Introduction
퇴적물은 수질 및 수생태계와 직접적으로 관련되어 수질오염의 원인이 된다는 점에서 중요성을 가지고 있다 (Kim et al., 2016). 최근 하천 및 호소 등의 퇴적물로 인한 수질오염에 대한 인식이 높아지면서 전 세계적으로 퇴적물 관련 연구가 진행되고 있다 (Loska and Wiechula, 2003; Tupwongse et al., 2007; Minello et al., 2009, Lin et al., 2017). 이와 같은 관점에서 하천 및 호소의 퇴적물 내에 존재하는 금속류 오염물질, 퇴적물의 물리화학적 특성과 유기물 함량 등에 대한 연구의 필요성이 강조되어 왔다. 퇴적물에 함유된 오염물질 농도는 퇴적물의 구성 광물뿐만 아니라 입도 분포, 유기물 함량 등에 영향을 받는 것으로 알려져 있으며, 특히 퇴적물 내의 중금속 농도는 그 퇴적물이 가지는 입도 분포에 따라 큰 영향을 받는다 (Singh et al., 1999; Bilali et al., 2002; Preda and Cox, 2002; Maslennikova et al., 2012). 퇴적물 입자 크기 감소는 표면 전하 증가에 의한 퇴적물의 오염물질 함량 증가의 원인으로 이해되고 있다 (Yu et al., 2001a, 2001b; Shin and Jun, 2012). 따라서 퇴적물 내의 중금속 농도, 입도 분포 및 유기물 함량에 대한 조사와 이들 인자와의 상관성에 대한 연구가 진행되어 왔다 (Loska and Wiechula, 2003; Parizanganeh et al., 2007; Minello et al., 2009; Ahn et al., 2012; Park et al., 2012). 또한 표층퇴적물의 연구, 퇴적물의 오염물질 특성 연구, 유기오염도 평가, 퇴적물의 물리화학적 특성과 오염도 분석, 퇴적물의 중금속 농도 상관관계 연구, 퇴적물 입도분석 방식의 비교와 입도에 따른 중금속물질의 분포경향 등 퇴적물에 관한 연구 등도 진행되었다 (Lee et al., 2010; Oh et al., 2010; Oh et al., 2011; Shin and Jun, 2012). 그러나 퇴적물 연구를 위해 사용된 방법은 토양오염공정시험법, 저질시험법 등 목적에 따라 분석법이 다양하여 생성된 자료에 대한 종합적인 비교가 어려웠다. 최근 국내에서도 수질환경에 관한 퇴적물 분석법이 하천호소 등 퇴적물 운영계획에 의해 만들어졌다 (Korean Ministry of Environment, 2011). 이에 따라 우리나라 각 수계별 하천 및 호소의 퇴적물에 대한 조사연구가 수행되었으며 본 연구의 경우 정립된 퇴적물 분석법에 의해 모든 항목이 분석되어 자료의 활용가치가 높을 것으로 예상된다.
본 연구의 목적은 금강수계 내 호소 퇴적물의 금속류 분포를 파악하고 금속 분포와 다양한 측정 항목간의 상관성을 조사하는 것이다. 추후 이 자료를 활용하여 퇴적물이 금강수계의 수생태계에 미치는 영향을 평가하기 위한 중요한 기초자료로 활용하고 퇴적물 모니터링 자료를 축적하여 오염물질의 오염원을 규명하는데 유용할 것으로 사료된다.
Materials and Methods
시료채취 호소의 퇴적물 특성을 살펴보기 위해 금강수계 호소인 대청댐 (GL 1~6)과 예당지 (GL 7~9), 보령댐 (GL 10~12)의 총 12개 지점에서 퇴적물 시료를 채취 하였다 (Table 1). 시료채취 시기는 2014년은 11월부터 2015년 2월까지 1회씩, 2015년은 4월에서 6월까지 1회씩 이었다.
