Introduction
우리나라 딸기 (Fragaria x ananassa)의 재배면적은 2016년도 기준 총 5,978 ha이며, 이 중 시설재배 면적은 5,844 ha로 총 재배면적의 약 97%를 차지하지만 노지재배 면적은 134 ha로 총 재배면적의 약 2%에 불과하다 (MAFRA, 2017). 노지에서 딸기를 재배할 경우 지면을 따라 낮게 자라는 특성 때문에 딸기 재배의 전 작업을 열악한 자세로 하게 되며, 고품질의 딸기 생산을 위해서는 토양 염류제거 및 소독을 통해 연작장해 예방을 해야 하는 번거로움이 있다. 이러한 문제를 해결하기 위해 고설수경재배 방식이 고안되었다. 고설수경재배는 재배베드를 높게 설치하고, 베드에 배지를 담아 딸기를 심고 양액을 공급하여 재배하는 방식으로 딸기 재배의 전 작업을 서있는 자세로 작업하기 때문에 매우 효과적일 뿐만 아니라 토양으로부터 유래되는 병해가 없다는 장점 또한 가지고 있다 (Jun et al., 2006a).
고설수경재배 시 사용되는 배지는 식물을 지지하는 역할을 하며, 수분 및 양분 공급의 역할을 한다. 고설수경재배에 사용되는 배지로는 암면, 펄라이트, 코코피트, 피트모스, 왕겨 등이 있다. 비교적 저렴한 배지인 왕겨는 고설수경재배 초기에 사용되었으나 생육과 수량이 불안정하여 지금은 사용하지 않고 있다 (Jun et al., 2006a, 2006b). 국내에서 과채류 재배에 사용되는 배지로는 펄라이트와 암면이 가장 많이 사용되었으나 (Kim et al., 2000), 최근에는 양분 및 수분 보유력이 높은 코코피트나 피트모스 배지의 사용량이 증가하고 있는 추세이다 (Jeong, 2000). 코코피트는 약산성 (pH 5.4 - 6.6)으로 보수 및 투수성이 우수하며 딸기 생육시 배지전체에 뿌리가 고르게 분포하는 특성을 가지고 있으며, 피트모스는 pH 3.5 - 5.5로 수분 보유력 및 양이온 치환 능력 (CEC)이 150 - 180 cmol kg-1으로 뛰어나며 환경친화적이라는 장점이 있다. 그러나 피트모스 배지를 재사용 하였을 경우 가밀도와 공극률이 감소하며 투수성이 나빠져 근권부가 혐기상태가 되어 뿌리 발달이 불량해지고 이로 인해 작물의 수량 및 양분함량이 감소하는 단점이 있다 (Abdul-Hafeez et al., 2015).
고설수경재배 시 사용되는 배지는 대부분 재배과정 중에 배지의 물리적 화학적 성질이 변하고, 병원균 감염에 의한 작물의 수량 감소 등으로 배지의 재사용은 권장하고 있지 않다 (Lee et al., 2002). 또한 수경재배 배지 재사용에 대한 연구는 암면, 코이어배지에 대한 연구가 대부분이었다 (Jeong and Hwang 2001; An et al., 2003; Kim and Jeong 2003; Park et al., 2003; Lee et al., 2006; Ao et al., 2008; Lee et al., 2015). 따라서 본 실험에서는 딸기 고설수경재배 시 사용되는 피트모스 배지의 사용년수에 따른 급액과 배액 내 무기성분의 농도를 비교분석하여 배지의 재사용 가능성에 대해 평가하고자 하였다.
Materials and Methods
본 실험은 2018년 9월부터 경상남도 진주시에서 수행하였으며, 공시품종은 설향을 사용하였다. 딸기재배는 고설배드에 설치된 재배조에 피트모스를 충전 후, 딸기 모종을 2018년 9월 1일 15 cm 간격으로 정식하였다. 딸기재배는 배지의 사용년수에 따라 각각 1년차 (1st), 2년차 (2nd), 3년차 (3rd) 재배조로 구분하였으며, 각각의 재배조는 4반복으로 구성하여 총 12개의 재배조에서 딸기를 재배하였다. 배양액의 EC 및 pH는 각각 1.0 dS m-1, 6.0 수준으로 조절하여 공급하였다. 정식 후 배양액의 급액과 배액을 2018년 9월 2일부터 2019년 2월 2일까지 2주 간격으로 총 11번 채취 후 -20°C 냉동고에 보관하였으며, 이후 pH, EC, 무기원소 함량 분석에 사용하였다.
