Introduction
1960년대부터 급진적인 산업성장으로 국내에는 많은 공업 및 산업단지가 들어서게 되었고, 이로 인한 환경오염의 피해와 심각성이 대두되고 있다. 이에 1996년부터 국내에서는 토양환경보전법을 제정하여 정부 차원의 오염 토양에 대한 조사와 정화사업을 추진하고 있다 (MOE, 1996).
농경지의 중금속 오염 원인은 다양한 경로를 통해 발생한다. 그 원인으로는 휴・폐 광산으로부터의 중금속 유입 (Oh et al., 2014), 농업 폐기물에 의한 토양오염 (Kim et al., 2012) 또는 농약의 과도한 사용 및 군부대 인근 농경지의 토양오염 (Kim et al., 2008)등이 있다. 또한 공업 및 산업단지의 폐기물 또는 분진에 의해 인근 농경지가 중금속으로 오염되는 사례가 연구되었다 (Na et al., 2015). 이러한 다양한 농경지의 중금속 오염 원인 중 공업 및 산업단지 인근의 농경지에 대한 오염도를 모니터링하고 오염현상을 파악하기 위해 1999년부터 정부 차원의 조사가 실시되고 있다.
공단 및 산업지역의 중금속 오염도 평가에 대한 선행 연구 결과를 살펴보면 경기 지역 산업단지 인근토양 중금속 함량분석결과 비소 6.37 mg kg-1, 크롬 37.9 mg kg-1, 구리 28.1 mg kg-1, 니켈 23.3 mg kg-1,납 24.3 mg kg-1로 나타난 결과가 있으며 특정 원소들은 주기적인 관리의 필요성을 시사하였다 (Ko et al., 2015). 영남지역 20개 공업단지 지역의 200 여개 지점에 대해 환경오염 취약지역 농경지 토양을 분석한 결과 비소 7.5 mg kg-1, 카드뮴 0.396 mg kg-1, 구리 15.8 mg kg-1, 수은 0.028 mg kg-1, 니켈 13.3 mg kg-1, 납 19.0 mg kg-1로 토양환경보전법의 토양우려기준을 넘지 않는 수준으로 보고되었다 (Jung et al., 2012). 그리고 중북부 지역 공업단지 인근 농경지의 중금속 함량에 대하여 20개 지역, 200지점을 대상으로 평가한 결과로는 비소 4.96 mg kg-1, 카드뮴 0.171 mg kg-1, 크롬 33.5 mg kg-1, 구리 14.7 mg kg-1, 수은0.0093 mg kg-1, 니켈 17.1 mg kg-1, 납 17.6 mg kg-1, 아연54.8 mg kg-1로, 이는 토양오염 우려기준의 1/5~1/430수준인 것으로 조사 되었다 (Jung et al., 2014).
산업단지 인근 농경지 외에도 환경오염 취약지역중 하나인 폐 금속 광산 인근 농경지에 대한 중금속 오염도 평가도 이루어지고 있다. 충남 서산의 폐 금속 광산을 대상으로 인접 수계 하류에 위치하고 있는 논토양 30지점을 채취하여 중금속 함량을 분석한 결과 비소 36.5 mg kg-1, 카드뮴 8.8 mg kg-1, 구리 56.4 mg kg-1, 니켈 36.6 mg kg-1, 납 770.4 mg kg-1, 아연 722.2 mg kg-1로 토양오염 우려기준을 초과하였고 중금속 오염 최고함량은 토양오염 우려기준 보다 22배 높은 지역이 존재하였다 (Jung et al., 2011). 이러한 선행연구의 결과를 살펴보면 특정지역 및 특정 오염우려지역에 대하여 연구가 진행이 되었지만, 지속적이지 못하며 그 범위가 제한적인 단점이 있어 오염 취약지역에 대한 토양조사 및 중금속 오염에 대한 지속적인 모니터링이 필요하다.