시료 채취는 퇴적물측정망 운영계획의 시료채취 매뉴얼에 따라 채취하였다 (Korean Ministry of Envrionment, 2011). 시료의 대표성을 확보하기 위해 2014년과 2015년의 위도와 경도를 맞추어 호소 내 채취지점을 선정하고, 중앙과 동서남북의 5개소 이상에서 시료를 채취하여 골고루 혼합하였다. 분석 항목에 따라 8메쉬 (약 2 mm) 이하와 100메쉬 (약 0.15 mm)로 습시료를 구분하여 용기에 담은 후 4°C 이하에서 냉장보관 하였다.
일반항목 분석 일반항목은 8메쉬 이하의 시료로 분석하였다. 입도분포의 경우 퇴적물오염공정시험방법 (ES 04853.1)에 따라 분석하였으며 과산화수소 분해 전처리 후 입자크기분석기 (Microtrac S3500 Extended wel, Microtrac)을 이용하였다. 입자의 크기에 따라 0.063~2 mm는 모래, 0.004~0.063 mm는 실트, 0.004 mm 미만은 점토로 구분하였다. 함수율과 완전연소가능량은 ES 04851.1 및 ES 04852.1에 따라 5 g 이상의 시료를 이용하여 분석하였다.
퇴적물의 화학적산소요구량 (COD)는 망간법을 이용하여 분석하였다 (ES04854.1). 총유기탄소 (TOC)와 총질소 (T-N)는 원소분석법을 이용하였으며 (ES 04861.1, ES 04862.1), 원소분석기는 Elementar사의 Vario Micro Cube CHNS 모델을 이용하여 CN 모드로 측정하였다. 총인 (T-P)과 수용성인 (SRP)은 ES 04863.1과 ES 04864.1에 따라 전처리를 하고 880 nm에서 흡광분석을 통해 정량하였다.
금속류항목 분석 금속류의 항목은 ES 04870 ~ ES 04880에 따라 분석하였으며 100 메쉬 이하의 시료를 이용하였다. Pb, Zn, Cu. Cr, Ni, Li, Al은 Inductively coupled plasma atomic emission spectroscopy (ICP-AES, Agilent 700 series)로 측정하였으며 As와 Cd은 Inductively coupled plasma mass spectroscopy (ICP-MS, Agilent 7900)을 이용하였다. Hg는 ES 04875.1에 따라 Teledyne instruments사의 Hydra C로 자동분석하였다. 금속류의 표준용액은 Fluka의 Pb, Zn, Cu, Cr, Ni, As, Cd, Hg, Al, Li 1,000 mg/L 표준용액을 구입하여 사용하였다. 금속류 분석의 정도관리는 Marine Sediment Reference Material인 MESS-3 (National Research Concil Canada)를 시료와 같은 방법으로 전처리 및 분석하여 실시하였으며, 금속류 항목에서 정확도는 80~110%를 정밀도는 1.1~7.0%를 보였다.
측정된 자료는 IBM SPSS statistics version 20 프로그램의 상관분석 중 이변량 상관분석을 이용하여 Spearman 상관계수를 구하였다.
Results and Discussion
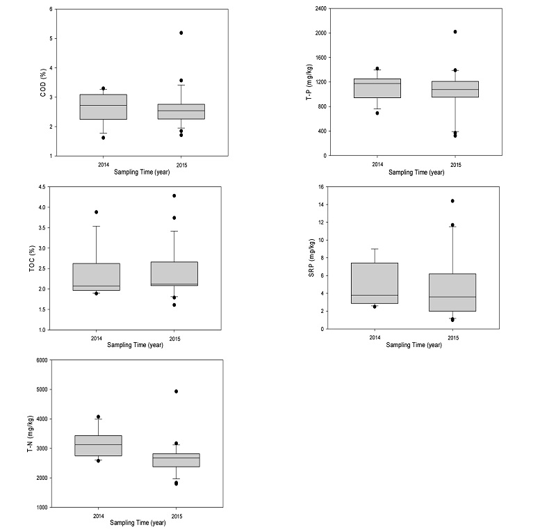
일반 항목 분포 비교 2014년 퇴적물의 입도분포를 조사한 결과 중앙값은 모래 10.8%, 실트 72.7% 그리고 점토 12.8%를 보였고, 2015년에는 모래 5.6%, 실트 78.7%, 점토 10.3%이었다 (Fig. 1). 이것은 강우기 전,후 차이 및 유량 변화에 의한 것으로 판단된다. 실제로 시료채취 3개월 전 대전의 강우량은 2014년에 528 mm이며, 2015년에는 103 mm이었다. 또한 시료채취 전인 2014년 9월과 2015년 3월의 방류량은 대청댐이 49.9 m3 sec, 37.2 m3 sec, 예당지가 30.1 m3 sec, 20.2 m3sec, 보령댐이 2.8 m3sec, 2.5 m3sec로 관측되었다. 함수율은 2014년에 65.4%의 중앙값 농도로 분석되었으며, 2015년에는 60.8%으로 감소하였다. 반면 완전연소가능량은 2014년에 비해 2015년의 중앙값과 사분범위 모두 2014년에 비해 증가하였다 (Fig. 1). 일반적으로 함수율과 완전연소가능량은 입도와 관련이 있을 것으로 예상되나 함수율 보다는 완전연소가능량이 입도의 변화에 더 민감한 것으로 사료된다.