채취한 배양액의 급액과 배액의 pH 및 EC는 각각 pH meter (Orion 2 star, Thermo Scientific, USA), electrical conductivity meter (Orion 3 star, Thermo Scientific, USA)를 사용하여 분석하였다. pH와 EC 분석 후 여액은 No.2 filter paper로 필터 후 ICP-OES (OPTIMA 5300DV, PerkinElmer, USA), ICP-MS (ELAN DRC II, PerkinElmer, USA)를 사용하여 급액과 배액의 무기원소 (P, K, Ca, Mg, B, Fe, Mn, Zn, Cu, Mo) 함량을 분석하였다.
급액와 배액의 무기원소 함량 차이 (∆ Xn)는 아래 식을 이용하여 계산하여, ∆값으로 나타내었다.
여기서, SXn은 n년차 사용배지 급액의 X 원소 함량을 나타내며 DXn은 n년차 사용배지 배액의 X 원소 함량을 나타낸다.
Results and Discussion
딸기 생육기간 동안 급액의 pH는 6.0 수준으로 유지가 되었으며, 1년차 배지의 ∆pH 값은 음 (-)의 값을 나타내었고 2년차, 3년차 배지의 ∆pH 값은 증가하는 경향을 나타내었다 (Fig. 1a). 이는, 배지 사용년차가 증가할 수록 배액의 pH 값이 감소함을 나타내며 딸기 생육기간 중 3년차 배액의 pH 값은 3.9 - 4.9 수준으로 감소하였다. 생육기간 동안의 급액의 EC 값은 1.0 dS m-1으로 유지가 되었으며, 배지 사용년차가 증가할수록 ∆EC 값은 감소하는 경향을 나타내었다. 1, 2년차 ∆EC의 평균값은 각각 0.14, 0.12 dS m-1이었으나, 3년차 배지의 ∆EC 값은 -0.07 dS m-1으로 배지 사용년차가 증가할수록 배액의 EC값이 증가하는 경향을 나타내었다 (Fig. 1b).