국외의 경우 특정 공단인근지역에서 토양 중금속 오염도측정을 실시하고 있지만 국가단위의 주기적인 조사는 이루어지지 않고 있다. 국외 선행 연구로는 스페인 북서부 지방 중금속 오염 토양에 대한 조사결과, 카드뮴 188±8 mg kg-1, 크롬 1738±82 mg kg-1, 구리 2123±193 mg kg-1, 납 1305± 111 mg kg-1, 아연 1724±63 mg kg-1 수준의 높은 중금속 수치를 나타낸 결과가 있다 (Cameselle et al., 2016).
토양의 오염도를 평가하는 방법은 크게 두 가지 방법이 있으며 토양 내 오염물질의 농도를 분석하여 평가하는 오염도 평가와 오염 농도를 기반으로 모델 식을 이용하는 지표평가 방법이 있다 (Cheng et al., 2007; Jung et al., 2011; Brady et al., 2015). 오염도 평가 방법은 일반적으로 널리 사용하는 방식이지만 다수의 지점에 대한 다양한 오염물질의 오염도를 평가 하는 데는 한계가 있다. 따라서 다수의 지점에 대해 다양한 오염원의 오염도를 평가하는 방법으로는 지표평가 방법을 주로 사용한다. 지표 평가 방법에는 다양한 방법들이 존재한다. 지수화 방법에 대한 일반적인 기준은 없지만, 기본적으로는 CF (Contamination Factor)사용을 기초로 한다. 침전물 또는 퇴적물 등의 중금속 오염도 평가에는 Hakanson’s modified degree (mCd) (Hakanson, 1980)을 사용한 선행 연구사례가 있고, 여기서 조금 더 최신의 방법으로 개선된 Nemerow Pollution Index (Nemerow, 1991)등이 사용되었다. Nemerow방법의 경우 평균적인 오염 지수와 그 중 가장 높은 PI (Pollution Index)값을 가지는 원소의 최고농도지수 (CFmax)를 통해 조금 더 자세한 분류로 나누어 오염도를 평가 할 수 있다 (Bongers et al., 1996; Cheng et al., 2007; Gong et al., 2008; Brady et al., 2015). 하지만 본 연구에서는 취약농경지에 대한 복합적인 중금속 오염도를 파악하고 각 지역 간의 오염도 수치를 비교하기 위해 기본적인 방법 중의 하나인 Kloke의 지수화 방법을 선택하였다 (Kloke et al., 1979). Kloke방법은 분석 대상 원소의 측정치를 해당 원소의 오염도 기준 값으로 나누어 준 뒤, 분석 항목원소의 모든 값을 합하고 그 값을 분석 대상 원소의 개수로 나눈 비를 나타낸다. 선행 연구에 따르면 특정 휴폐금속 광산 인근 토양, 수질, 저니토, 하천식생의 정밀조사를 실시하여 이를 환경오염 지수를 이용한 정략적 오염도 평가를 실시 한 바 있다 (Lee et al., 2011).
본 연구의 목적은 충청 남・북도에 있는 15개 산업단지, 532개 지점을 대상으로 오염도 평가를 실시하고 산업단지 인근의 오염추정지역 농경지 토양 내 중금속 오염수준을 파악한 후, 이를 지수화 평가방법을 이용하여 오염도를 평가하는 것이다.
Materials and Methods
시료채취 장소 및 방법 토양 시료는 충청남북지역 공단 인근 농경지에서 채취하였으며, 4월부터 5월 에 걸쳐 시료채취를 실시하였다. 한 필지 당 표토 (0~15 cm)와 심토 (15~30 cm)로 나누어 산업단지로부터 반경 1km이내의 토양을 채취하였다(Fig. 1 ). 산업단지의 선정은 2010년부터 2013년까지 환경부와 농촌진흥청에서 중금속오염도 조사를 하여 중금속이 검출되었던 산업단지 중, 오염도가 높은 값으로 측정 된 15개 산업단지에 대한 시료를 채취하였다. 토양 시료의 채취는 토양 샘플러 (Eijkelkamp One-Piece Soil Augers, Gempler’s)를 사용하여 한 필지 당 최소 10개 지점 이상의 시료를 채취하였으며, 해당 농경지를 균등하게 분할하여 5점 이상의 시료 채취 후 하나의 시료로 혼합하여 사용하였다. 시료 채취 지점에 대한 각 산업단지 및 농공단지의 이름과 Sample ID는 Table 1 에 나타내었다. B지역은 충청북도, N지역은 충청남도의 지역을 나타내며 각 공단은 편의를 위해 숫자로 나타내었다. 토양시료의 조제는 토양화학분석법 (Rural Development Administration, 1998)과 토양오염공정시험기준 (Ministry of environment, 2016)의 시료조제 및 보관방법을 따랐다.
