Introduction
국내에서 확인된 5,544개 광산 중 금속광산은 제주를 제외한 전국에 2,184개가 산재하며 그 중 57%에 해당하는 1,245개 광산이 광해를 발생하는데 그 대부분인 1,217개는 폐금속 광산이다 (MIRECO, 2016). 광해관리공단에서 2016년에 수행한 폐금속 광산 231개소에 대한 광해방지사업 중 토양개량 및 복원사업 대상은 79개소로 총 사업비로는 가장 많은 50%를 차지하였다. 한편, 농산물품질관리원의 2016년 폐금속 광산 지역 농산물의 중금속 안전성 조사결과 부적합 비율은 2014년 이후 증가 추세로 2.5%이었으며 조사 면적 550 ha 중 15 ha를 차지하였다 (NAQS, 2017). 또한, 휴․폐금속 광산 및 폐석탄 광산 하류부 (0~6 km) 농경지에 대한 농어촌공사의 중금속 오염실태 조사 결과 조사 대상 3,438 필지 중 약 10%에 해당하는 351 필지에서 토양오염우려기준을 초과 (KRC, 2016)하였다. 중금속 및 비소 오염 농경지에 적용 가능한 대책에는 객토, 식물정화, 토양세척 등이 있으나 비용이 많이 들거나 일정기간, 식물정화의 경우 장기간 기존의 영농활동을 할 수 없다는 단점이 있는 반면, 농경적 (영농적) 방법은 영농활동을 지속할 수 있다는 장점이 있다.
영농적 방법과 관련하여 인산염 공급은 비소의 안전성에 대해 경우에 따라 상반되는 결과를 나타낸다. 혐기적 담수 조건에서 인산염의 토양 처리는 알곡 (grain)과 볏짚의 비소 축적을 증가시킨다 (Talukder et al., 2012). 토양 중 5가 무기비소 (AsO43-)를 치환하는 능력 때문에 인산염 (PO43-)은 토양 중 비소 제거 연구에 오랜 기간 사용되었으며 (Mukhopadhyay et al., 2015), Wasay et al. (2000)은 인산염을 이용하여 오염 토양에서 결합된 비소의 80%를 제거하였다. 반면, 인산염과 5가 무기비소는 화학적으로 유사하고 식물체 내에서 같은 운반체를 통해 흡수 경로를 공유 (Abedin et al., 2002; Tu and Ma, 2003)함에 따라 식물 흡수에 대해 인산염과 경쟁하므로 인산염 처리는 비소의 흡수를 줄일 수도 있다. 그러나, Lee et al. (2016)은 인산염을 공급하면 흡수 경쟁으로 벼에 대한 5가 무기비소의 독성이 감소한다는 가정 하에 포트실험을 수행한 결과 인산염 공급이 비소와의 흡수 경쟁을 통해 벼에 대한 비소의 독성을 감소시키지는 않았다고 하였다.
성토용 골재, 규산질비료의 원료 등으로 재활용 되는 제강슬래그는 철에서 강 (steel)을 만들기 위해 쇳물에 녹아있는 탄소, 규소 성분 등을 제거하는 공정에서 발생하는 물질로 구성 성분은 SiO2, CaO, Al2O3, Fe, S, MnO 등이다. (Choi et al., 2007). Lim et al. (1999, 2000)은 토양개량제로서 제강슬래그를 시용한 포장시험 결과 시용량이 많을수록 벼의 정조수량이 증가하고 토양 Ca, Fe 및 Si 공급원으로의 이용 가능성과 산성토양 개량 효과가 있음을 보고하였다. Gu et al. (2011)은 포트실험을 통해 중금속 복합 오염토양에 대한 제강슬래그 처리가 토양 pH 상승 및 중금속의 식물유효도를 60% 감소시키고 벼 흡수를 억제하였으며, 그 기작으로는 이동성 중금속이 제강슬래그의 영향으로 규산염, 인산염 및 수산화물로 침전함을 제시하였다. 또한, Ning et al. (2016)은 제강슬래그 처리로 토양 pH와 유효규산 함량이 증가하여 중금속의 유효 농도가 감소함에 따라 쌀의 카드뮴 함량이 감소하고 수량이 증가한다고 하였다.
