 함량 변화
센서 EC와 토양 양분 함량의 상관관계
Conclusions
대제목
지속가능한 농업을 목표로 작물의 생산성을 유지하고 농업에 의한 환경 오염을 최소화하기 위해 토양의 양분을 적절하게 관리할 필요가 있다 (Getahun et al., 2024). 국내 농경지 토양의 경우 과량의 비료 사용으로 인해 양분 함량이 적정 기준치를 초과하는 경우가 있다. 경기지역 밭토양의 토양 화학성 평가 결과 인산비료의 소모량 대비 시비량이 많아 유효인산 함량의 과다 비율이 52%로 나타난 반면 교환성 칼륨은 부족 비율이 33%, 과다 비율이 48%로 나타나 밭토양의 적정 시비가 필요한 것으로 보고하였다 (Roh et al., 2018). 토양의 양분을 적절하게 관리하기 위해서는 토양의 양분 상태를 평가하여 경작지 토양의 비옥도 상태 또는 시비 처방에 따라 비료를 공급해야 한다.
토양에 존재하는 유효태 양분 현황을 파악하기 위해 사용하는 이화학적 분석 방법은 분석 기술과 시간이 소요되어 실시간으로 토양의 상태를 평가하기 어렵다 (Yun et al., 2014). 토양에 존재하는 유효태 양분을 실시간 직접적으로 평가할 수 있는 방법이 없기 때문에 간접적으로 측정하는 다양한 방법들이 개발되고 있다. 광학 센서는 가시광선과 적외선을 이용한 방식과 라만 분광법을 이용한 방식이 있으며 전기화학 센서에는 이온 선택성 전극과 이온 선택성 전계효과 트랜지스터 등이 있다 (Burton et al., 2020). 이온 선택성 전기화학 센서는 토양 추출액이 필요하고 주기적인 보정이 필요하다는 단점이 있어 현장에서 활용이 어렵다. 광학 센서는 비파괴적 방법이며 시료 전처리가 필요 없으나 토양 특성에 의해 결과값이 영향을 받으므로 보정이 필요하다 (Burton et al., 2020). 광학적 방법 중 농경지 양분 평가에 가장 많이 적용하는 Visible Near-Infrared (Vis-NIR)를 이용한 방법은 토양에 적절한 파장의 광원을 조사하여 토양에 존재하는 유무기 물질의 분자 특성에 따라 고유한 반사율과 흡광도의 스펙트럼으로 질소, 인, 칼륨 함량을 평가한다 (Mukherjee and Laskar, 2019). 그러나 이 방법은 토양에 센서를 삽입하고 지속적으로 양분 함량을 측정하는 방식이 아니고 토양 시료를 채취한 후 휴대용 센서로 분석하거나 이동형 장치에 센서를 부착하여 농경지 토양의 데이터를 수집하고 데이터의 변환과 해석이 필요하기 때문에 토양의 양분 상태를 연속적으로 평가할 수 없다.
토양의 전기전도도 (electrical conductivity, EC)는 용액에 존재하는 이온의 세기를 측정하기 때문에 작물이 이용할 수 있는 양분 예측에 적용 가능하다 (Kim and Park, 2021). 그러나 토양 EC는 토양의 수분 함량과 유기물 첨가에 의해 영향을 받으며 수분과 유기물 함량이 증가할수록 EC가 증가하기 때문에 이에 대한 보정이 필요하다 (Kim and Park, 2024). 따라서 EC 센서를 농경지 토양의 양분 관리에 활용하기 위해서는 전기전도도와 토양에 존재하는 유효태 양분과의 상관관계를 평가해야 한다. 본 연구의 목적은 노지 고추 재배 토양에서 밑거름 처리와 관비 공급에 따른 토양 EC 센서 모니터링 결과를 토양의 유효태 양분 함량과 비교 분석하여 EC 센서를 농경지 토양의 실시간 양분 모니터링에 활용할 수 있을지 평가하는 것이다.
Materials and Methods
토양 비료 처리
시험 처리구는 비료를 처리하지 않은 무처리구 (Control)와 밑거름에 사용한 비종에 따라 무기질비료 (chemical fertilizer, CF), 유기질비료 (organic fertilizer, OF), 가축분퇴비 (composted livestock manure, CM)로 나누었으며 각 처리구당 면적은 40 m2이며 3반복으로 수행하였다.