COD는 2014년에 2.72%의 중앙값 농도로 검출되었고, 2015년에는 2.57%로 큰 변화가 관찰되지 않았으나 사분범위가 좁게 관찰되어 호소 지점의 농도차가 적은 것으로 나타났다 (Fig. 2). TOC는 2014년에 2.08%의 중앙값 농도로 검출되었고, 2015년에는 2.13%의 중앙값 농도로 COD와 유사하였으나 2014년과 2015년의 사분범위가 유사하여 COD와 TOC의 농도범위 분포가 다르게 나타났다. 또한 두 항목 모두 완전연소가능량에 비해 변화가 적은 것으로 관찰되었다. T-N은 2014년에 3,132 mg kg의 중앙값 농도로 검출되었고, 2015년에는 2,714 mg kg으로 감소하였으며 사분범위 역시 감소하였다. T-P는 2014년에 1,175 mg kg, 2015년에는 1,144 mg kg의 중앙값 농도로 검출되었으며 사분범위는 유사하였다. SRP는 2014년에 3.8 mg kg, 2015년에는 3.6 mg kg의 중앙값 농도로 유사하였으나 사분범위는 2015년에 약간 감소한 분포를 보였다. 2015년에 입도 중 모래 항목이 감소하고 실트와 점토 항목이 증가함을 감안하였을 때 전체적으로 유기물 및 영양염류의 농도가 2014년에 비하여 2015년이 낮게 나타났다. 그러나 2014년에는 오염평가 4등급이상이 없었던 것에 비하여 일부 지점의 경우, 2015년에 완전연소가능량 및 T-P 항목에서 오염평가 4등급 이상으로 관찰되어 오염도가 증가한 것을 확인할 수 있었다.
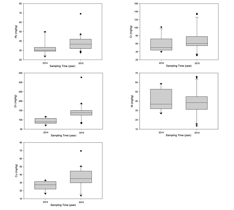
금속 농도 분포 2014년과 2015년의 모든 금속 항목은 하천 ․ 호소 퇴적물 오염평가기준 미만으로 검출되어 금속에 의한 생태독성은 낮을 것으로 사료된다 (Table 2). Pb과 Zn, Cu, Cr은 2014년에 비해 2015년의 중앙값과 사분범위 모두 확연히 증가한 형태를 보여 인위적인 유입뿐만 아니라 자연적인 기원의 유입도 증가하는 것으로 사료된다 (Fig. 3). 이것은 비강우기 이후에 시료를 채취하여 퇴적물 내 실트와 점토가 늘어난 입도의 변화와 일치한다 (Fig. 1).
Table 2. Sediment criteria of lakes in the Korea.

†Ⅰ: normal.
Ⅱ: little polluted.
Ⅲ: polluted.
Ⅳ: very polluted.