황을 이용한 쌀의 비소 흡수․이행 저감화에 관한 다수의 연구 중 Hu et al. (2007)은 rhizobox를 이용한 실험에서 황 처리가 근권의 iron plaque 형성을 증가시킴에 따라 비소가 근권에 격리됨으로써 벼의 비소 흡수를 감소시키고, Fan et al. (2013)은 과량의 황을 처리한 포트실험을 통해 황 처리가 토양과 벼 뿌리 내 비소의 알곡으로의 이행을 감소시킴으로써 현미 중 비소 함량을 낮춘다고 하였다.
최근 국내외적으로 대두된 쌀의 비소 안전성과 관련하여 코덱스 식품오염물질분과위원회 (CCCF)는 백미 및 현미 중 무기비소의 최대 허용기준을 설정하고 (CAC, 2014; CAC, 2016) 비소 안전성 확보를 위한 “쌀의 비소 오염 방지 및 저감화 실행규범”을 설정하였다 (CAC, 2017). 이 실행규범에는 쌀의 비소 흡수를 줄이기 위한 관개수 관리법, 비소 흡수가 상대적으로 낮은 품종 선정 등 영농적 방법이 포함되어 있으며 인산질비료, 규산질비료, 유기물 등 토양개량제 및 비료시용을 통한 비소 흡수 저감에 관한 추가적인 연구의 필요성을 언급하고 있다. 작물의 비소 및 중금속 흡수 저감을 위한 영농법을 현장에 적용하려면 그 효과와 함께 작물 생육에 미치는 영향도 검토되어야 한다. 국내의 경우 비소 및 중금속 오염지에 대한 안정화, 또는 복원 관련 연구는 활발하나 포장조건에서 토양개량제 시용에 따른 작물 생육 및 흡수 저감화 관련 연구는 부족한 실정이다. 따라서 본 연구에서는 인산질비료, 황 함유비료, 황 및 제강슬래그를 중금속과 비소로 복합 오염된 논에 토양개량제로 시용할 경우 벼의 카드뮴 및 비소 흡수 저감에 미치는 효과와 벼 생육 및 수량에 미치는 영향을 평가하기 위한 현장시험을 수행하였다.
Materials and Methods
시험포장 조성 충북 단양군 적성면 조일광산 인근의 논에서 포장시험을 수행하였으며 포장면적은 212.4m2 (plot 면적: 3.15m2)이었다. 시험포장의 토양화학성은 우리나라 논토양의 적정 범위와 비교할 때 pH 7.7로 약알칼리성이었고, 교환성 칼륨 및 칼슘 함량이 각각 0.37 및 28.5 cmolc kg-1으로 적정 범위인 0.25~0.30 및 5.0~6.0 cmolc kg-1 (RDA, 2008)과 비교하여 상대적으로 높았다 (Table 1). 토양 중 중금속 함량은 카드뮴과 비소의 경우 토양오염대책기준을 초과하였고 아연은 토양오염우려기준을 초과하였으며 특히, 비소는 314 mg kg-1으로 토양오염대책기준보다 약 4배 높아 오염도가 심하였다 (Table 2). 처리구 배치는 난괴법 3반복으로 하였으며 개량제 (과인산석회, 유황, 제강슬래그) 처리는 5월 4일에 각 처리구별로 처리 후 표층 토양과 충분히 혼합하였다. 벼 재배 기간 동안 처리구 간 관개수 혼합을 방지하기 위해 플롯마다 사각형 둑을 조성하고 둑 안쪽 면을 따라 썬라이트를 설치하였으며, 관개수는 각 플롯에 용수 공급관에서 분지되는 2차 공급관을 설치하여 각각 공급하였다. 벼 품종은 황금누리와 운광 두 품종을 공시하였으며 5월 21일에 이앙하였다. 황 함유비료 처리구를 제외한 모든 처리구에 밑거름으로 요소, 용성인비 및 염화가리를 N 4.5, P2O5 4.5, K2O 4 kg 10a-1 해당량으로 시비하였고 개량제 처리구에는 과석, 수준 1 (0.71 Mg ha-1), 과석, 수준 2 (1.4 Mg ha-1), 입제 유황, 수준 1 (0.20 Mg ha-1), 입제 유황, 수준 2 (0.40 Mg ha-1), 제강 슬래그, 수준 1 (7.0 Mg ha-1) 및 제강 슬래그, 수준 2 (14 Mg ha-1)로 처리하였다. 황 함유비료 처리구는 유안, 과석 및 황산칼리를 N 4.5, P2O5 4.5, K2O 4 kg 10a-1 해당량으로 시비 (황 함량 기준 0.10 Mg S ha-1)하였다 (Table 3).
