Introduction
논 토양에서 규산은 토양의 비옥도 증진에 중요한 요소로(Yoon et al., 2004), 벼의 수량을 크게 증대시키며 (Epstein, 1994), 도열병 저항성을 향상시킨다(Gang, 2001; Jian et al., 2002; Lee and Park, 2010; Rodrigues, 2001; Seo et al., 2002). 국내 논토양의 유효규산 함량은 1995년에 72 mg kg-1에서 2011년에 146 mg kg-1으로 크게 증가하였는데, 토양으로의 중요한 규산 공급원 (관개수, 볏짚, 규산질비료, 퇴비)으로 규산질비료가 1996년부터 정부의 토양개량제 지원사업의 일환으로 공급되었기 때문이다.
논토양의 규산질비료 시용효과에 대한 연구로 토양 비옥도 향상, 작물 수량 및 흡수량 증대 등에 관하여 연구자들이 발표하였다. Chang et al. (2006)과 Joo and Lee (2011)에 따르면 규산질비료를 논토양에 투입하면 유효규산 함량 등 토양의 비옥도가 향상된다고 보고하였다. 작물 수량에 있어서 Kim et al. (2002)은 무기질비료와 규산질비료를 26년간 시용하였을 때 정조수량이 증가하였고, Chang et al. (2006)은 규산질비료를 시용하였을 때 관행구보다 수량이 증대한다고 보고하였다. 그리고, Kim and Choi (2002)는 규산질비료와 무기질비료의 병행처리는 식물체로의 질소 등의 무기성분의 전이율은 높이고, 칼리, 석회의 전이율을 낮춘다고 하였다. Seo et al. (2002)는 무기질비료 (NPK) + 규산의 병행 처리할 경우에도 규산성분의 투입량보다 작물로 제거된 양이 더 많다고 하였고, Jian and Eiichi (2002)에 따르면 규산수지가 음의 값일 경우 토양 자체의 규산성분이 작물로 공급될 수 있다고 하였다. 이러한 연구는 주로 단기적으로 이루어진 실험결과들이고, 장기적으로 이루어진 연구는 부족한 편이다.
따라서, 본 연구는 논토양의 건전한 질을 유지하면서 지속적인 작물생산성을 유지하기 위해 장기시험포장에서 양분 (인산, 칼리, 볏짚퇴비 등)학적으로 부족한 경우와 적정한 비료를 사용할 경우 (표준비료사용량의 투입), 규산질 비료의 병행 투입에 따른 토양의 화학성과 규소 수지 변화, 작물 수량에 미치는 영향을 평가하고자 하였다.
Materials and Methods
시험포장 토양특성 본 연구에 사용된 시험포장 논토양은 1954년도에 경기도 수원시 권선구 서둔동 소재 국립식량과학원 포장 내에 조성되었다. 토양통은 강서통 (Coarse loamy, Fluvaquentic Eutrudepts)으로 유효토심은 보통이고 투수성은 빠르며 배수등급은 약간양호, 사양질의 토성에 해당한다. 장기시험 포장 시작 당시 (1954년)의 토양 화학성은 pH 5.2, 유기물 (OM) 함량은 16 g kg-1, 유효인산 (Av. P2O5) 함량은 120 mg kg-1, 치환성 칼륨 (Ex. K) 함량이 0.08 cmolc kg-1으로 유효인산 함량을 제외한 성분은 벼 생육을 위한 논토양 적정 비옥도에 기준 (NIAST, 2006)에 미치지 못하였다. 벼의 품종과 비료와 개량제를 시용한 내력은 Fig. 1 과 같다.
공시품종 및 처리구 벼의 품종은 1954년부터 1968년까지는 팔달, 1969년부터 1978년까지는 진흥, 1979년부터 1985년까지는 밀양 23호, 1986년부터 2003년까지는 대청, 2004년부터 2014년까지는 삼광을 재배하였다. 처리구는 모두 32개의 처리구로 구성되어 있고 이 중에서 규산질비료를 처리하지 않은 구로 유안구 (N), 유안+퇴비구 (NC), 3요소구 (NPK), 3요소+퇴비구 (NPKC), 규산질비료를 처리한 구로서 유안+규산구 (N+S), 유안+퇴비+규산구 (NC+S), 3요소+규산구 (NPK+S), 3요소+퇴비+규산구 (NPKC+S)를 선정하여 분석하였다.