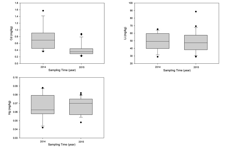
금속의 농도분포를 자세히 살펴보면 Pb는 2014년에 30.1 mg kg의 중앙값 농도로 검출되었고, 2015년에는 37.1 mg kg으로 증가하였을 뿐만 아니라 사분범위는 2015년에 넓어지고 증가하였다 (Fig. 3). Zn는 2014년에 89.1 mg kg의 중앙값 농도로 검출되었고, 2015년에는 147.7 mg kg으로 증가하였다. Cu는 2014년에 27.5 mg kg의 중앙값 농도로 검출되었고, 2015년에는 37.0 mg kg이었다. Cr은 2014년에 50.5 mg kg의 중앙값 농도로 검출되었고, 2015년에는 71.6 mg kg의 중앙값 농도로 검출되었다 (Fig. 3). 반면 Ni은 2014년에 36.8 mg kg의 중앙값 농도로 검출되었고, 2015년에는 41.1 mg kg의 중앙값 농도로 검출되어 중앙값은 증가하였지만 실제 사분범위는 감소하였다 (Fig. 3). As는 2014년에 15.4 mg kg의 중앙값 농도로 검출되었고, 2015년에는 21.4 mg kg의 중앙값 농도로 검출되었다 (Fig. 4). Cd은 2014년에 0.70 mg kg의 중앙값 농도로 검출되었고, 2015년에는 0.40 mg kg의 중앙값 농도로 검출되었으며 사분범위 역시 크게 감소하고 그 범위도 감소하여 대부분의 지점에서 유사한 농도를 보이는 것으로 나타났다. Hg는 2014년에 0.063 mg kg의 중앙값 농도로 검출되었고, 2015년에는 0.068 mg kg의 중앙값 농도로 검출되었고 사분범위는 약간 증가하였다. Al은 2014년에 9.36%의 중앙값 농도로 검출되었고, 2015년에는 9.88%의 중앙값 농도로 약간 증가하였으며 사분범위의 분포가 넓어졌다 (Fig. 4). Li은 2014년에 49.2 mg kg의 중앙값 농도로 검출되었고, 2015년에는 47.5 mg kg의 중앙값 농도로 검출되었으며 사분범위 역시 매우 유사하게 나타났다 (Fig. 4).
상관관계 분석 일반항목 및 금속류의 상관성을 알아보고자 Spearman 상관분석을 실시하였다. 각 항목별 상관분석 결과는 다음과 같다 (Tables 3, 4).
일반항목의 상관성 비교 2014년의 경우 모래 항목은 점토, 함수율, 완전연소가능량과 유의한 음의 상관성을 갖는 것으로 나타났으며, 음의 상관관계는 한 항목이 높거나 낮으면 다른 항목이 낮거나 높은 경우를 의미한다 (Table 3). 반면 점토 항목은 함수율과 높은 양의 상관계수를 나타냈다. 함수율과 입자 크기는 음의 상관성을 갖으며, 완전연소량과는 양의 상관성을 갖는 것으로 이미 보고된 바 있다 (Schiefer, 2006). 또한 완전연소가능량 및 COD는 점토와 각각 0.503과 0.529의 상관계수를 보여 일반적인 유기물농도 지표와 입도가 관련이 있음을 확인하였다. 반면 다른 유기물농도 지표인 TOC는 점토와 낮은 상관계수를 보였다. 함수율과 완전연소가능량은 높은 양의 상관계수를 보였다. 함수율과 대체로 다른 항목들은 2014년에는 상관성이 낮게 관찰되었다. 완전연소가능량은 TP와 높은 음의 상관성을 보였으며, TOC와는 상관성이 없는 것으로 나타났다. 반면 COD는 TOC와 높은 상관계수를 보였으며 이는 완전연소가능량이 유기물뿐만 아니라 탄산염 등 연소시 제거되는 다른 성분을 포함하기 때문으로 사료된다. TP와 SRP가 높은 상관계수를 갖는 것으로 나타났다.
Table 3. Correlation coefficients between the measured normal parameters in sediment sampled in 2014-2015.

† * 0.01< p-value ≤ 0.05, ** p-value ≤ 0.01.