Table 3. Soil amendments treatment to each plot of experimental field.

†The mixture of ammonium sulfate, calcium super phosphate and potassium sulfate.
‡On the basis of basal dressing.
생육 조사 개량제 처리가 벼 생육 및 수량에 미치는 영향을 조사하기 위하여 벼 생육기간 중 최대 분얼기 (7월 12일), 등숙기 (9월 5일) 및 수확기 (10월 15일)의 각 해당 시기에 맞추어 벼의 초장, 경수, 경장, 이삭수, 이삭길이 및 정조수량을 처리구별로 조사하였다.
토양과 제강슬래그의 화학성 및 중금속 함량 분석 개량제 처리에 따른 토양 중 가용성 중금속 함량 변화를 보기 위하여 처리 전, 처리 후 100일, 125일 및 165일, 총 4회에 걸쳐 처리구별로 토양을 채취하였다. 채취한 토양시료는 토양화학분석법 (NIAS, 2010)에 따라 음건하여 2 mm 체에 거른 후 pH (1:5), 유기물 함량 (튜린법), 양이온 교환용량 (1N NH4OAc, pH 7.0) 및 HCl 가용성 중금속 함량을 분석하였다. 중금속 총 함량 분석용 시료는 토양오염공정시험기준 (ME, 2010)에 따라 제강슬래그와 음건한 토양을 막자사발로 분쇄 후 0.15 mm (100 mesh)체를 통과한 시료 3.0 g을 왕수 추출법을 이용하여 분해한 다음 0.5 N HNO3로 희석 후 ICP-AES (Integra XL, GBC)로 중금속 함량을 분석하였다. 중금속 총 함량 분석의 신뢰도를 검정하기 위해 토양 표준 인증물질인 BAM-U110 을 이용하여 회수율을 검정하였으며, 토양오염공정시험기준 (ME, 2010)를 만족하는 회수율 91~110% 분석 조건에서 시료중의 중금속 분석을 수행하였다.
현미 중 비소 및 카드뮴 함량 분석 각 플롯에서 채취한 벼를 자연 상태에서 풍건 후 현미기를 이용하여 현미를 얻었고 분쇄기를 이용하여 분말 상태로 만들어 분석용 시료로 하였다. 현미 시료의 중금속 함량 분석법은 농업과학기술 연구조사분석기준 (RDA, 2012)을 준용하였다. 분석용 현미 0.4 g을 microwave 분해용기에 넣고 전자급 농질산 7 ml와 30% 과산화수소 1 ml를 첨가 후 1시간 동안 정치한 다음 microwave 산 분해장비 (Mars5, CEM)를 이용하여 시료를 분해하였다. 분해가 완료된 시료는 초순수로 50 g으로 정용한 다음 ICP-MS (7700e, Agilent Technologies)로 중금속 함량을 분석하였다. 백미 시료의 중금속 분석 과정에서의 신뢰도를 검정하기 위해 표준 인증물질인 쌀 분말을 이용하여 중금속 및 비소의 회수율을 검정하였으며, 회수율 85~115%를 만족하는 분석 조건에서 시료중의 중금속 분석을 수행하였다.
통계 분석 개량제 처리가 벼 생육, 현미의 비소 및 카드뮴 함량, 토양 내 가용성 함량 변화에 미치는 영향을 분석하기 위하여 통계 패키지 R (ver. 3.3.1, 2016)을 이용하여 상관분석, t-test 및 분산분석을 수행하였다.
Results and Discussion
개량제 시용에 따른 벼 초장 최대 분얼기에 운광 품종은 대부분의 처리에서 65.1~70.3 cm 범위로 대조구의 64.8 cm에 비해 증가하였으나 제강슬래그 처리에서는 처리량에 따라 58.6~59.2 cm로 감소하였고, 황금누리 품종은 과석 과량 처리구 (1.4 Mg ha-1)에서 64.5 cm로 대조구의 58.8 cm에 비해 증가하는 경향이었으나 95% 유의수준에서 통계적 유의성은 없었다 (Table 4).
Table 4. Growth characteristics comparison of rice at each stage (Different letters indicate significant differences at p <0.05 level).