비료사용량 및 재배관리 비료사용량은 시기별로 표준비료사용량 (NAAS, 2010)이 달라짐에 따라 질소는 75~150 kg ha-1, 인산은 70~86 kg ha-1, 가리는 75~86 kg ha-1, 퇴비는 7.5 kg ha-1, 규산질비료는 2 Mg ha-1를 시용하였고, 기비-분얼비-수비-실비의 분시비율은 질소는 50-20-20-10%, 가리는 70-0-30-0%로 2회, 인산, 퇴비, 석회, 그리고 규산은 전량 기비로 시용하였다. 볏짚퇴비의 제조는 벼 수확기에 시험연구 포장으로부터 볏짚 3 ton을 수거하여 절단하고 물을 뿌리고 비닐을 덮어 부피를 줄인 후 요소비료 4~6 kg을 첨가하여 부숙한 후 사용하였다. 토양개량제인 규산질비료와 퇴비는 토양과 충분하게 반응하도록 4월 중순에 미리 각각의 처리구에 살포한 후 경운하였으며, 무기질비료는 5월 하순에 담수하면서 시용하고 벼를 이앙하였다. 전년도에 수확 후 남아있는 벼의 그루터기와 뿌리는 경운 시 써레질 할 때 토양에 전량 환원하였다.
토양 채취 및 분석 토양 화학성의 변동을 모니터링하기 위한 분석용 시료는 해마다 4월 초에서 중순사이에 처리구당 0~15 cm 깊이로 3~7군데를 채취하고 혼합하여 사용하였다. 토양의 pH와 전기전도도 (EC, Electrical conductivity)는 토양과 증류수의 비율을 1:5로 추출하여 측정하였고, 토양유기물은 Tyurin법, 유효인산은 Lancaster법으로 추출하여 720 nm에서, 유효규산은 1 M NaOAc (pH 4.0)용액으로 추출하여 700 nm에서 비색계 (U-3000, Hitachi)로, 치환성 양이온은 1M NH4OAc (pH 7.0) 완충용액으로 추출하여 유도결합 플라즈마 발광광도계 (ICP-OES, GBC)으로 측정하였다 (NIAST, 2000). 규회석에서 규산질비료로 변경된 시기인 1990년을 기준으로 2개의 시기를 구분하여 시기 I은 1969년에서 1989년까지, 시기 II는 1996년에서 2014년까지로 정하여 토양화학성을 분석하였다.
규소 (Si) 수지 규산질비료 무 처리구 (N, NC, NPK, NPKC)와 규산질비료 처리구 (N+S, NC+S, NPK+S, NPKC+S)의 규소 수지를 각각 계산하기 위해 규소의 투입량은 무기질비료 (소석회와 규산질 비료)와 관개수로 투입되는 양으로 계산하였고, 배출량은 작물지상부가 흡수한 양으로 계산하였으며 (Eq. 1), 규산질비료의 비종이 변경된 (규회석에서 규산질비료로 바뀜) 시기를 기점으로 시기 I (1969~1989)과 시기 II (1990~2014)로 구분하여 자료를 분석하였다. 관개수량은 2012년도 측정치들의 평균으로, 관개수질 중 서호수로 관개한 시기 (1969~1986)와 관정수 (1987~2014)의 수질은 NIAST (2003)의 자료를, 식물체 흡수량은 1987년도~2014년도의 자료를 이용하였다.
규소 (Si) 수지 (kg ha-1 year-1) = (무기질 비료의 Si + 관개수 중 Si 공급량) - 작물의 지상부로 흡수한 Si량 (Eq.1)
벼 무기성분 흡수량 볏짚 및 정조의 무기성분 함량은 건조 후 40 mesh로 분쇄하였고 시료를 0.5 g 칭량하고 conc. H2SO4을 10 mL와 50%의 HClO4 10 mL를 가하여 분해한 후 여과지에 남아있는 분해 잔사물을 600°C의 전기로에서 6시간 동안 회화시키는 중량법으로 정량하였고 (NIAST, 20000), 식물체 흡수량은 1987년부터 2009년까지의 흡수량을 평균한 값으로 표시하였다.