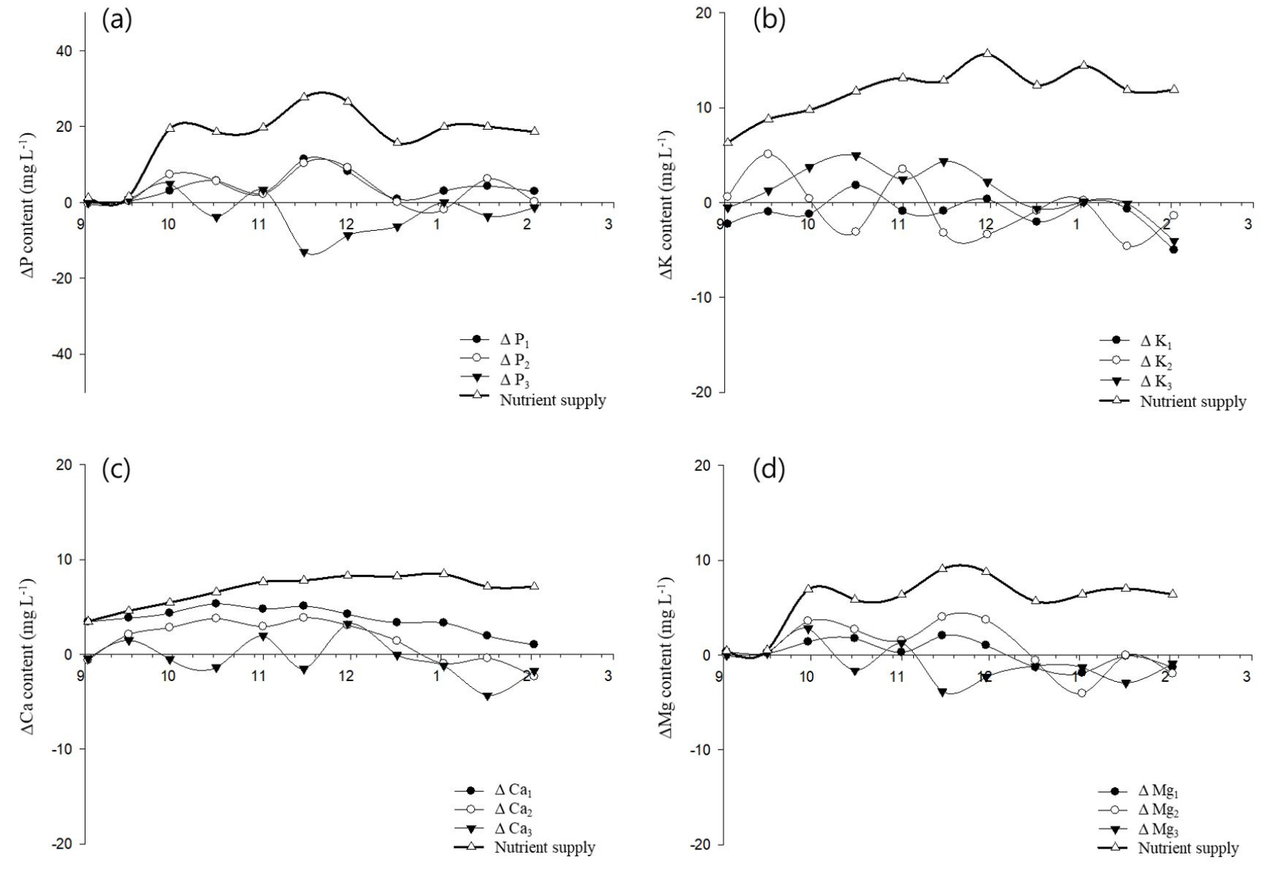
인산 (P)의 ∆값은 1년차 및 2년차 사용배지간 차이를 나타내지 않았으나 3년차 사용배지의 ∆P 값은 1, 2년차와 다른 경향을 나타내었다. 딸기 생육기간 동안 ∆P1, ∆P2의 평균값은 3.90, 3.58 mg L-1이었으나, 3년차 사용배지의 ∆P3의 평균값은 -2.49 mg L-1으로 크게 감소하였다 (Fig. 2a). 칼륨 (K)의 ∆값은 배지 사용년수간 큰 차이를 나타내지 않았으나 (Fig. 2b), 칼슘 (Ca)의 평균 ∆값은 ∆Ca1, ∆Ca2, ∆Ca3에서 각각 3.69, 1.41, -0.42 mg L-1으로 배지 사용년수가 증가할수록 감소하는 경향을 나타내었다 (Fig. 2c). 코이어 배지 재사용에 관한 연구에서는 Jang et al. (2017)에 의하면 재사용 배지의 P 함량이 1년차 배지에 비해 2년차 배지에서 더 높은 값을 나타내었으며, Lee et al. (2016)의 연구에서는 재사용 배지의 Ca 및 P의 함량이 모두 증가하였음을 보고하였다. 본 실험에서 ∆P와 ∆Ca 값의 감소는 배액의 Ca 및 P 함량의 증가에 의한 것이며, 이는 배지의 양분 보유력이 감소하였기 때문인 것으로 판단된다. 또한 3년차 사용배지 배액의 pH 값이 5.0 이하로 감소한 것이 ∆Ca 값에 영향을 미쳤다고 볼 수 있는데, 양분의 흡수 및 이용률은 pH에 따라 영향을 받으며 pH가 5.0 이하로 내려가면 Ca의 유효도가 감소하는 것이 배액의 Ca 농도가 증가하는 결과로 나타났으며 따라서 3년차 배지의 ∆Ca 값이 감소한 것으로 판단된다. 마그네슘(Mg)의 ∆값은 ∆P의 결과와 같이 3년차 사용배지의 ∆Mg3 값이 평균 -0.91 mg L-1으로 ∆Mg1, ∆Mg2의 평균값인 0.22, 0.82 mg L-1에 비해 낮은 값을 나타내었다 (Fig. 2d).