†at maximum tillering stage, ‡at ripening stage, §at harvest, ¶Rice cultivar.
경수 최대 분얼기에 측정한 경수는 운광 품종의 경우 과석 및 황 함유비료 처리에서 각각 14.7~16.9 및 15.8로 대조구의 11.5에 비해 상대적으로 많았고 황 및 제강슬래그 처리 시 처리량에 따라 각각 10.8~12.1 및 8.7~10.1로 대조구와 비슷하거나 감소하였으며 제강슬래그 과량 처리 시 가장 적게 나타났다 (Table 4). 황금누리 품종은 과석 처리구에서 14.8~17.4 범위로 대조구의 11.2에 비해 처리량이 많을수록 증가하였고 다른 처리에서는 대조구와 유의한 차이를 보이지 않았다.
경장 등숙기에 조사한 경장은 운광 품종의 경우 과석 처리에서 71.1~71.5 cm로 대조구의 67.2 cm에 비해 가장 길었고 초장의 경우처럼 처리량에 따른 차이는 없었다 (Table 4). 그러나 황 및 제강슬래그 처리에서는 처리량이 2배일 경우 대조구에 비해 경장이 각각 66.1 및 64.6 cm로 유의성 있게 감소하였다. 황금누리 품종은 모든 처리에서 대조구의 62.2 cm에 비해 64.8~74.2 cm 범위로 증가하였으며 처리 간 유의차가 크게 나타났다. 과석 과량 처리와 황 함유비료 처리구에서 각각 74.2 및 70.8 cm로 경장이 상대적으로 길었으며, 운광 품종의 경우처럼 황 및 제강슬래그 처리 시 처리량이 2배 증가함에 따라 경장이 감소하였다. 그러나 과석 처리에서는 처리량 증가에 따라 68.6 cm에서 74.2 cm로 증가하였다.
이삭수 품종에 상관없이 대조구보다 유의하게 적은 처리구는 없었으며 과석 과량 처리와 황 함유비료 처리구에서 각각 16.8~18.5 및 15.2~17.8 범위로 대조구의 12.4에 비해 상대적으로 많았다 (Table 4). 운광 품종은 황금누리 품종과 달리 황 및 제강슬래그 처리량에 따라 이삭수에 유의한 차이가 나타나지 않았다.
정조수량 두 품종 모두 과인산석회 및 황 함유비료 시용구에서 대조구의 평균 3.3 (황금누리) 및 4.1 (운광) Mg ha-1에 비해 상대적으로 높았는데, 과인산석회 1.4 Mg ha-1 처리에서 품종에 따라 평균 5.5~5.8 Mg ha-1로 가장 높았으며 0.7 Mg ha-1 처리에 비해 약 0.4~0.9 Mg ha-1의 수량 증가를 보였다 (Fig. 1). 운광 품종의 경우 유황 처리에서는 대조구에 비해 처리량에 따른 수량 차이가 없었으나 제강슬래그 처리 시 수량이 감소하여 처리량이 많을수록 감소폭이 크게 나타났으며, 제강슬래그 처리량이 많을수록 쌀 수량이 무처리구에 비해 8~14% 증가하였다는 Lim et al. (2000)의 결과와는 상반되는 결과를 보였다. 제강슬래그 처리에 따른 벼의 생육 억제와 관련하여 Ning et al. (2016a)은 중금속으로 복합 오염된 논토양에서 제강슬래그 처리량이 3배로 증가함에 따라 벼의 건물중이 크게 감소하여 과량의 제강 슬래그 처리는 벼의 생육을 억제할 수 있다고 하였는데, 3배량 처리구 토양의 전기전도도는 1배량 처리구의 약 2배인 0.27 dS m-1이었다. 반면, 본 포장시험에서 제강슬래그 처리 165일 후의 전기전도도는 평균 0.16 dS m-1로 다른 처리구의 0.16~0.21 dS m-1에 비해 다소 낮게 나타나 (data not shown) 벼 생육과는 큰 연관성이 없는 것으로 판단되었다. Makino et al. (2016)에 의하면 벼의 비소 및 카드뮴 흡수 저감을 목적으로 제강슬래그, 영가철 등 철 함유 물질을 시용한 포장시험 결과 현미와 볏짚의 수량이 다소 감소하였으나 수량과 품질에 유의할 만한 부의 영향은 없었다. 한편, 시험에 사용한 제강슬래그의 중금속 함량은 카드뮴, 납, 아연, 구리 및 비소가 각각 0.08, 1.5, 203, 10.5 및 1.6 mg kg-1으로 원소에 따라 토양오염우려기준의 0.8~68% 수준으로 (Table 2), 제강슬래그에 함유된 중금속에 의한 벼의 생육 및 수량 저하로 보이지는 않았다. 다수의 연구결과 제강슬래그 처리는 벼의 생육을 증진 (Khan et al., 2008; Wang et al., 2014; Ning et al., 2016b; He et al., 2017)시키는 바, 향후 포장조건에서 처리 구획별 국지적 토양환경 변화 등 벼 생육과 연관된 인자 구명이 필요할 것으로 생각된다.