시험 전 토양의 물리화학적 특성은 Table 1에 나타내었으며 토양검정 비료사용량에 따라 질소 (N) - 인산 (P2O5) - 칼리 (K2O) 성분량으로 28.0 - 0 - 28.5 kg ha-1를 밑거름과 웃거름 30:70 비율로 시비하였다. 밑거름 공급 시 유기질비료와 가축분퇴비는 질소량 기준으로 각각 1953 kg ha-1, 4771 kg ha-1를 시비한 뒤 부족한 칼리는 염화칼리로 보충하였다. 유기질 비료는 질소 (N) - 인산 (P2O5) - 칼리 (K2O) = 4.3 - 1.7 - 1.0%인 혼합유박비료를 사용했으며 가축분퇴비는 우분과 계분이 혼합된 퇴비로 수분함량 50%, 현물의 총질소 (total nitrogen, TN), P2O5 및 K2O 함량은 각각 1.7%, 1.9%, 1.3%였다. 밑거름은 2023년 4월 29일에 처리하였고 웃거름은 비료 무처리구를 제외하고 나머지 처리구에 요소와 염화칼리를 사용하여 고추 정식 14일 후 10일 간격으로 13회에 나누어 관비로 공급하였다. 고추 (Capsicum annuum L.)는 충청북도 괴산군의 노지 포장에 2023년 5월 10일에 정식하여 동년 9월 26일까지 약 5개월간 생육하였다.
Table 1
Soil physicochemical properties before fertilization.
|
Soil texture |
pH (1:5) |
EC (dS m-1) |
SOM (%) |
NH4+-N (mg kg-1) |
NO3--N (mg kg-1) |
Available P2O5 (mg kg-1) |
K (cmolc kg-1) |
Ca (cmolc kg-1) |
Mg (cmolc kg-1) |
| Loam | 6.2 | 1.2 | 2.8 | 10.1 | 46.5 | 749.6 | 0.3 | 10.4 | 2.2 |
센서를 이용한 토양 EC 모니터링
고추 정식 2주 후부터 수확기까지 센서를 이용해 토양 EC를 연속적으로 모니터링하였다. 각 처리구의 작물 사이 토양 표면으로부터 약 10 cm 깊이에 Teros 12 센서 (METER Group, USA)를 설치하였고 ZL6 데이터 로거 (METER Group, USA)를 통해 15분마다 수집된 토양 수분함량, 온도, bulk EC 값을 획득하였다. 센서 EC는 수분함량에 따라 변화하며 양토 및 사양토는 수분함량 10 - 25%일 때 토양 수분함량과 토양 EC가 선형적인 상관관계가 있다 (Kim and Park, 2024). 따라서 측정된 센서 EC 값은 25% 수분함량에 대해 Eq. 1을 사용하여 보정하였다.
위 Eq. 1에서, 은 25% 수분함량에 대해 보정된 EC (dS m-1)를 나타내며, 는 센서로 모니터링한 EC (dS m-1), 는 센서로 모니터링한 수분함량(%)을 나타낸다.
토양 양분 함량 분석
토양의 양분 함량과 측정된 센서 EC 사이의 상관관계를 파악하기 위해 토양시료채취기 오거 (auger)를 사용하여 0 - 15 cm 깊이의 고추 재배 토양을 정식 2일 후부터 한 달 간격으로 4회 채취하여 분석하였다. 채취한 토양은 풍건한 후 2 mm 체를 통과시켜 분석에 사용하였다. 토성은 비중계법 (Gee and Bauder, 1986)으로 입자분포를 측정하여 미국 농무성 (United States Department of Agriculture, USDA)의 토성삼각도에 따라 결정하였다. 토양 유기물 함량은 Walkley-Black법에 따라 분석하였다 (Walkley and Black, 1934). 토양의 pH와 EC를 측정하기 위해 건조 토양 5 g에 초순수 25 mL를 첨가하여 180 rpm에서 30분간 진탕한 후 pH/conductivity meter (A215 pH/Conductivity Benchtop Multiparameter Meter, Thermo-Fisher Scientific, USA)를 사용하여 침출액의 pH와 EC를 측정하였다 (NIAST, 2000). 토양 교환성 양이온 함량 분석을 위해 토양 2 g에 1 M ammonium acetate 20 mL를 첨가하여 180 rpm에서 30분간 진탕한 후 0.45 µm 주사기 필터로 여과하였다. 여과액의 교환성 양이온 함량은 유도결합 플라즈마 분광광도계 (ICP-OES Avio 500, Perkin Elmer, USA)를 사용하여 분석하였다. 토양 무기태 질소 함량 분석을 위해 건조하지 않은 토양 2 g에 2 M KCl 20 mL를 넣고 180 rpm에서 30분간 진탕한 후 0.45 µm 주사기 필터로 여과하였다. 여과액의 암모늄태 질소와 질산태 질소 함량은 각각 indophenol-blue법과 VCl(III)-reduction법으로 분석하였다 (Novamsky et al., 1974; Doane and Horwáth, 2003). 토양 내 유효인산 함량은 Bray No.1법을 사용하여 분석하였다 (Bray and Kurtz, 1945).