토양의 이화학적 특성 분석 토양시료의 이화학적 특성은 농촌진흥청 토양화학 분석법에 준하여 분석하였다 (NIAST, 1988). 채취한 시료는 105°C에서 8시간 건조 후에 수분함량을 측정하였고, 그 후 2 mm (10 mesh) 이하로 체 거름한 것을 사용하였다. 시료의 pH와 전기전도도 (Electrical Conductivity)는 1:5 H2O법을 이용하여 pH meter (MP220, METTLER TOLEDO)와 EC meter (Conductivity Meter S230, METTLER TOLEDO)를 이용하여 측정하였다. 유기물함량 (Organic Matter)은 Walkley & Black법으로 실시하였고, 유효인산 (Available P2O5)는 Bray No.1법으로 하였으며 Spectrophotometer (UVmini- 1240, SHIMADZU)를 이용하여 610 nm에서 비색정량 하였다.
중금속 오염도 평가 토양 시료 내 중금속 분석은 토양오염 공정시험법 (Ministry of Environment, Republic of Korea, 2016)에 준하여 중금속 전 함량 분석법으로 실시하였다. 분석 대상 중금속인 비소 (As), 카드뮴 (Cd), 구리 (Cu), 니켈 (Ni), 납 (Pb), 아연 (Zn)을 대상으로 AAS (Atomic Absorption Spectrophotometer, AA-6800, SHIMADZU)로 측정하였다. 토양 내 중금속의 총 함량 분석을 위해 0.15 mm sieve (100 mesh)로 체 거름한 토양 시료 3 g에 왕수 (conc. 36-37%, HCl 21 ml+ conc. 68-70%, HNO3 7 ml)를 이용하여 2시간동안 정치하였다. 그 후 흑연 가열 판 (Block Heating Sample Preparation System, Ctrl-M Science)을 사용하여 105°C에서 2시간동안 환류 냉각 법으로 가열하여 분해하였다. 가열시간은 105°C까지 30분간 가열하였고 105°C도달 후 90분간 유지하였다. 가열 분해한 시료는 냉각 후 Filter paper (Advantec No2, 110 mm)를 이용하여 여과한 후, 0.5N HNO3로 100 ml 정량을 하여 AAS (AA-6800, SHIMADZU)로 측정하였다.
정도관리(Quality Assurance/ Quality Control) 중금속 분석에 대한 정도관리 (QA/QC)를 위해 표준물질 (BAM-U112a, BAM, Germany)을 이용하였으며 각 원소별 회수율에 대한 검증은 Eq. 1을 이용하였다. 표준물질을 5회에 걸쳐서 각각 3반복의 실험 후, 평균값을 산출하여 CRM 값과 비교하였으며 흑연 블록 가열 판을 이용하여 시료를 분석할 때 CRM, Blank, 표준용액을 각각 배치하였으며 이를 이용하여 정도관리를 실시하였다. 결과 값은 다음의 Table 2와 같다. 표준시료의 실험 또한 중금속 전 함량 분석법으로 실시하였다.