황금누리 품종의 정조수량은 가장 낮은 수량을 보인 유황 2배량 처리를 제외한 모든 처리에서 대조구에 비해 증가하여 운광 품종과는 다른 결과를 보였다. 따라서 품종에 관계없이 적정 쌀 수량 (4.6~5.0 Mg ha-1)을 얻기 위해서는 개량제로 과인산석회, 또는 황 함유비료를 시용하는 것이 가장 적합할 것으로 판단되었다. 다만, 과인산석회를 과량 시용할 경우 토양 중 가용성 비소의 증가 (Fig. 2), 토양 내 인산 집적, 주변 수계로의 유입 우려가 있으므로 비소 오염지, 또는 토양 내 인산 함량이 적정 이상일 경우에는 황 함유비료를 우선적으로 시용하는 것이 바람직할 것으로 생각되며 Lee et al. (2016)이 제안한 바와 같이 엽면시비를 통한 인산염 공급도 대안이 될 수 있을 것이다.
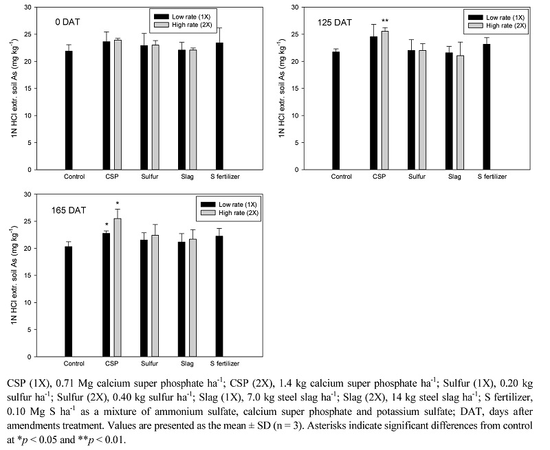
토양 중 비소 및 카드뮴 함량 토양개량제 처리 후 165일까지 전체 처리구의 토양 중 가용성 비소 평균 함량은 약 20~26 mg kg-1 범위로 2009년까지 토양환경보전법 상 토양오염대책기준이었던 1N HCl 가용성 비소 함량 15 mg kg-1과 비교할 때 상당히 높은 함량을 보였다 (Fig. 2). 과인산석회 1.4 Mg ha-1 처리구의 토양 내 1N HCl 가용성 비소 함량은 처리 125일 후 다른 처리구에 비해 함량이 증가하여 (p < 0.01) 수확기까지 평균 25.5 mg kg-1으로 상대적으로 높은 농도가 유지되었는데, 이는 인이 토양 중 철, 칼슘 등과 결합을 놓고 비소와 경쟁 (Tu and Ma, 2003)한 결과로 판단되었으며, 인산염을 처리할 경우 가용성 비소를 증가시킨다는 기존 연구 (Cao et al., 2003; Lee et al., 2016)와 유사한 결과를 보였다. 따라서 토양 중 비소의 용해도 감소를 통한 안정화 측면에서 볼 때 본 포장시험 조건에서는 과량의 과인산석회 처리는 효과적이지 않은 것으로 판단되었다. 과인산석회를 제외한 다른 처리에서는 개량제 처리에 따른 토양 중 비소 농도 변화의 통계적 유의성은 나타나지 않았으며 처리량에 따른 유의적 차이도 없었다 (Fig. 2). 토양 중 가용성 카드뮴의 평균 함량은 대부분의 처리구에서 1.0~1.3 mg kg-1 범위로 각 처리구의 초기 농도와 비교하면 변화가 거의 나타나지 않았다 (Fig. 3). 이는 시험포장 토양의 pH가 7.7로 음하전도가 높은 조건에서 교환성 칼슘 함량이 28.5 cmolc kg-1 (Table 1)으로 높았기 때문에 토양 중 카드뮴이 하전 부위와 칼슘 사이에서 거동에 제한을 받은 결과로 판단된다.