통계분석
처리구는 3반복으로 처리하였으며 토양분석도 3반복으로 수행하여 결과를 평균과 표준편차를 사용해 표시하였다. 밑거름 비료 처리구별 토양 양분 함량 차이를 비교하기 위해 SPSS 27 소프트웨어 (IBM, USA)를 사용하여 일원 배치 분산분석 (One-way ANOVA)을 수행하였다. 사후 분석은 Duncan’s multiple range test (DMRT)로 실시하였다. 센서 EC는 수분함량이 25%일 때의 값으로 보정하여 토양 채취일의 평균값으로 계산하고 토양 양분 함량과의 상관관계를 파악하기 위해 피어슨 상관계수 (Pearson’s correlation coefficient)를 분석하였다 (n = 44).
토양 시료 채취 시기별 양분 함량과 센서 EC 값 사이의 상관 분석 및 주성분 분석 (principal component analysis, PCA)은 Xlstat (Addinsoft, USA)를 사용하여 실시하였다. 통계분석의 유의 수준은 p < 0.05로 하였다.
Results and Discussion
고추 생육 기간 내 센서를 이용한 토양 EC 모니터링
고추 생육 기간동안 센서 EC 값은 0.07 - 0.41 dS m-1 범위로 처리구에 따른 뚜렷한 차이를 보였다 (Fig. 1). 고추 정식 직후 센서 EC는 OF > CF > Control > CM 순으로 나타났다. 이는 밑거름에 따라 양분의 함량과 양분의 형태가 달라 처리 이후 용출량이 다르기 때문인 것으로 판단된다. 퇴비 제조 시 수분조절제로 사용되는 톱밥의 분해가 어려워 퇴비 사용이 단기간일 경우 분해 속도가 늦다 (Kim et al., 2000; Lee et al., 2021). 센서 EC 모니터링은 밑거름 처리 후 약 27일 경과 후부터 데이터를 수집하여 무기질비료를 밑거름으로 처리한 것보다 유기질비료를 처리한 경우 용출이 늦어 모니터링 시점에 센서 EC 값이 높게 나타난 것으로 판단된다. 이는 양분 분석 결과에서도 칼륨과 인의 함량이 유기질비료 처리구에서 무기질비료 처리구보다 높게 나타난 것과 관련이 있다 (Fig. 2). 가축분퇴비의 경우 무처리구에 비해 센서 EC 값이 높았으나 밑거름 처리구 중 전반적으로 가장 낮은 센서 EC 값을 보였다. 가축분퇴비가 함유하는 영양소는 대부분 유기 형태이므로 분해가 느려 양분 방출이 점진적으로 일어나는 특성이 있다 (Goldan et al., 2023). 무처리구의 센서 EC는 초기에 가축분퇴비 처리구보다 높다가 급격한 감소 후 고추 생육기간 동안 가장 낮게 나타났다 (Fig. 1). 해당 시기에 모든 처리구에서 수분함량이 감소했으나 무처리구에는 비료가 공급되지 않는 상태로 다른 처리구에 비해 EC의 급격한 감소가 나타난 것으로 판단된다. Sin et al. (2023)의 연구에서도 수분함량이 낮을수록 센서 EC 값이 낮았으며 비료 처리량이 가장 적은 처리구에서 센서 EC 값이 가장 낮았다.
유기질비료 처리구는 정식 후 50일까지 무기질비료 처리구보다 센서 EC 값이 높았다 (Fig. 1). 일반적으로 무기질비료는 무기태 양분을 함유하여 빠르게 방출되지만 본 연구에서는 질소와 칼륨만 공급되었으며 유기질비료 자체에 포함된 인산 및 기타 무기 염류의 존재가 EC에 영향을 미친 것으로 판단된다. 무기질비료로 공급한 질소와 칼리는 강우량과 관개량에 따라 쉽게 유실될 수 있으므로 센서 EC에 미친 영향이 낮았던 것으로 판단된다 (Moon et al., 2024). 또한 센서 EC 값은 31 및 41 days after transplanting (DAT)에 상승하는 경향이 나타났는데, 이는 관비 처리에 따라 추가로 양분이 공급되고 유기질 비료와 가축분 퇴비에 포함된 양분이 무기화되어 센서 EC 값을 증가시킨 것으로 판단된다. 그러나 48-85 DAT에는 센서 EC 값 변화가 거의 관찰되지 않았다 (Fig. 1). 이 시기는 여름철 강우가 집중되는 시기로 노지재배 시 강우의 영향으로 관비로 공급한 양분이 용탈될 수 있다 (Zinkernagel et al., 2020). 따라서 관비 공급에 따른 EC 증가가 관찰되지 않았으며 작물의 생육이 활발한 시기이므로 양분 흡수량이 증가하여 토양의 센서 EC 값은 전체적으로 감소하는 경향을 보였다.