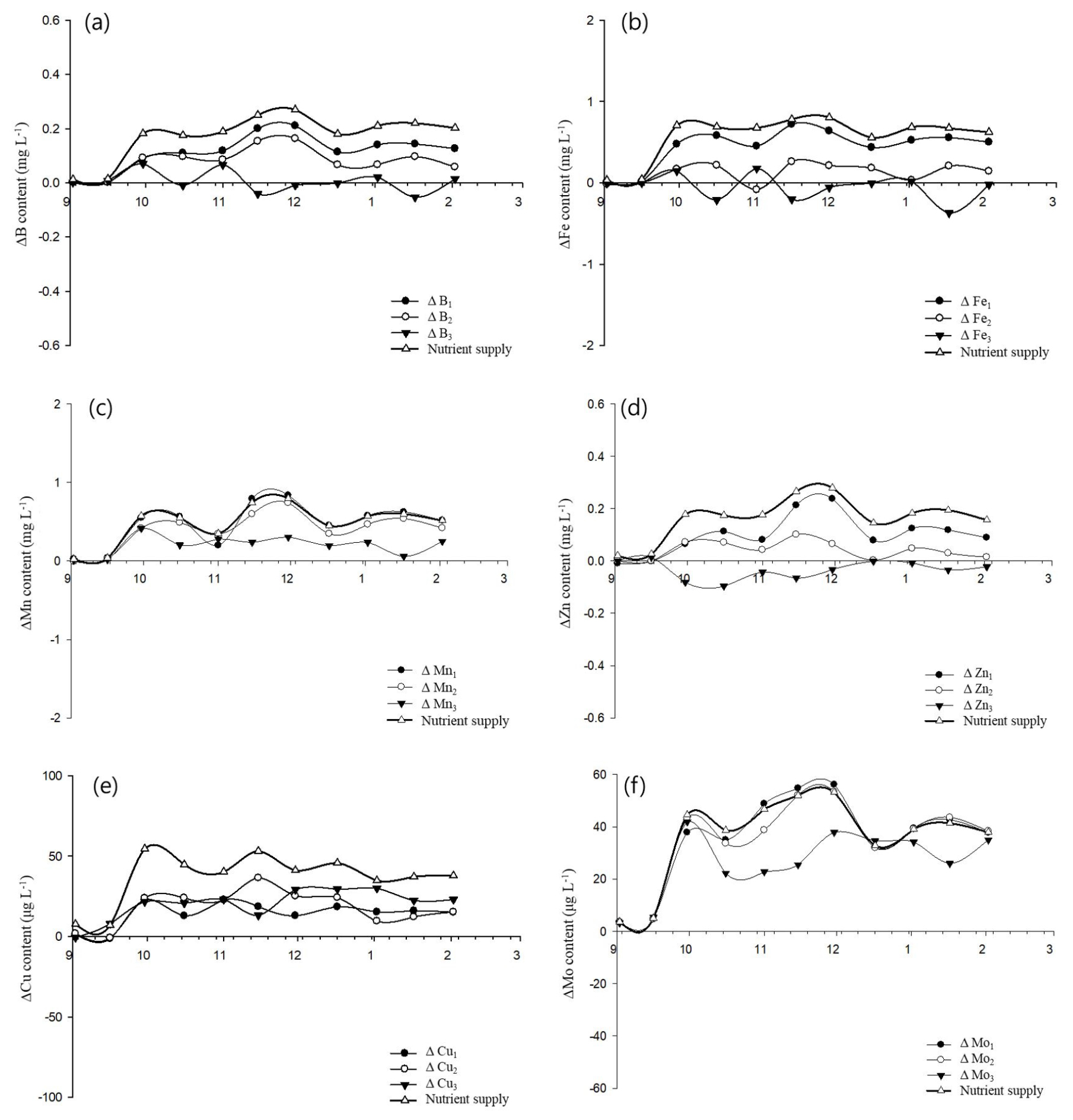
식물의 16대 필수원소 중 미량원소인 붕소 (B), 철 (Fe), 아연 (Zn)의 경우 배지 사용년수가 증가할수록 ∆값이 감소하는 경향을 나타내었다. 1년차 배지의 ∆B1, ∆Fe1, ∆Zn1 은 급액의 농도와 비슷한 값을 나타내었으며, 각각 딸기 생육기간 동안 평균 0.11, 0.45, 0.10 mg L-1이었다. 2, 3년차로 사용년수가 증가할수록 ∆값은 감소하였으며 3년차 배지의 ∆B3, ∆Fe3, ∆Zn3 값은 각각 평균 0.01, 0.02, 0.01 mg L-1으로 모두 0에 가까운 값을 나타내었다 (Fig. 3a, b, d). 망간 (Mn), 몰리브덴 (Mo)의 1, 2년차 사용 배지의 ∆값은 급액의 농도와 차이가 없었으나 3년차 사용 배지의 ∆값은 크게 감소하는 경향을 나타내었다. ∆Mn1, ∆Mn2 값은 각각 0.47, 0.40 mg L-1이었으나 ∆Mn3의 값은 0.20 mg L-1으로 크게 감소하였고 (Fig. 3c), ∆Mo1, ∆Mo2 값은 각각 35.7, 34.9 µg L-1이었으나 ∆Mo3의 값은 27.7 µg L-1으로 감소하였다 (Fig. 3f). Marin et al. (2015)에 의하면 1, 2년차 사용배지의 밀도, 공극, 수분보유력 등의 물리성은 유의한 차이가 없었음을 보고하였고, 코코넛 열매의 부산물인 코이어로 만들어진 배지의 재사용에 관한 연구에서는 3년차 재사용 배지의 pH, EC, C/N율 등의 화학성이 신규배지보다 더 양호해졌으며 특히 배지의 Ca, Mg, P와 같은 양분함량이 크게 증가하였다 (Lee et al., 2016). 