2015년의 경우, 모래와 점토가 높은 음의 상관계수를 보였으며, SRP와는 높은 양의 상관계수를 보여 SRP는 모래의 분포와 관련이 있는 것으로 나타났다. 그러나 이전 연구 결과에서 SRP는 점토가 많을 때 높은 농도를 보이므로 더 많은 자료를 이용한 검토가 필요하다 (Vervier et al., 2009; Kang et al., 2012). 2014년과 반대로 실트 항목과 점토, 완전연소가능량, T-N, T-P는 높은 음의 상관계수를 보였다. 점토 항목은 함수율, 완전연소가능량, T-N과 양의 상관계수를 갖으며 SRP와는 음의 상관계수를 보였다. 함수율은 완전연소가능량, T-N과 높은 양의 상관계수를 보였으며, SRP와는 음의 상관계수를 갖는 것으로 나타냈다. 완전연소가능량은 T-N과 높은 양의 상관계수를, SRP와는 음의 상관계수를 보였으며, 2014년과 달리 T-P와는 양의 상관계수를 갖는 것으로 나타났다. 따라서 2014년과 2015년에 관찰된 각각의 높은 완전연소가능량-TP의 상관계수는 조사지점의 수가 적어 나타난 오류로 실제로는 두 항목 사이에 큰 상관성은 없을 것으로 예상된다. COD는 TOC, SRP와 높은 상관계수를 보였다. 2014년의 COD-SRP 상관계수와 비교하였을 때, 실제로는 두 항목 사이에 큰 상관성은 없을 것으로 판단할 수 있다. TN은 TP, SRP와 상관성이 있는 것으로 관찰되었으나 이 역시 2014년과 비교하였을 때, 2015년의 자료 안에서만 상관성이 있는 것으로 사료된다. TP-SRP 역시 상관성이 없는 것으로 나타났다.
2014년과 2015년의 통합자료로 Spearman 상관분석을 실시하였을 때, 높은 상관계수를 보인 항목은 모래-점토, 모래-함수율, 모래-완전연소가능량, 모래-SRP, 실트-점토, 실트-TN, 실트-SRP, 함수율-완전연소가능량, 함수율-COD, 함수율-TN, 함수율-SRP, COD-TOC, COD-TN, TN-SRP이었다. 그 중 모든 시기 (2014년, 2015년, 2014년 및 2015년 통합)에서 공통으로 높은 상관계수를 보이는 항목은 모래-점토, 점토-함수율, 함수율-완전연소가능량, COD-TOC 뿐이었다 (Table 3). 따라서 같은 지점에서 시료채취를 하더라도 호소로 퇴적되는 퇴적물의 유기물 특성은 시기에 의한 차이가 큰 것으로 사료된다.
2014년 및 2015년의 통합 자료에서 p-값이 0.001이하인 항목은 모래-점토, 실트-TP, 점토-함수율, 함수율-완전연소가능량, 및 COD-TOC로서 입도와 함수율, COD을 통해 함수율 및 TP, 완전연소가능량, TOC의 예측이 가능할 것으로 사료된다.
금속류의 상관성 비교 금강수계 퇴적물 중 금속류의 상관성을 조사하였다 (Table 4). 중금속 항목의 경우 대체로 일반 항목에 비해 높은 상관계수를 보였다. 2014년의 경우 Pb는 Cu, Cr, Ni과 높은 상관계수를 보였으며, Zn는 Cr과 높은 음의 상관계수를, Cd 및 Li과는 높은 양의 상관계수를 갖는 것으로 나타났다. Cu는 Ni과 높은 양의 상관계수를 보였으며, Cr은 Ni과는 유의한 양의 상관성을, Cd 및 Li과는 높은 음의 상관계수를 나타냈다. As은 Li과 유의한 양의 상관계수를 보였으며 Cd은 Hg 및 Li과 높은 양의 상관계수를 보였다. Hg는 Li과 양의 상관계수를 갖는 것으로 나타났다. 2015년의 경우, Pb는 Cd 및 Li과 높은 양의 상관계수를 보여 2014년과는 다른 경향을 보였다. Zn는 Cd 및 Li과는 높은 양의 상관계수를 보여 일정한 상관성이 있을 것으로 판단된다. 