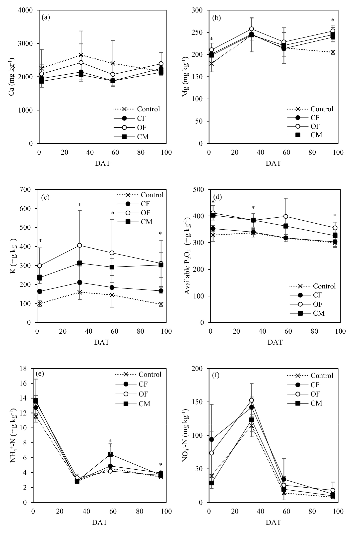
밑거름 처리에 따른 토양 양분 함량 변화
고추 생육 기간 동안 밑거름 및 관비 처리에 따른 토양 내 양분 함량 변화를 비교하였다. 토양 교환성 칼슘은 생육기간 전반에 걸쳐 처리구간 유의한 차이가 없었고 마그네슘은 고추 생육 초기 유기질비료 처리구가 무처리구보다 유의하게 높았으나 무기질비료 및 가축분퇴비 처리구와는 유의성이 나타나지 않았다 (Fig. 2a - b). 반면에 고추 생육 기간 동안 OF > CM > CF > Control 순으로 교환성 칼륨 함량이 유의하게 높게 나타났다 (Fig. 2c). 토양 유효인산 함량은 59DAT를 제외하고, 유기질비료 처리구가 무기질비료 처리구보다 유의하게 높았다 (Fig. 2d). Li et al. (2022)은 유기질비료에서 유래된 유기 음이온의 탈카복실화 및 염기성 양이온의 토양 내 환원으로 인해 무처리구와 무기질비료 처리구보다 토양 교환성 Ca, Mg, K 및 유효인산 농도를 증가시킨다고 보고하였다. 또한 본 연구의 무기질비료 처리구에는 질소, 칼리만 공급되었고 인산은 공급되지 않아 유효인산의 함량이 낮았던 것으로 판단된다.
토양 무기태 질소의 경우, 암모늄태 질소(NH4+-N)가 감소함에 따라 질산태 질소(NO3--N)가 증가하는 경향이 나타났다 (Fig. 2e - f). 관비로 공급되는 질소 비료인 요소는 토양에서 빠르게 가수분해 되어 요소 분자 하나 당 두 개의 NH4+가 방출되고, 방출된 NH4+는 질산화 과정을 통해 NO3-로 전환된다 (Seok and Park, 2024). 가축분퇴비 처리구 토양의 NH4+-N 함량은 유기질비료 처리구보다 59 DAT에 유의미하게 높았다 (Fig. 2e). 이는 유기질 비료의 원료인 유박과 퇴비의 무기화 속도 차이 때문인 것으로 판단된다. Im et al. (2017)는 유박과 퇴비의 질소 무기화 속도를 비교한 결과 유박은 17일, 퇴비는 44일의 반감기를 가진다고 보고하였다. 그러나 NH4+의 함량이 10 mg kg-1 이하로 낮은 수준이었다.

Fig. 2
Available Ca (a), Mg (b), K (c), P2O5 (d), NH4+-N (e), and NO3--N (f) concentrations in soil during pepper (Capsicum annuum L.) growth under different basal fertilization: chemical fertilizer (CF), organic fertilizer (OF), composted livestock manure (CM), and control. The asterisk (*) indicates significant differences among different treatments according to one-way ANOVA (p < 0.05).