(Eq.1)

중금속 오염에 대한 지수화 평가방법(Soil Pollution Index) 중금속 오염 농경지에 대한 지수화 평가는 Eq. 2를 이용하여 실시하였다. 중금속 오염도의 기준 농도는 환경부의 제 1지역 토양오염 우려기준(Table 3)을 바탕으로 평가하였다. SPI에 의하여 계산된 오염지수는 각 원소 별로 허용 한계치와 비를 평균한 것으로 0-1의 범위로 산출된다. SPI 값이 1보다 클 경우 이는 특정 원소 또는 복합적으로 오염되었다고 판단되며 지수가 1에 가까울수록 오염도가 높은 것으로 판별한다.
(Eq.2)
Results and Discussion
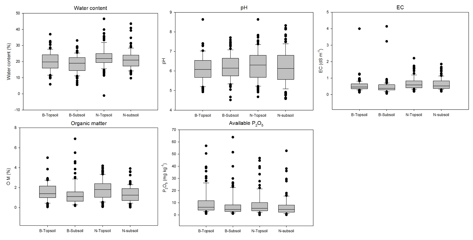
이화학적 특성 모든 15개 산업단지의 평균 이화학적 특성을 조사한 결과, 수분함량은 21.62%, pH는 6.20, EC는 0.60 dS m-1,유기물 (OM)은 1.51%, 유효인산 (Available P2O5)는 226.02 mg kg-1임을 알 수 있었다. 국내 일반적인 농경지의 이화학적 특성은 논의 경우 pH 5.5~6.5, EC 2.0 dS m-1미만, 유기물 함량 2.5~3%, 유효인산 80~120 mg kg-1수준이며, 밭의 경우 pH 6.0~6.5, EC 2.0 dS m-1미만, 유기물 함량 2~3%, 유효인산 300~500 mg kg-1수준이다 (National Institute of Agricultural Science, 2016). 시료 채취 시, 산업단지 인근 농경지에서는 논토양 보다 밭 토양의 비율이 우세하였기 때문에, 전체적인 이화학적 특성의 평균값은 밭 토양의 성향을 갖고 있다. 