또한 Yoon et al. (2007)의 연구에 의하면 피트모스 배지의 3년차 재사용은 작물의 생산량에는 영향이 없지만 배지의 가밀도 및 수분 보유력 증가, 공극 감소 등의 물리성이 불량해졌으며, 재사용 배지의 양분함량이 증가하였음을 보고하였다. 이는 재사용 배지 내 양분이 흡착될 수 있는 부위가 포화되었음을 나타내며 본 실험에서 3년차 재사용 배지의 배액 내 양분햠량 증가로 인한 ∆값이 감소한 결과와 일치하며, 본 실험의 결과에서 1, 2년차 재사용 배지의 ∆값에 유의한 차이가 없음은 배지의 물리성이 변하지 않았다고 판단할 수 있다.
Conclusion
본 연구에서는 딸기 고설수경재배 시 사용되는 배지 중 피트모스 배지의 사용년수에 따른 급액과 배액의 무기원소 함량을 분석하여 배지 재사용 가능성에 대해 검토하였다. 배지 사용년차가 증가할수록 ∆pH와, ∆EC는 감소하는 경향을 나타내었으며, 3년차 배지의 pH는 3.9 - 4.9 수준으로 감소하였다. 식물의 16대 필수원소 중 다량원소에 속하는 P, Ca, Mg, K의 ∆값은 ∆P, ∆Mg는 3년차 재사용 배지에서 ∆값이 감소하였고, ∆Ca는 사용년차가 증가할수록 ∆값이 감소하는 경향을 나타내었으며, ∆K는 배지 사용년수간 차이를 나타내지 않았다. ∆B, ∆Fe, ∆Zn은 배지 사용년차가 증가할수록 ∆값이 감소하였고, ∆Mn, ∆Mo는 3년차 재사용 배지에서 ∆값이 크게 감소하였다. K를 제외한 모든 원소의 ∆값은 3년차 재사용 배지에서 감소하는 결과를 보였다. 이는 3년차 재사용 배지의 배액의 무기원소 함량이 증가하였음을 나타낸다. 피트모스 배지의 재사용 가능성에 대한 판단은 3년차 배지의 물리성 및 화학성의 정확한 분석이 더 필요한 것으로 사료되나, 본 실험의 결과를 바탕으로 피트모스 배지의 재사용은 2년차 까지는 배지의 물리, 화학적 성질에 큰 영향을 미치지 않는 것으로 판단된다.