센서 EC와 토양 양분 함량의 상관관계
고추 재배기간 동안 주기적으로 채취한 토양의 양분함량을 분석하여 센서 EC와의 상관관계를 평가하였다. 센서 EC는 토양 질산태 질소, 유효인산, 토양 침출액 EC 순으로 5% 유의수준에서 피어슨 상관계수 값이 각각 0.498, 0.330, 0.314로 나타났다 (Table 2). 이러한 결과는 센서 EC 값이 토양 질산태 질소와 유효인산 함량을 반영한다는 것을 시사한다. 이전 연구에서도 1:5 추출액으로 측정한 토양 EC와 수용성 양분인 질산태 질소 사이에 유의한 상관성이 나타났다고 보고하였다 (Kang et al., 2022; Lee et al., 2022). 따라서 토양 센서 EC를 활용하여 질산태 질소와 유효인산의 수준을 평가하는 것이 가능할 것으로 판단된다. 양분들 간의 상관관계는 높게 나타나지 않았는데 이는 고추 재배 기간 중 시료를 채취하였기 때문에 작물에 의한 양분 흡수로 처리구별로 양분 함량에 차이가 크지 않았기 때문인 것으로 판단된다. 센서 EC와 토양 침출액 EC 간 유의성은 나타났으나 상관계수가 비교적 낮은 것은 두 측정 원리의 차이 때문인 것으로 판단된다. 현장 모니터링에 사용한 Teros 12 센서는 부피 기반의 전기전도도인 bulk EC를 측정하므로 토양의 수분 상태 및 공극 내 전해질 농도 등에 영향을 받는다. 따라서 토양 침출액 EC는 토양 채취 지점의 정확한 EC를 제공하지만 센서 EC는 시간에 따른 토양의 화학성 변화를 판단하는데 사용할 수 있다 (Park and Sung, 2021).
Table 2
Correlation coefficients among sensor-based EC values, pH, EC, and available nutrients (n = 44).
주성분 분석 결과로 얻은 3개의 주성분은 전체 분산의 73.6%를 설명하였으며 주성분 1 (PC1)과 주성분 2 (PC2)는 전체 분산의 38.0%, 21.6%를 각각 설명하였다 (Table 3). 주성분 1에 대하여 pH, EC, 교환성 Ca, Mg, K가 0.5 이상의 높은 적재값을 나타냈으며 센서 EC, 질산태 질소, 유효인산은 주성분 2에 대하여 0.5 이상의 적재값을 나타냈다 (Table 3). 변수의 적재값이 크다는 것은 해당 주성분에서 주요하다는 것을 의미한다. 센서 EC 값은 주성분 2에 대해 높은 적재값을 가져 센서 EC 값은 유효인산과 질산태 질소와 상관관계가 있음을 보여준다 (Fig. 3). 이는 교환성 양이온과 달리 음이온성인 질산태 질소는 용해된 형태이므로 센서 EC에 잘 반영된 것으로 판단된다 (Lee et al., 2024). Ahn et al. (2020)은 토양 EC와 수용성 음이온의 상관관계를 분석한 결과 밭토양의 경우 Cl-, NO3-, SO42-와, 과수원 토양의 경우 Cl-, NO3-, SO42-, PO43-와 정의 상관관계가 나타났다고 보고했다 (p < 0.05). 센서 EC, 질산태 질소, 유효인산, 토양 추출액 EC, 교환성 칼륨이 분포되어 있는 1 사분면에 유기질비료 처리구가 분포하고 있어 해당 변수들과 관련성이 높게 나타났다 (Fig. 3). 양파 재배 시 유기질 비료를 사용한 경우 유기자원의 점진적인 분해로 관행 재배보다 토양 EC 및 TN, 유효인산, 교환성 칼륨 함량이 증가하여 토양 내 양분 보유능력을 개선한다고 보고하였다 (Kim et al., 2025). 따라서 센서 EC 값은 밑거름으로 사용한 유기질 비료의 용출을 잘 반영한 것으로 판단된다.
Table 3
Factor loadings of first three rotated principal components.
Conclusions
전기전도도 센서를 고추 재배 토양에 설치하고 모니터링한 결과 센서 EC 값은 밑거름과 관비 처리, 고추 생육에 따라 변화하는 경향을 보였다. 센서 EC 값은 질산태 질소와 높은 상관관계를 보였으며 유효인산과도 유의한 상관관계를 나타냈으나 교환성 양이온과는 상관관계가 높지 않았다. 높은 상관관계를 보이는 것은 센서 EC를 토양에서 질산태 질소의 변화를 평가하고 적절한 양의 질소 비료를 토양에 공급하는데 활용할 수 있음을 보여준다. 질소는 작물 생육과 토양 오염에 있어 중요한 영양소이므로 질소의 함량 추정에 센서 EC를 활용하면 저비용으로 간편하게 실시간 양분 모니터링이 가능할 것이다. 질산태질소를 제외하고 토양에 존재하는 유효태 양분을 직접적으로 모니터링할 수 있는 상용화된 센서가 없는 상태에서 상용화된 EC 센서를 활용하여 토양의 양분을 예측하고 양분 관리에 활용할 수 있다.