대상 필지 조사 값의 pH, EC, 유효인산은 적정 수준임을 알 수 있었다. 하지만 유기물 함량의 경우 일반적인 농경지의 함량보다 낮은 수치임을 알 수 있었다. Fig. 2의 그래프는 전체 시료에 대하여 충청남북도의 표토와 심토로 분류를 하여 이화학적 특성을 나타내었다.
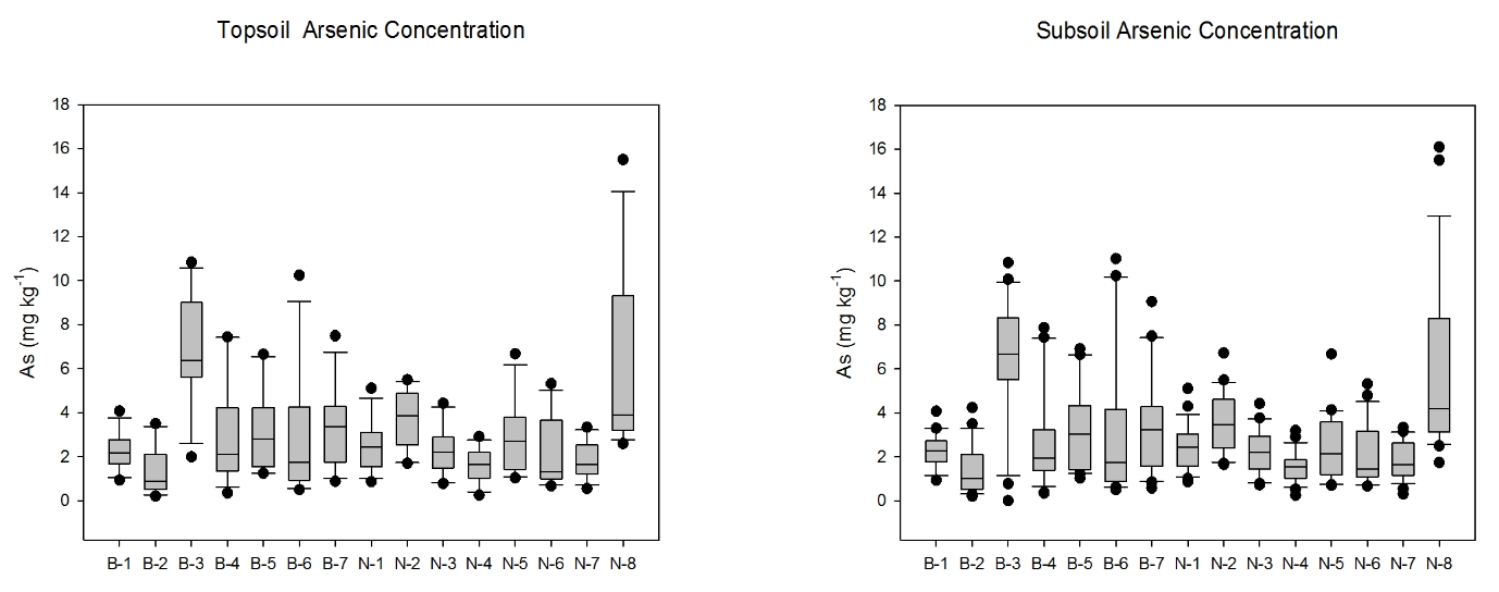
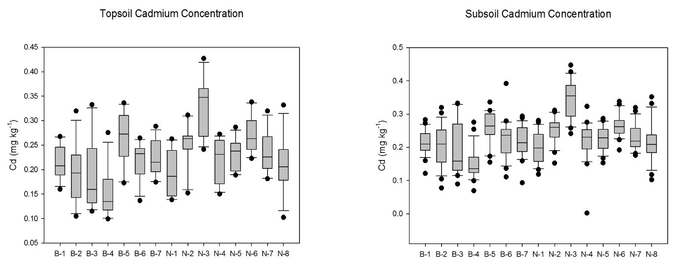
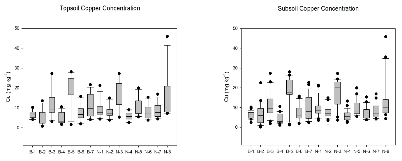
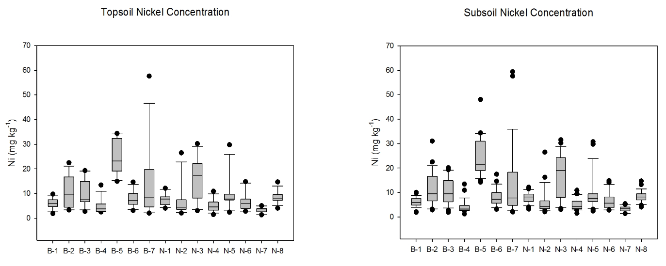
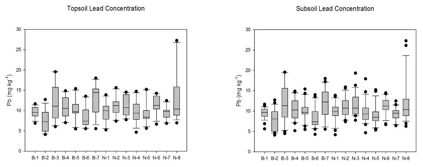
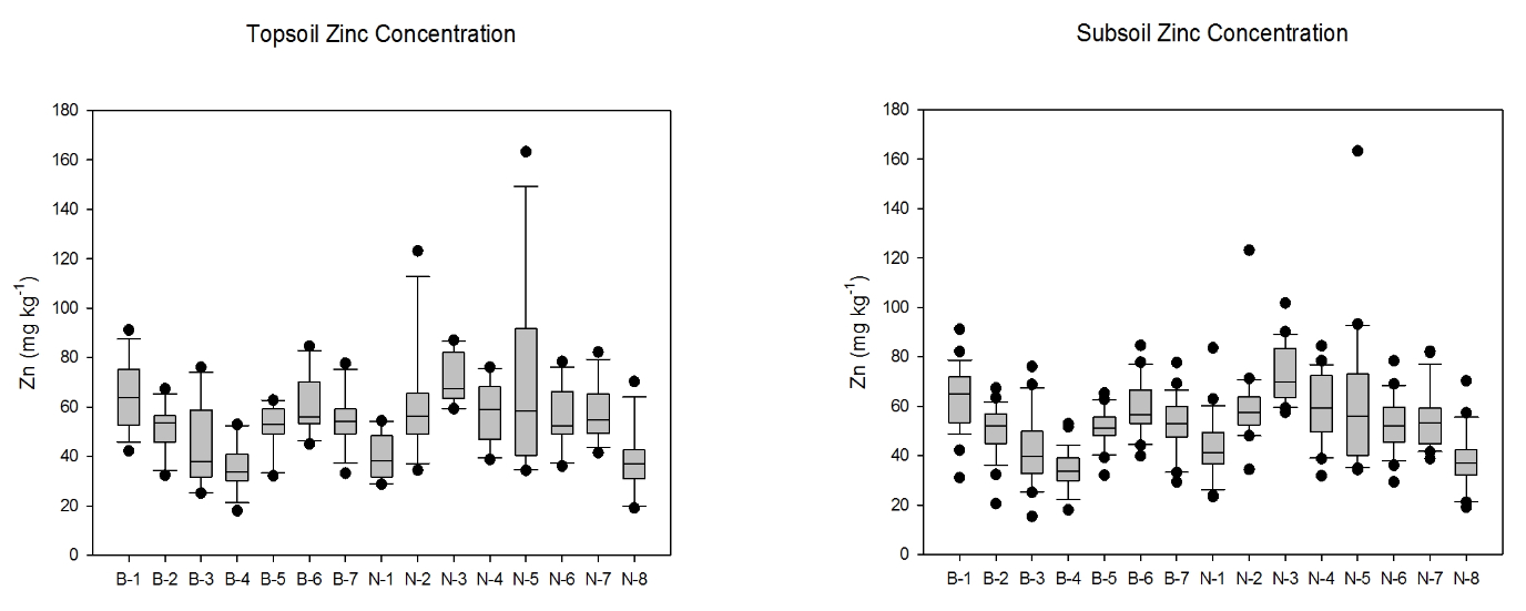
취약농경지 중금속 오염도 분석 각 산업단지에서 채취한 총 532개의 시료를 중금속 전 함량 분석법을 통하여 중금속 오염도를 산출하였고, 이를 Fig. 3,Fig. 4,Fig. 5,Fig. 6,Fig. 7,Fig. 8에 각 산업단지별로 검출된 As, Cd, Cu, Pb, Ni, Zn 6종의 중금속 함유량을 비교하여 나타내었다. 비소(As)의 경우 평균 2.99±2.63 mg kg-1이었고, 최대값은 16.11 mg kg-1의 상대적으로 높은 값이 나타났지만 이는 제1지역 우려기준인 25 mg kg-1을 넘지 않는 수준이었다. 