현미 중 비소 및 카드뮴 함량 운광 품종의 현미 중 비소 평균 함량은 무기비소에 대한 코덱스 기준인 0.35 mg kg-1 (CAC, 2016)보다 낮은 0.19~0.32 mg kg-1 범위로 나타났다 (Table 5). 과인산석회 1.4 Mg ha-1 처리구의 현미 중 비소 함량은 0.255 mg kg-1으로 대조구의 0.322 mg kg-1에 비해 약 21% 낮았으나 통계적 유의성은 없었다. 반면, 제강슬래그 7.0 Mg ha-1 처리구는 0.193 mg kg-1으로 대조구에 비해 40% 낮은 함량으로 유의성 있는 (p < 0.05) 비소 저감 효과를 보였다. 황금누리 품종의 현미 중 비소 함량은 운광 품종보다 낮은 0.17~0.20 mg kg-1으로 처리 간 유의적 차이는 나타나지 않았다. 따라서 토양 중 총 비소 함량이 토양오염 대책기준보다 약 4배 높은 점을 고려할 때 (Table 2) 토양 내 비소의 흡수, 또는 현미로의 이행이 상당히 제한적이었던 것으로 추측된다. 한편, 현미 중 카드뮴 평균 함량은 두 품종 모두 처리 간 유의한 차이가 있었으나 0.01~0.03 mg kg-1 범위로 안전성 기준인 0.2 mg kg-1 (백미)에 크게 못 미치는 것으로 나타나 실질적인 개량제 처리 효과를 판단하기는 어려웠다(Fig. 4). 정조 수량과 현미 중 카드뮴 및 비소 함량 간 상관분석 결과 비소의 경우 상관성이 없었으나 카드뮴 함량은 정조 수량과 상관성을 보였으며 특히, 황금누리 품종에서 처리구별로 수량이 증가할수록 현미 중 카드뮴 함량이 증가하는 높은 정의 상관을 보였다 (r = 0.659***). 이와 같은 결과는 비소에 비해 현미 중 카드뮴 함량이 너무 낮아 개량제 처리에 따른 영향을 반영하지 못하고, 단지 생육 차이에 따른 카드뮴 함량의 차이를 나타낸 결과로 판단된다. 토양 중 카드뮴 총 함량이 13 mg kg-1으로 오염이 심한 것에 비해 현미 중 카드뮴 함량이 상대적으로 낮은 것은 토양의 치환성 칼슘 함량이 높아 토양 pH가 7.7로 약 알칼리성을 나타냄에 따라 (Table 1) 토양 내 카드뮴의 유효도가 크게 감소한 결과로 보인다.
Conclusions
중금속과 비소로 복합 오염된 논에서 토양개량제 처리가 벼 생육과 중금속 및 비소 흡수에 미치는 영향을 평가하기 위한 포장시험 결과 개량제 처리에 따른 벼 생육은 품종에 따라 다르게 나타났고, 쌀 수량은 품종에 관계없이 과인산석회 및 황 함유비료 시용 시 대조구에 비해 1.3~2.2 및 1.5 Mg ha-1 증가하여 과인산석회의 수량 증가 효과가 가장 높았다. 황 및 제강슬래그 처리는 품종에 따라 수량을 0.4~0.9 Mg ha-1 감소시켰다. 현미 중 비소 함량은 운광 품종에서 제강슬래그 7.0 Mg ha-1 처리 시 대조구에 비해 40% 낮은 함량으로 유의성 있는 비소 저감 효과를 보였다. 현미 중 카드뮴 함량은 운광 및 황금누리 품종 모두 처리 간 유의한 차이가 있었으나 안전성 기준에 크게 못 미쳐 실질적인 개량제 처리 효과를 판단하기 어려웠다. 향후 적정 쌀 수량과 안전성을 동시에 확보할 수 있는 토양개량제 선발, 시용량 등과 관련한 영농법 연구가 추가적으로 필요할 것으로 판단된다.