반면 2014년에 높은 음의 상관계수를 보였던 Cr과는 상관성이 없는 것으로 나타났다. Cu는 2014년과 마찬가지로 Ni과 높은 양의 상관계수를 보였으며, Al과는 유의한 상관성이 있는 것으로 나타났다. Cr은 Ni과는 양의 상관성을, Hg와는 높은 음의 상관성을 보여 2014년과 유사한 경향을 나타냈으나 Li과는 상관성이 없는 것으로 조사되었다. 2014년에 양의 상관성이 있는 것으로 나타난 As-Li은 2015년에는 유의한 상관성이 없는 것으로 조사되었다. Cd은 2014년과 마찬가지로 Li과 높은 양의 상관계수를 보였으며 이 값은 모든 상관계수 중에서 가장 높았다. 2014년과 2015년의 통합자료의 상관분석은 Pb는 Cu, Cr, Ni과 양의 상관성을 보이며, Zn는 Cu, As, Al, Li과 유의한 상관성을 보였다. Cu는 Cr, Ni 및 Al과 Cr은 Ni, Cd, Hg와 유의한 상관성을 보였으며 이 중 Cr-Cd, Cr-Hg는 음의 상관계수를 갖는 것으로 나타났다. Ni은 Al과 Cd은 Hg 및 Li과 그리고 Hg는 Li과 상관성을 갖는 것으로 나타났다. 그 중 모든 시기에서 상관성을 갖는 항목은 Cu-Ni, Cd-Li, Zn-Li, Cr-Ni 뿐이었다. 이 중 Cr-Ni은 유사한 지화학적 특성을 갖는 항목으로 거동이 흡사한 것으로 알려져 있다 (Yücesoy and Ergin, 1992). 다른 연구 결과를 살펴보면 금속별 상관성은 지점별로 일부 차이는 있으나 Cr과 Cu, Ni, Zn, Pb가 높은 상관성을 보였으며 Al과 Li의 상관성이 매우 높게 관찰되었다 (Avila-Pérez et al., 1999; Yin et al., 2011; Bing et al., 2013). Hg의 Cr과 보인 음의 상관성은 다른 연구의 경우 낮은 음의 상관성을 보이거나 (Pearson r between Hg and Cr = -0.246, Dipu and Kumar, 2013) 낮은 양의 상관성 (Pearson r between Hg and Cr = 0.20, Yin et al., 2011)을 보여 유사한 것으로 나타났다. Cr과 Hg의 음의 상관성은 지점별 비교를 하였을 때, 대청호의 Cr은 낮은 반면 Hg는 높고, 예당지는 Cr이 높고 Hg가 낮게 나타나 지점에 따른 차이로 사료된다.
Table 4. Correlation coefficients between the measured metal parameters in sediment sampled in 2014-2015.

† * 0.01< p-value ≤ 0.05, ** p-value ≤ 0.01.
2014년 및 2015년의 통합 자료에서 p-값이 0.001이하인 항목은 Cu-Ni, Cr-Ni, Cd-Li으로서 각각 금속 항목의 예측이 가능할 것으로 사료된다.
Conclusions
본 연구는 금강수계의 호소에서 2014년과 2015년에 대청호 등 12개 지점 시료를 채취하여 일반항목과 금속류의 18개 항목을 분석하였다. 대부분 일반 항목에서 2014년 퇴적물 농도에 비해 2015년 퇴적물 농도가 낮았다. Pb와 Zn, Cu, Cr은 2014년에 비해 2015년에 농도가 증가한 반면 Cd은 감소하였으나 모든 자료가 하천호소 퇴적물 오염평가기준 미만이었다. Spearman 상관성 분석 중 각 연도별로 유의한 상관성을 갖는 항목들은 다수 존재하였다. 그러나 2014년 및 2015년, 두 해의 통합자료에서 모두 유의한 상관성을 갖는 물리적지표는 모래-점토, 점토-함수율, 유기물지표는 COD-TOC이고, 금속지표는 Cu-Ni, Cd-Li, Zn-Li, Cr-Ni 뿐으로 같은 지점에서 시료채취를 하더라도 호소로 퇴적되는 퇴적물의 특성은 시기에 의한 차이가 큰 것으로 나타났다.