그 외, 5가지 원소인 Cd, Cu, Ni, Pb, Zn 또한 카드뮴 (Cd): 0.23±0.07, 구리 (Cu): 9.35±6.48, 니켈 (Ni): 9.26±8.03, 납 (Pb): 10.18±3.32, 아연 (Zn): 52.9±17.18 또한 우려기준을 넘지 않았다. 각 지점간의 중금속 오염도의 차이는 존재하였지만, 한 지점 내 표토와 심토에서의 중금속 오염도는 유사한 결과를 나타내었다. 이는 선행연구 결과와 비교해 볼 수 있는데, 영남권역인 경북, 경남에 위치한 공업단지 20개 지역을 대상으로 인근농경지 토양의 중금속 함량을 조사한 결과 비소 7.5 mg kg-1, 카드뮴 0.396 mg kg-1, 구리 15.8 mg kg-1,니켈 13.3 mg kg-1, 납 19.0 mg kg-1로 토양우려기준을 넘지 않는 수준으로 나타난 결과가 있으며 (Jung et al,. 2012), 중북부 지역 공업단지 인근 농경지의 중금속 함량에 대하여 20개 지역을 대상으로 평가한 결과로는 비소 4.96 mg kg-1, 카드뮴 0.171 mg kg-1, 구리 14.7 mg kg-1, 니켈 17.1 mg kg-1, 납 17.6 mg kg-1, 아연54.8 mg kg-1로 중북부 지역 산업단지 인근 농경지 또한 토양오염 우려기준을 넘지 않는 1/5~1/430수준이었다 (Jung et al,. 2014). 선행 연구 결과들과 비교하였을 때, 본 실험 대상 농경지의 중금속 농도는 일반수준의 오염도를 나타내고 있음을 알 수 있었다. 하지만 특정지역의 경우 토양오염우려기준에 가까운 중금속 함유량을 가지고 있기 때문에 이는 추가적인 오염에 대한 지속적인 모니터링의 중요성을 시사하고 있다.