정조 수량 정조수량은 해마다 10월에 처리구 당 70주씩 3반복으로 채취하여 탈곡한 후에 자연상태에서 건조한 후 수분함량 15% 전후 일때를 기준하여 무게를 달아 조사하였다.
통계 분석 모든 데이터는 SAS 프로그램 (v. 9.2)으로 통계분석을 하였다. 논토양에 규산질비료 시용에 따른 토양화학성 변화를 검정하고자 ANOVA 분석을 실시하였고, 처리구간 토양화학성 비교는 t-검정으로 분석하였다.
Results and Discussion
토양 화학성 변화 시기 I과 II의 규산질비료 무 처리구 (N, NC, NPK, NPKC)와 규산질비료 처리구 (N+S, NC+S, NPK+S, NPKC+S)의 화학적 특성은 Table 1 과 같다.

시기 I에서 N 처리구와 N+S 처리구의 pH는 각각 5.2, 5.9로 처리간 유의적 차이가 있었고, NC와 NC+S 처리구간에, NPK와 NPK+S 처리구간에, 그리고 NPKC와 NPKC+S 처리구 간에도 유사한 경향을 나타냈다. 규산질비료 처리구 (N+S, NC+S, NPK+S, NPKC+S)의 pH는 규산질비료 무 처리구 (N, NC, NPK, NPKC)에 비해 0.6~0.8만큼 더 높았는데, 이것은 규회석을 1년에 2 ton ha-1를 지속적으로 투입할 경우 pH는 평균 0.01~0.02만큼 증가하는 것으로 나타났다. 시기 II에서도 시기 I과 유사하게 규산질비료 무 처리구와 규산질비료 처리구간에 유의적인 차이가 있었고, pH는 0.8~1.1로 증가하였으며, 규산질비료를 1년에 2 ton ha-1를 지속적으로 투입할 경우 pH는 평균 0.02만큼 증가하여 시기 I과 II는 비슷하게 나타났다.
규산질비료 처리구 (N+S, NC+S, NPK+S, NPKC+S)의 치환성 칼슘 함량은 모든 시기에 규산질비료 무처리구 (N, NC, NPK, NPKC)보다 2.0~2.4 cmolc kg-1 더 많았고, 시기 II에서는 치환성 마그네슘 함량만이 0.2 cmolc kg-1만큼 높은 것으로 나타났다. 시기 II에 규회석에서 규산질 비료로 변경됨에 따라 규산질비료에 포함된 마그네슘 성분 (고토 2~4%)이 토양에 투입된 결과로 판단된다. Chang et al. (2006)과 Joo and Lee (2011)도 규산질비료에 포함된 석회물질의 영향으로 토양의 pH, 치환성 칼슘이 증가한다고 발표하였다.
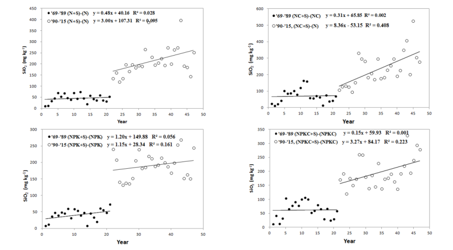
유효규산 함량은 시기 I의 규산질비료 무처리구 (N, NC, NPK, NPKC)와 규산질비료 처리구 (N+S, NC+S, NPK+S, NPKC+S)에서 각각 35~46 mg kg-1, 81~115 mg kg-1으로 처리간에 유의적인 차이가 있었고, 벼의 건전한 생육을 위한 적정범위 (157~180 mg kg-1)보다 낮은 함량이었다. 시기 II의 유효규산 함량은 규산질비료 무처리구 (N, NC, NPK, NPKC)와 규산질비료 처리구 (N+S, NC+S, NPK+S, NPKC+S)에서 각각 47~74 mg kg-1, 234~300 mg kg-1으로 처리간에 유의적인 차이가 있었고, 규산질비료 처리구 (N+S, NC+S, NPK+S, NPKC+S)에 있어서 유효규산 함량은 벼의 생육을 위한 적정범위 (157~180 mg kg-1)보다 1.6배 정도 높은 함량을 나타냈다. 또한, 규산질비료 처리구 (N+S, NC+S, NPK+S, NPKC+S)의 유효규산의 평균 함량은 시기 I (98 mg kg-1)보다 시기 II (287 mg kg-1)에서 평균 2.7배 더 많았는데, 이것은 시기 II에 규산함량이 낮은 규회석 (가용성 규산 10%)에서 규산함량이 높은 규산질비료 (가용성 규산 25%)로 변경되었기 때문이다.