SPI 산출 평균값 각 시료의 중금속 오염도 분석 후, SPI방법을 통하여 지수화한 결과는 Fig. 9에 나타내었다. 검출된 토양 내 중금속의 농도와 Eq. 1을 이용하여 SPI 값을 산출한 결과 최소 값은 0.03, 최대 값은 0.27수준으로 확인되었다. 국내 선행 연구결과를 살펴보면 환경오염 취약지역중의 하나인 폐 광산 인근의 토양에 대해 총 155지점의 중금속 (As, Cd, Cu, Pb)오염도를 평가하였으며 산출된 SPI값은 표토와 심토 각각 0.92, 0.68였다. (Lee et al,. 2011). 두 지역 모두 SPI 값이 1을 넘지는 않았으나 산업단지 인근 농경지에 비해 폐 광산 인근 농경지에서의 SPI 값이 높음을 알 수 있다.
Kloke의 오염도 지수 평가 방법을 사용할 경우 오염도 지수가 1이 넘는 경우 오염 되었다고 판단하여 대상 지역이 다수의 원소에 의한 오염이 아닌 단일 원소에 의한 오염을 나타낼 경우 전체의 오염도를 평가하지 못하는 단점이 있다. 따라서 이에 대한 보완이 필요할 것으로 사료된다.
Conclusion
중금속으로 오염된 취약농경지에서 안전한 농산물을 생산하기 위하여 다양한 방법의 오염도 평가가 이루어지고 있다. 이에 지수화 평가방법중의 하나인 SPI (Soil pollution Index)방법을 이용하여 산업단지 인근 농경지에 대한 중금속 오염도 평가를 실시하였다. 토양시료에 대하여 이화학적 특성 분석 및 6종의 중금속 As, Cd, Cu, Ni, Pb, Zn을 대상으로 시험을 실시하였다. 중금속 오염도 (mg kg-1, 건토)는 평균 비소 (As): 2.99±2.63 (최소 0.2, 최대 16.1), 카드뮴 (Cd): 0.23±0.07 (최소 0.07, 최대 0.45), 구리 (Cu): 9.35±6.48 (최소 1.01, 최대 46.6), 니켈 (Ni): 9.26±8.03 (최소 0.93, 최대 60.8), 납 (Pb): 10.18±3.32 (최소 0.14, 최대 27.7), 아연 (Zn): 52.9±17.18 (최소 1.21, 최대 163.2)으로 나타났고 우려기준을 초과한 농도는 검출되지 않았다. 모든 시료에 대하여 중금속 오염도 분석 후, 지수화 평가를 실시한 결과 최소 값 0.03에서 최대 값 0.27 수준의 결과 값을 나타 냈다. 본 연구 내용을 바탕으로 산업단지 인근 취약농경지에 대한 오염원의 노출원인 및 경로파악에 도움을 줄 것이라 사료되며, 또한 점진적으로 증가하고 있는 산업단지로부터의 중금속 오염 예방과 오염된 지역에 대한 시비체계개선에 도움을 줄 것이라 사료된다.