규산질 무처리구 (N, NC, NPK, NPKC)와 규산질 처리구 (N+S, NC+S, NPK+S, NPKC+S) 사이의 유효규산 함량 차이를 연도별로 살펴본 결과, 기울기의 값이 시기 I에서 0.31~ 1.20 mg kg-1 yr-1로 약간 증가하는 경향이었지만, 시기Ⅱ에서 1.15~8.36 mg kg-1 yr-1으로 급격히 증가하였다 (Fig. 2). 시기 II에서 규산성분함량이 높은 규산질비료로 비종이 변경되었고, 토양의 유효규산 함량이 적정범위 이상 (1990년부터 180 mg kg)으로 높아지면서 잔류하는 규산의 양이 많아졌기 때문으로 생각된다. 이러한 추세라면 규산질 무처리구 (N, NC, NPK, NPKC)와 규산질 처리구 (N+S, NC+S, NPK+S, NPKC+S) 사이의 유효규산 함량 차이는 앞으로 더욱 커질 것이며, 토양에 규산 성분의 축적이 더욱 가속화될 것이 예측된다.

규소 수지 규소수지는 규산질비료 무처리구 (N, NC, NPK, NPKC)에 있어서 시기 I과 시기 II에서 각각 –79~–129 kg ha-1yr-1, –60~–110 kg ha-1yr-1으로 음의 값을 나타냈고, 규산질비료 처리구 (N+S, NC+S, NPK+S, NPKC+S)는 시기 I과 시기 II에서 각각 –60~–173 kg ha-1yr-1, 62~175 kg ha-1 yr-1으로 시기 I은 음의 값이었으나, 시기 II에는 양의 값을 나타냈다. 규산질비료 무처리구 (N+S, NC+S, NPK+S, NPKC+S)의 규소수지는 시기 I과 시기 II에 음의 값일 때 유효규산 함량은 감소해야 함에도 불구하고 약간 증가하는 경향이었다. Jian and Eiichi (2002)에 따르면 규소 수지가 음의 값일 경우 토양 자체에서 규산성분이 공급될 수 있다고 하였고 본 연구에서도 유사하게 나타났다. 규산질비료 처리구 (N+S, NC+S, NPK+S, NPKC+S)는 시기 II에 양의 값이었는데, 이것은 토양의 유효규산 함량의 급격한 증가를 가져오는 원인이 되었다. 이 시기의 규산질비료 처리구 (S, NS, NPKS)의 규소 수지를 유효규산으로 바꿀 경우 132~ 372 mg kg-1으로 계산되었고, 이들 중에 실제 유효규산으로 전환된 양은 0.02~0.04%에 불과하여, 나머지는 유효규산 추출액인 NaOAc로 추출되기 어려운 형태로 존재하고 있다고 생각된다.
무기성분 흡수량 및 수량 규산질비료 무처리구의 무기성분 흡수량을 100으로 정하고 이에 대한 규산질비료 처리구의 무기성분 흡수량을 상대적인 지수값으로 계산하였을 때 벼의 규산흡수량은 N+S구와 NPK+S구에서 각각 145, 171이었고, NC+S와 NPKC+S구에서 130, 123으로 유의하게 높았으나, 다른 무기성분 (N, P, K, Ca)은 유의한 차이가 없었다 (Table 3). Kim and Choi (2002)의 연구에서 규질질비료의 시용은 질소, 인산, 석회의 전이율은 높인다고 발표하였는데, 본 연구는 벼의 지상부의 흡수량만을 평가하였고, Kim and Choi (2002)은 지상부와 더불어 뿌리의 무기성분 흡수량을 포함하여 분석하였기 떄문에 연구결과에서 차이가 발생한 것으로 판단된다.

벼의 무기성분 흡수량은 처리간 정조수량의 차이에도 영향을 주었다. 규산질비료 무처리구의 정조수량을 100으로 정하고 이에 대한 규산질비료 처리구의 정조수량를 상대적인 지수값으로 계산한 결과, 시기 I에서 N+S 처리구는 114, NC+S 처리구는 108, NPK+S 처리구는 112, NPKC+S 처리구는 108로 나타났고, 시기 II에서 N+S 처리구는 111, NC+S 처리구는 97, NPK+S 처리구는 105, NPKC+S 처리구는 100이었다. 수량의 증가정도는 N+S가 가장 컸고, 그 다음은 NPK+S구, NPKC+S구와 NC구의 순이였으며, 규산질비료 처리구의 수량 증가율은 시기 II보다 시기 I에서 더욱 컸다. 앞에서 무기성분 흡수량 차이가 큰 N+S구와 NPK+S구에서도 정조수량의 차이를 크게 가져왔다. 그리고 Lee and Park (2010)의 연구에서 논토양에 규산비료를 시용할 경우 3요소구에 비해 평균적으로 7~12% 정도의 수량이 증가하였고, Kim et al. (2002)은 무기질비료와 규산질비료를 26년간 시용하였을 때 정조수량이 대조구에 비해 10~19% 증가하였으며, Chang et al. (2006)은 관행구와 비교하여 8~13% 수량 증대 효과가 있다고 발표하여 규산질비료의 시용으로 인한 수량 증가효과는 유사한 것으로 나타났다.
볏짚퇴비와 규산질비료의 병행 처리구 (NC+S, NPKC+S)의 증수효과는 규산질비료 처리구 (N+S, NPK+S)보다 상대적으로 적었으며, 볏짚으로 공급된 규산의 영향으로 판단된다. 볏짚퇴비로 투입되는 규소의 양은 1년당 약 123 kg ha-1으로 이들 중에 약 50%를 흡수한 것으로 나타났다. 그리고 Matsuo et al. (1976)에 따르면 40년 동안 벼가 흡수한 규소의 양은 투입한 퇴비의 70%를 흡수하며 퇴비의 이용효율이 매우 높다고 보고한 바 있다.
규산질비료와 다른 무기질비료의 병행처리 (N+S, NPK+S)가 규산질비료와 다른 유·무기질비료의 병행처리 (NC+S, NPKC+S)보다 벼의 규산 흡수량과 정조수량 향상에 큰 영향을 주었고, 특히 토양의 양분함량이 부족할 경우에 규산질비료의 병행 처리는 증수효과가 더욱 컸다.
Conclusions
규산질비료를 장기간 시용한 벼 재배포장에서 토양 화학성과 벼의 생산성에 미치는 영향을 구명하고자 수행하였다. 42년 동안의 실험에서 규산질비료의 투입 (N+S, NC+S, NPK+S, NPKC+S)은 토양의 pH, 치환성 칼슘, 유효규산이 모든 시기에 증대하였고, 규소수지는 시기 II (’90~’14)에 312~365 kg ha-1 yr-1의 양의 값으로 논토양에 규산성분의 축적을 가져왔다. 또한, 무기질비료 (N, NPK)와 규산질비료 병행 처리 시 벼의 규산 흡수량이 유·무기질비료 (NC, NPKC)와 규산질비료 병행 처리 시 보다 15~49%정도 증가하였으며, 벼의 생산성도 5~14% 정도로 향상하였다. 이로부터 규산질비료의 사용은 토양비옥도를 향상시키고, 논토양에 비료 (인산, 칼리, 유기질비료)의 투입이 어려운 환경에 있을 때 작물 생산성을 크게 향상시키는 것으로 판단된다.






